The effectiveness of large language models with RAG for auto-annotating trait and phenotype descriptions.

IF 1.3 Q3 BIOCHEMICAL RESEARCH METHODS
Biology Methods and Protocols Pub Date : 2025-02-26 eCollection Date: 2025-01-01 DOI:10.1093/biomethods/bpaf016
David Kainer
{"title":"The effectiveness of large language models with RAG for auto-annotating trait and phenotype descriptions.","authors":"David Kainer","doi":"10.1093/biomethods/bpaf016","DOIUrl":null,"url":null,"abstract":"<p><p>Ontologies are highly prevalent in biology and medicine and are always evolving. Annotating biological text, such as observed phenotype descriptions, with ontology terms is a challenging and tedious task. The process of annotation requires a contextual understanding of the input text and of the ontological terms available. While text-mining tools are available to assist, they are largely based on directly matching words and phrases and so lack understanding of the meaning of the query item and of the ontology term labels. Large Language Models (LLMs), however, excel at tasks that require semantic understanding of input text and therefore may provide an improvement for the auto-annotation of text with ontological terms. Here we describe a series of workflows incorporating OpenAI GPT's capabilities to annotate <i>Arabidopsis thaliana</i> and forest tree phenotypic observations with ontology terms, aiming for results that resemble manually curated annotations. These workflows make use of an LLM to intelligently parse phenotypes into short concepts, followed by finding appropriate ontology terms via embedding vector similarity or via Retrieval-Augmented Generation (RAG). The RAG model is a state-of-the-art approach that augments conversational prompts to the LLM with context-specific data to empower it beyond its pre-trained parameter space. We show that the RAG produces the most accurate automated annotations that are often highly similar or identical to expert-curated annotations.</p>","PeriodicalId":36528,"journal":{"name":"Biology Methods and Protocols","volume":"10 1","pages":"bpaf016"},"PeriodicalIF":1.3000,"publicationDate":"2025-02-26","publicationTypes":"Journal Article","fieldsOfStudy":null,"isOpenAccess":false,"openAccessPdf":"https://www.ncbi.nlm.nih.gov/pmc/articles/PMC11879556/pdf/","citationCount":"0","resultStr":null,"platform":"Semanticscholar","paperid":null,"PeriodicalName":"Biology Methods and Protocols","FirstCategoryId":"1085","ListUrlMain":"https://doi.org/10.1093/biomethods/bpaf016","RegionNum":0,"RegionCategory":null,"ArticlePicture":[],"TitleCN":null,"AbstractTextCN":null,"PMCID":null,"EPubDate":"2025/1/1 0:00:00","PubModel":"eCollection","JCR":"Q3","JCRName":"BIOCHEMICAL RESEARCH METHODS","Score":null,"Total":0}
引用次数: 0

Abstract

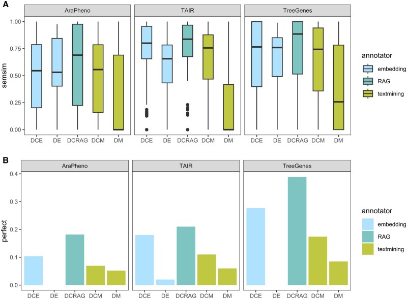
Ontologies are highly prevalent in biology and medicine and are always evolving. Annotating biological text, such as observed phenotype descriptions, with ontology terms is a challenging and tedious task. The process of annotation requires a contextual understanding of the input text and of the ontological terms available. While text-mining tools are available to assist, they are largely based on directly matching words and phrases and so lack understanding of the meaning of the query item and of the ontology term labels. Large Language Models (LLMs), however, excel at tasks that require semantic understanding of input text and therefore may provide an improvement for the auto-annotation of text with ontological terms. Here we describe a series of workflows incorporating OpenAI GPT's capabilities to annotate Arabidopsis thaliana and forest tree phenotypic observations with ontology terms, aiming for results that resemble manually curated annotations. These workflows make use of an LLM to intelligently parse phenotypes into short concepts, followed by finding appropriate ontology terms via embedding vector similarity or via Retrieval-Augmented Generation (RAG). The RAG model is a state-of-the-art approach that augments conversational prompts to the LLM with context-specific data to empower it beyond its pre-trained parameter space. We show that the RAG produces the most accurate automated annotations that are often highly similar or identical to expert-curated annotations.

Abstract Image

Abstract Image

Abstract Image

基于RAG的大型语言模型对性状和表型描述的自动注释的有效性。
本体论在生物学和医学中非常普遍,并且总是在不断发展。用本体术语注释生物学文本(如观察到的表型描述)是一项具有挑战性和繁琐的任务。注释过程需要对输入文本和可用的本体论术语有上下文理解。虽然有文本挖掘工具可以提供帮助,但它们主要基于直接匹配的单词和短语,因此缺乏对查询项和本体术语标签含义的理解。然而,大型语言模型(Large Language Models, llm)擅长于需要对输入文本进行语义理解的任务,因此可以为使用本体论术语对文本进行自动注释提供改进。在这里,我们描述了一系列的工作流程,这些工作流程结合了OpenAI GPT的功能,可以用本体术语注释拟南芥和森林树木的表型观察,旨在获得类似于手动编辑注释的结果。这些工作流利用LLM智能地将表型解析为简短的概念,然后通过嵌入向量相似性或通过检索增强生成(RAG)找到适当的本体术语。RAG模型是一种最先进的方法,它通过特定于上下文的数据来增强对LLM的会话提示,从而使其超出预训练的参数空间。我们展示了RAG生成最准确的自动注释,这些注释通常与专家策划的注释高度相似或相同。
本文章由计算机程序翻译,如有差异,请以英文原文为准。
求助全文
约1分钟内获得全文 求助全文
来源期刊
Biology Methods and Protocols
Biology Methods and Protocols Agricultural and Biological Sciences-Agricultural and Biological Sciences (all)
CiteScore
3.80
自引率
2.80%
发文量
28
审稿时长
19 weeks
×
引用
GB/T 7714-2015
复制
MLA
复制
APA
复制
导出至
BibTeX EndNote RefMan NoteFirst NoteExpress
×
提示
您的信息不完整,为了账户安全,请先补充。
现在去补充
×
提示
您因"违规操作"
具体请查看互助需知
我知道了
×
提示
确定
请完成安全验证×
copy
已复制链接
快去分享给好友吧!
我知道了
右上角分享
点击右上角分享
0
联系我们:info@booksci.cn Book学术提供免费学术资源搜索服务,方便国内外学者检索中英文文献。致力于提供最便捷和优质的服务体验。 Copyright © 2023 布克学术 All rights reserved.
京ICP备2023020795号-1
ghs 京公网安备 11010802042870号
Book学术文献互助
Book学术文献互助群
群 号:604180095
Book学术官方微信