[Determination of trace anions in G2-grade phosphoric acid using two-dimensional ion-exclusion-ion-exchange chromatography with valve-switching technology].

Jia-Ding Wang, Gao Tang, Yan Lu, Heng-Jun Lu, Tao Ye
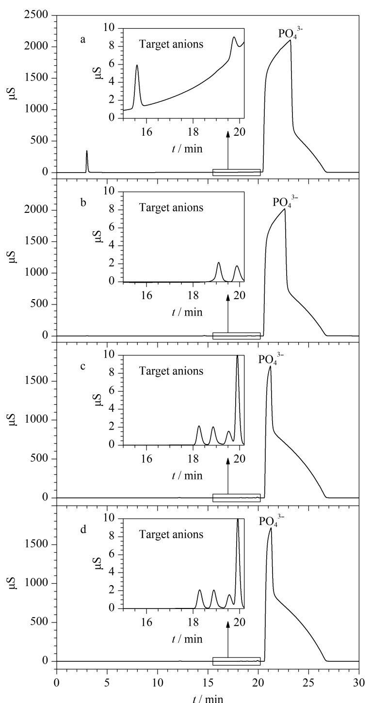
{"title":"[Determination of trace anions in G2-grade phosphoric acid using two-dimensional ion-exclusion-ion-exchange chromatography with valve-switching technology].","authors":"Jia-Ding Wang, Gao Tang, Yan Lu, Heng-Jun Lu, Tao Ye","doi":"10.3724/SP.J.1123.2024.04010","DOIUrl":null,"url":null,"abstract":"<p><p>This study established a method for determining trace anions in G2-grade phosphoric acid under ultra-clean conditions that used two-dimensional ion-exclusion-ion-exchange chromatography coupled with valve-switching technology. The optimal flow rate of ultrapure water through the ion-exclusion column in the first dimension was determined to be 0.5 mL/min through comparative experiments. The valve-switching window was optimized to minimize enriching PO<sub>4</sub><sup>3-</sup> on the anion-enrichment column and reduce interference from the phosphoric-acid matrix. The use of external water mode for the suppressor led to lower baseline noise, and optimizing the elution program of the second dimension enabled target trace anions to be well separated, thereby avoiding the risk of a false positive for NO<sup>3-</sup>. The anions of Cl<sup>-</sup>, Br<sup>-</sup>, NO<sup>3-</sup>, and SO<sub>4</sub><sup>2-</sup> exhibited good linearities within the 0.5-20 μg/kg, with correlation coefficients ≥0.999. The limits of detection (LODs) and quantification (LOQs) were 0.09-0.29 μg/kg and 0.29-0.97 μg/kg, respectively. The spiked recoveries of each anion at four spiked levels ranged from 91.7% to 103.6%, with RSDs of 0.1%-4.9%. The developed method demonstrated excellent stability through repeated injections, and low detection limits; it is highly precise and accurate, and meets the detection requirements for trace anions in G2-grade phosphoric acid. Additionally, retention-time comparisons with single standard substances led to the discovery of other phosphorus-related anions and anion clusters, such as hypophosphite (HPO<sub>3</sub><sup>-</sup>) and hexametaphosphate (PO<sub>3</sub><sup>-</sup>)<sub>6</sub>, in G2-grade phosphoric acid, in addition to conventional anions. This finding is theoretically and practically significant for the future development of purification processes for higher-purity phosphoric acid.</p>","PeriodicalId":101336,"journal":{"name":"Se pu = Chinese journal of chromatography","volume":"43 3","pages":"237-244"},"PeriodicalIF":0.0000,"publicationDate":"2025-03-01","publicationTypes":"Journal Article","fieldsOfStudy":null,"isOpenAccess":false,"openAccessPdf":"https://www.ncbi.nlm.nih.gov/pmc/articles/PMC11883536/pdf/","citationCount":"0","resultStr":null,"platform":"Semanticscholar","paperid":null,"PeriodicalName":"Se pu = Chinese journal of chromatography","FirstCategoryId":"1085","ListUrlMain":"https://doi.org/10.3724/SP.J.1123.2024.04010","RegionNum":0,"RegionCategory":null,"ArticlePicture":[],"TitleCN":null,"AbstractTextCN":null,"PMCID":null,"EPubDate":"","PubModel":"","JCR":"","JCRName":"","Score":null,"Total":0}
引用次数: 0

Abstract

This study established a method for determining trace anions in G2-grade phosphoric acid under ultra-clean conditions that used two-dimensional ion-exclusion-ion-exchange chromatography coupled with valve-switching technology. The optimal flow rate of ultrapure water through the ion-exclusion column in the first dimension was determined to be 0.5 mL/min through comparative experiments. The valve-switching window was optimized to minimize enriching PO43- on the anion-enrichment column and reduce interference from the phosphoric-acid matrix. The use of external water mode for the suppressor led to lower baseline noise, and optimizing the elution program of the second dimension enabled target trace anions to be well separated, thereby avoiding the risk of a false positive for NO3-. The anions of Cl-, Br-, NO3-, and SO42- exhibited good linearities within the 0.5-20 μg/kg, with correlation coefficients ≥0.999. The limits of detection (LODs) and quantification (LOQs) were 0.09-0.29 μg/kg and 0.29-0.97 μg/kg, respectively. The spiked recoveries of each anion at four spiked levels ranged from 91.7% to 103.6%, with RSDs of 0.1%-4.9%. The developed method demonstrated excellent stability through repeated injections, and low detection limits; it is highly precise and accurate, and meets the detection requirements for trace anions in G2-grade phosphoric acid. Additionally, retention-time comparisons with single standard substances led to the discovery of other phosphorus-related anions and anion clusters, such as hypophosphite (HPO3-) and hexametaphosphate (PO3-)6, in G2-grade phosphoric acid, in addition to conventional anions. This finding is theoretically and practically significant for the future development of purification processes for higher-purity phosphoric acid.

Abstract Image

Abstract Image

Abstract Image

二维离子排除-离子交换色谱法测定g2级磷酸中的微量阴离子
本研究建立了一种在超净条件下测定 G2 级磷酸中痕量阴离子的方法,该方法采用了二维离子排阻-离子交换色谱法和阀门切换技术。通过对比实验,确定超纯水通过第一维离子排阻柱的最佳流速为 0.5 mL/min。对阀门切换窗口进行了优化,以尽量减少阴离子富集柱上的 PO43-富集,并降低磷酸基质的干扰。使用外部水模式抑制器可降低基线噪声,优化二维洗脱程序可很好地分离目标痕量阴离子,从而避免出现 NO3- 假阳性的风险。Cl-、Br-、NO3- 和 SO42-等阴离子在 0.5-20 μg/kg 范围内表现出良好的线性,相关系数≥0.999。检出限(LOD)和定量限(LOQ)分别为 0.09-0.29 μg/kg 和 0.29-0.97 μg/kg。各阴离子在4个添加水平下的加标回收率为91.7%~103.6%,RSD为0.1%~4.9%。该方法重复进样稳定性好,检出限低,精密度和准确度高,符合 G2 级磷酸中痕量阴离子的检测要求。此外,通过与单一标准物质的保留时间比较,发现 G2 级磷酸中除常规阴离子外,还有其他与磷相关的阴离子和阴离子簇,如次亚磷酸(HPO3-)和六偏磷酸盐(PO3-)6。这一发现对于未来开发更高纯度磷酸的提纯工艺具有重要的理论和实践意义。
本文章由计算机程序翻译,如有差异,请以英文原文为准。
求助全文
约1分钟内获得全文 求助全文
来源期刊
自引率
0.00%
发文量
0
×
引用
GB/T 7714-2015
复制
MLA
复制
APA
复制
导出至
BibTeX EndNote RefMan NoteFirst NoteExpress
×
提示
您的信息不完整,为了账户安全,请先补充。
现在去补充
×
提示
您因"违规操作"
具体请查看互助需知
我知道了
×
提示
确定
请完成安全验证×
copy
已复制链接
快去分享给好友吧!
我知道了
右上角分享
点击右上角分享
0
联系我们:info@booksci.cn Book学术提供免费学术资源搜索服务,方便国内外学者检索中英文文献。致力于提供最便捷和优质的服务体验。 Copyright © 2023 布克学术 All rights reserved.
京ICP备2023020795号-1
ghs 京公网安备 11010802042870号
Book学术文献互助
Book学术文献互助群
群 号:604180095
Book学术官方微信