Matching-adjusted indirect comparison of efficacy and safety of lisocabtagene maraleucel and mosunetuzumab for the treatment of third-line or later relapsed or refractory follicular lymphoma.

IF 13.5 1区 医学 Q1 HEMATOLOGY
Loretta J Nastoupil, Ashley Bonner, Pearl Wang, Lamees Almuallem, Jigar Desai, Thalia Farazi, Jinender Kumar, Saurabh Dahiya
{"title":"Matching-adjusted indirect comparison of efficacy and safety of lisocabtagene maraleucel and mosunetuzumab for the treatment of third-line or later relapsed or refractory follicular lymphoma.","authors":"Loretta J Nastoupil, Ashley Bonner, Pearl Wang, Lamees Almuallem, Jigar Desai, Thalia Farazi, Jinender Kumar, Saurabh Dahiya","doi":"10.1186/s40164-025-00610-1","DOIUrl":null,"url":null,"abstract":"<p><strong>Background: </strong>The treatment landscape for relapsed or refractory (R/R) follicular lymphoma (FL) has changed with the introduction of anti-CD19 chimeric antigen receptor T-cell therapies, including lisocabtagene maraleucel (liso-cel) and CD20 × CD3 bispecific T-cell-engaging monoclonal antibodies such as mosunetuzumab. Liso-cel and mosunetuzumab have demonstrated positive benefit-risk profiles for third-line or later (3L+) treatment of patients with R/R FL and are approved treatments for these patients. In the absence of a prospective, randomized study, we conducted an unanchored matching-adjusted indirect comparison (MAIC) to assess the efficacy and safety of liso-cel and mosunetuzumab for 3L+ treatment in patients with R/R FL.</p><p><strong>Methods: </strong>Unanchored MAICs were performed to estimate relative treatment effects between TRANSCEND FL (NCT04245839) and GO29781 (NCT02500407). For TRANSCEND FL, the leukapheresis set (N = 114) was used for primary comparisons of the following efficacy endpoints: objective response rate (ORR), complete response (CR) rate, duration of response (DOR), and progression-free survival (PFS). The treated set (N = 107) was used for comparisons of the following safety endpoints: cytokine release syndrome (CRS), neurological events (NE), serious infections, and use of corticosteroids or tocilizumab for CRS. Sensitivity analyses were conducted for efficacy using the TRANSCEND FL treated efficacy set (N = 101).</p><p><strong>Results: </strong>After adjustment, liso-cel was associated with higher ORR (odds ratio [OR] = 3.78, 95% confidence interval [CI] 1.48‒9.67]) and CR rate (OR = 6.46, 95% CI 2.85‒14.65), and improved DOR (hazard ratio [HR] = 0.45, 95% CI 0.26‒0.77) and PFS (HR = 0.28, 95% CI 0.16‒0.49) compared with mosunetuzumab. Results remained consistent across sensitivity analyses. Liso-cel had a lower incidence of grade ≥ 3 CRS (OR = 0.45, 95% CI 0.04‒5.13), grade 3‒4 serious infections (OR = 0.35, 95% CI 0.12‒1.03), and corticosteroid use for CRS management (OR = 0.14, 95% CI 0.03‒0.65); however, liso-cel exhibited higher incidence of any-grade CRS (OR = 1.86, 95% CI 1.01‒3.43), any-grade NEs (OR = 2.16, 95% CI 0.72‒6.44), and tocilizumab use for CRS management (OR = 2.27, 95% CI 0.86‒5.99).</p><p><strong>Conclusions: </strong>Findings highlight a potential positive benefit-risk profile of liso-cel over mosunetuzumab as a 3L+ treatment for R/R FL.</p>","PeriodicalId":12180,"journal":{"name":"Experimental Hematology & Oncology","volume":"14 1","pages":"30"},"PeriodicalIF":13.5000,"publicationDate":"2025-03-05","publicationTypes":"Journal Article","fieldsOfStudy":null,"isOpenAccess":false,"openAccessPdf":"https://www.ncbi.nlm.nih.gov/pmc/articles/PMC11881270/pdf/","citationCount":"0","resultStr":null,"platform":"Semanticscholar","paperid":null,"PeriodicalName":"Experimental Hematology & Oncology","FirstCategoryId":"3","ListUrlMain":"https://doi.org/10.1186/s40164-025-00610-1","RegionNum":1,"RegionCategory":"医学","ArticlePicture":[],"TitleCN":null,"AbstractTextCN":null,"PMCID":null,"EPubDate":"","PubModel":"","JCR":"Q1","JCRName":"HEMATOLOGY","Score":null,"Total":0}
引用次数: 0

Abstract

Background: The treatment landscape for relapsed or refractory (R/R) follicular lymphoma (FL) has changed with the introduction of anti-CD19 chimeric antigen receptor T-cell therapies, including lisocabtagene maraleucel (liso-cel) and CD20 × CD3 bispecific T-cell-engaging monoclonal antibodies such as mosunetuzumab. Liso-cel and mosunetuzumab have demonstrated positive benefit-risk profiles for third-line or later (3L+) treatment of patients with R/R FL and are approved treatments for these patients. In the absence of a prospective, randomized study, we conducted an unanchored matching-adjusted indirect comparison (MAIC) to assess the efficacy and safety of liso-cel and mosunetuzumab for 3L+ treatment in patients with R/R FL.

Methods: Unanchored MAICs were performed to estimate relative treatment effects between TRANSCEND FL (NCT04245839) and GO29781 (NCT02500407). For TRANSCEND FL, the leukapheresis set (N = 114) was used for primary comparisons of the following efficacy endpoints: objective response rate (ORR), complete response (CR) rate, duration of response (DOR), and progression-free survival (PFS). The treated set (N = 107) was used for comparisons of the following safety endpoints: cytokine release syndrome (CRS), neurological events (NE), serious infections, and use of corticosteroids or tocilizumab for CRS. Sensitivity analyses were conducted for efficacy using the TRANSCEND FL treated efficacy set (N = 101).

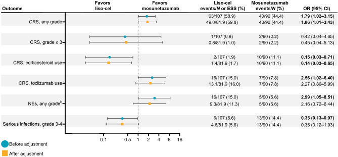
Results: After adjustment, liso-cel was associated with higher ORR (odds ratio [OR] = 3.78, 95% confidence interval [CI] 1.48‒9.67]) and CR rate (OR = 6.46, 95% CI 2.85‒14.65), and improved DOR (hazard ratio [HR] = 0.45, 95% CI 0.26‒0.77) and PFS (HR = 0.28, 95% CI 0.16‒0.49) compared with mosunetuzumab. Results remained consistent across sensitivity analyses. Liso-cel had a lower incidence of grade ≥ 3 CRS (OR = 0.45, 95% CI 0.04‒5.13), grade 3‒4 serious infections (OR = 0.35, 95% CI 0.12‒1.03), and corticosteroid use for CRS management (OR = 0.14, 95% CI 0.03‒0.65); however, liso-cel exhibited higher incidence of any-grade CRS (OR = 1.86, 95% CI 1.01‒3.43), any-grade NEs (OR = 2.16, 95% CI 0.72‒6.44), and tocilizumab use for CRS management (OR = 2.27, 95% CI 0.86‒5.99).

Conclusions: Findings highlight a potential positive benefit-risk profile of liso-cel over mosunetuzumab as a 3L+ treatment for R/R FL.

Abstract Image

Abstract Image

Abstract Image

lisocabtagene maraleucel和mosunetuzumab治疗三线或晚期复发或难治性滤泡性淋巴瘤的疗效和安全性的匹配调整间接比较
背景:随着抗cd19嵌合抗原受体t细胞疗法的引入,复发或难治性(R/R)滤泡性淋巴瘤(FL)的治疗前景发生了变化,包括lisocabtagene maraleucel (liso- cell)和CD20 × CD3双特异性t细胞结合单克隆抗体,如mosunetuzumab。Liso-cel和mosunetuzumab在R/R FL患者的三线或后期(3L+)治疗中显示出积极的获益-风险概况,并且是这些患者的批准治疗方法。在缺乏前瞻性随机研究的情况下,我们进行了一项非锚定匹配调整间接比较(MAIC),以评估liso-cel和mosunetuzumab用于3L+治疗R/R FL患者的有效性和安全性。方法:采用非锚定MAICs来评估TRANSCEND FL (NCT04245839)和GO29781 (NCT02500407)的相对治疗效果。TRANSCEND FL采用白细胞分离组(N = 114)对以下疗效终点进行初步比较:客观缓解率(ORR)、完全缓解率(CR)、缓解持续时间(DOR)和无进展生存期(PFS)。治疗组(N = 107)用于比较以下安全终点:细胞因子释放综合征(CRS)、神经事件(NE)、严重感染以及使用皮质类固醇或托珠单抗治疗CRS。采用TRANSCEND FL治疗疗效组(N = 101)对疗效进行敏感性分析。结果:调整后,与mosunetuzumab相比,liso-cel与更高的ORR(优势比[OR] = 3.78, 95%可信区间[CI] 1.48-9.67])和CR率(OR = 6.46, 95% CI 2.85-14.65)以及改善的DOR(风险比[HR] = 0.45, 95% CI 0.26-0.77)和PFS (HR = 0.28, 95% CI 0.16-0.49)相关。敏感性分析的结果保持一致。Liso-cel有较低的发生率≥3级CRS (OR = 0.45, 95% CI 0.04-5.13)、3 - 4级严重感染(OR = 0.35, 95% CI 0.12-1.03)和皮质类固醇用于CRS管理(OR = 0.14, 95% CI 0.03-0.65);然而,liso-cel表现出更高的任何级别CRS发生率(OR = 1.86, 95% CI 1.01-3.43),任何级别NEs (OR = 2.16, 95% CI 0.72-6.44)和托珠单抗用于CRS管理(OR = 2.27, 95% CI 0.86-5.99)。结论:研究结果强调了作为R/R FL的3L+治疗,liso-cel比mosunetuzumab具有潜在的积极获益-风险特征。
本文章由计算机程序翻译,如有差异,请以英文原文为准。
求助全文
约1分钟内获得全文 求助全文
来源期刊
CiteScore
12.60
自引率
7.30%
发文量
97
审稿时长
6 weeks
期刊介绍: Experimental Hematology & Oncology is an open access journal that encompasses all aspects of hematology and oncology with an emphasis on preclinical, basic, patient-oriented and translational research. The journal acts as an international platform for sharing laboratory findings in these areas and makes a deliberate effort to publish clinical trials with 'negative' results and basic science studies with provocative findings. Experimental Hematology & Oncology publishes original work, hypothesis, commentaries and timely reviews. With open access and rapid turnaround time from submission to publication, the journal strives to be a hub for disseminating new knowledge and discussing controversial topics for both basic scientists and busy clinicians in the closely related fields of hematology and oncology.
×
引用
GB/T 7714-2015
复制
MLA
复制
APA
复制
导出至
BibTeX EndNote RefMan NoteFirst NoteExpress
×
提示
您的信息不完整,为了账户安全,请先补充。
现在去补充
×
提示
您因"违规操作"
具体请查看互助需知
我知道了
×
提示
确定
请完成安全验证×
copy
已复制链接
快去分享给好友吧!
我知道了
右上角分享
点击右上角分享
0
联系我们:info@booksci.cn Book学术提供免费学术资源搜索服务,方便国内外学者检索中英文文献。致力于提供最便捷和优质的服务体验。 Copyright © 2023 布克学术 All rights reserved.
京ICP备2023020795号-1
ghs 京公网安备 11010802042870号
Book学术文献互助
Book学术文献互助群
群 号:604180095
Book学术官方微信