A pragmatic multi-setting healthy lifestyle intervention to improve BMI status in a middle-income population: A potential strategy for individuals at risk.

IF 2.8 Q2 PUBLIC, ENVIRONMENTAL & OCCUPATIONAL HEALTH
Health Promotion Perspectives Pub Date : 2024-12-30 eCollection Date: 2024-01-01 DOI:10.34172/hpp.43196
Reza Yari-Boroujeni, Leila Cheraghi, Parnian Parvin, Fatemeh Shiravi, Hasti Masihay-Akbar, Amirabbas Momenan, Arash Ghanbarian, Parvin Mirmiran, Davood Khalili, Fereidoun Azizi, Parisa Amiri
{"title":"A pragmatic multi-setting healthy lifestyle intervention to improve BMI status in a middle-income population: A potential strategy for individuals at risk.","authors":"Reza Yari-Boroujeni, Leila Cheraghi, Parnian Parvin, Fatemeh Shiravi, Hasti Masihay-Akbar, Amirabbas Momenan, Arash Ghanbarian, Parvin Mirmiran, Davood Khalili, Fereidoun Azizi, Parisa Amiri","doi":"10.34172/hpp.43196","DOIUrl":null,"url":null,"abstract":"<p><strong>Background: </strong>To evaluate a multi-setting lifestyle intervention's effect on body mass index (BMI) across the entire spectrum in a middle-income adult population over 15 years.</p><p><strong>Methods: </strong>This pragmatic interventional study included 5153 adults (≥20 years) from a middle-income community, followed for over 15 years with five follow-ups. A multi-setting intervention (school, family, community) aimed to promote healthy lifestyles. The lambda-mu sigma (LMS) method and quantile regression model were used to analyze changes in BMI percentiles (10<sup>th</sup>-90<sup>th</sup>) by sex and intervention group.</p><p><strong>Results: </strong>The intervention showed modest effects on BMI percentiles. In men, it lowered BMI at the 40<sup>th</sup> and 70<sup>th</sup> percentiles (overweight/obesity onset) at the first follow-up (β=-0.16, 95% CI: -0.33, -0.001 and β=-0.21, 95% CI: -0.38, -0.04 respectively). In women, the effect emerged later (second follow-up) at the 20<sup>th</sup> (β=-0.39, 95% CI: -0.60, -0.18), 30<sup>th</sup> (β=-0.27, 95% CI: -0.49, -0.04), and 60<sup>th</sup> (β=-0.20, 95% CI: -0.39, -0.02) percentiles (overweight risk), extending to more overweight percentiles (20<sup>th</sup>-50<sup>th</sup>) in the third follow-up (βs ranged from -0.28 until -0.26).</p><p><strong>Conclusion: </strong>Our results indicated the effectiveness of a practical lifestyle intervention to control rising trend of BMI at the onset of overweight and obesity in a middle-income population. These findings can be useful for planning obesity prevention programs in communities with similar socioeconomic statuses.</p>","PeriodicalId":46588,"journal":{"name":"Health Promotion Perspectives","volume":"14 4","pages":"369-379"},"PeriodicalIF":2.8000,"publicationDate":"2024-12-30","publicationTypes":"Journal Article","fieldsOfStudy":null,"isOpenAccess":false,"openAccessPdf":"https://www.ncbi.nlm.nih.gov/pmc/articles/PMC11873776/pdf/","citationCount":"0","resultStr":null,"platform":"Semanticscholar","paperid":null,"PeriodicalName":"Health Promotion Perspectives","FirstCategoryId":"1085","ListUrlMain":"https://doi.org/10.34172/hpp.43196","RegionNum":0,"RegionCategory":null,"ArticlePicture":[],"TitleCN":null,"AbstractTextCN":null,"PMCID":null,"EPubDate":"2024/1/1 0:00:00","PubModel":"eCollection","JCR":"Q2","JCRName":"PUBLIC, ENVIRONMENTAL & OCCUPATIONAL HEALTH","Score":null,"Total":0}
引用次数: 0

Abstract

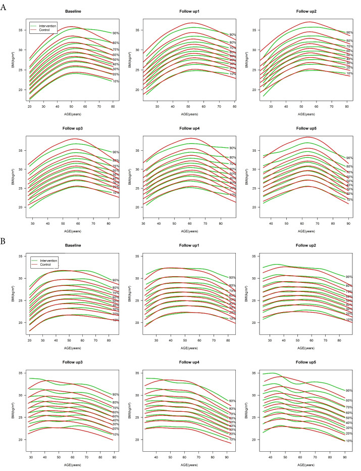
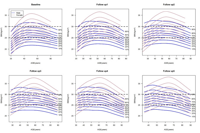
Background: To evaluate a multi-setting lifestyle intervention's effect on body mass index (BMI) across the entire spectrum in a middle-income adult population over 15 years.

Methods: This pragmatic interventional study included 5153 adults (≥20 years) from a middle-income community, followed for over 15 years with five follow-ups. A multi-setting intervention (school, family, community) aimed to promote healthy lifestyles. The lambda-mu sigma (LMS) method and quantile regression model were used to analyze changes in BMI percentiles (10th-90th) by sex and intervention group.

Results: The intervention showed modest effects on BMI percentiles. In men, it lowered BMI at the 40th and 70th percentiles (overweight/obesity onset) at the first follow-up (β=-0.16, 95% CI: -0.33, -0.001 and β=-0.21, 95% CI: -0.38, -0.04 respectively). In women, the effect emerged later (second follow-up) at the 20th (β=-0.39, 95% CI: -0.60, -0.18), 30th (β=-0.27, 95% CI: -0.49, -0.04), and 60th (β=-0.20, 95% CI: -0.39, -0.02) percentiles (overweight risk), extending to more overweight percentiles (20th-50th) in the third follow-up (βs ranged from -0.28 until -0.26).

Conclusion: Our results indicated the effectiveness of a practical lifestyle intervention to control rising trend of BMI at the onset of overweight and obesity in a middle-income population. These findings can be useful for planning obesity prevention programs in communities with similar socioeconomic statuses.

Abstract Image

Abstract Image

Abstract Image

一种实用的多环境健康生活方式干预,以改善中等收入人群的BMI状况:一种针对高危人群的潜在策略
背景:评估一种多环境生活方式干预对15年以上中等收入成年人全谱体重指数(BMI)的影响。方法:这项实用的干预性研究包括来自中等收入社区的5153名成年人(≥20岁),随访超过15年,随访5次。旨在促进健康生活方式的多环境干预(学校、家庭、社区)。采用lambda-mu sigma (LMS)方法和分位数回归模型分析不同性别和干预组BMI百分位数(10 ~ 90)的变化。结果:干预对BMI百分位数的影响不大。在男性中,在第一次随访时,它降低了第40和第70百分位数(超重/肥胖发病)的BMI (β=-0.16, 95% CI: -0.33, -0.001和β=-0.21, 95% CI: -0.38, -0.04)。在女性中,这种影响在第20个(β=-0.39, 95% CI: -0.60, -0.18)、第30个(β=-0.27, 95% CI: -0.49, -0.04)和第60个(β=-0.20, 95% CI: -0.39, -0.02)百分位(超重风险)出现较晚(第二次随访),在第三次随访(βs范围从-0.28到-0.26)中扩展到更多的超重百分位(20 -50)。结论:我们的研究结果表明,在中等收入人群中,一种实用的生活方式干预可以有效地控制超重和肥胖发病时BMI的上升趋势。这些发现对于在具有相似社会经济地位的社区规划肥胖预防项目是有用的。
本文章由计算机程序翻译,如有差异,请以英文原文为准。
求助全文
约1分钟内获得全文 求助全文
来源期刊
Health Promotion Perspectives
Health Promotion Perspectives PUBLIC, ENVIRONMENTAL & OCCUPATIONAL HEALTH-
CiteScore
7.10
自引率
2.30%
发文量
27
审稿时长
13 weeks
×
引用
GB/T 7714-2015
复制
MLA
复制
APA
复制
导出至
BibTeX EndNote RefMan NoteFirst NoteExpress
×
提示
您的信息不完整,为了账户安全,请先补充。
现在去补充
×
提示
您因"违规操作"
具体请查看互助需知
我知道了
×
提示
确定
请完成安全验证×
copy
已复制链接
快去分享给好友吧!
我知道了
右上角分享
点击右上角分享
0
联系我们:info@booksci.cn Book学术提供免费学术资源搜索服务,方便国内外学者检索中英文文献。致力于提供最便捷和优质的服务体验。 Copyright © 2023 布克学术 All rights reserved.
京ICP备2023020795号-1
ghs 京公网安备 11010802042870号
Book学术文献互助
Book学术文献互助群
群 号:604180095
Book学术官方微信