Advancing trabecular bone score (TBS): clinical performance of TBS version 4.0 with direct correction for soft tissue thickness-the osteolaus study.

IF 5.4 2区 医学 Q1 ENDOCRINOLOGY & METABOLISM
Osteoporosis International Pub Date : 2025-04-01 Epub Date: 2025-03-04 DOI:10.1007/s00198-025-07421-4
Guillaume Gatineau, Karen Hind, Enisa Shevroja, Elena Gonzalez-Rodriguez, Olivier Lamy, Didier Hans
{"title":"Advancing trabecular bone score (TBS): clinical performance of TBS version 4.0 with direct correction for soft tissue thickness-the osteolaus study.","authors":"Guillaume Gatineau, Karen Hind, Enisa Shevroja, Elena Gonzalez-Rodriguez, Olivier Lamy, Didier Hans","doi":"10.1007/s00198-025-07421-4","DOIUrl":null,"url":null,"abstract":"<p><p>This study compared TBS v4.0, which uses DXA-derived tissue thickness corrections, with TBS v3, which adjusts using BMI. TBS v4.0 improved soft tissue adjustments and maintained fracture risk prediction equivalence with TBS v3, enhancing applicability across diverse body compositions/phenotypes. Direct tissue thickness adjustment increases TBS's utility in osteoporosis assessment and management.</p><p><strong>Purpose: </strong>This study aimed to compare trabecular bone score (TBS) version 4.0, which uses direct tissue thickness correction via DXA measurements, with TBS version 3, which adjusts for soft tissues using body mass index (BMI). The objective was to assess the performance of TBS v4.0 compared to v3, for bone health evaluation and fracture risk assessment across diverse body compositions.</p><p><strong>Methods: </strong>Data from the OsteoLaus cohort were analyzed. Associations between TBS, BMI, DXA-measured tissue thickness, visceral fat (VFAT), and android fat were examined using regression and correlation analyses. Machine learning, including Random Forest (RF) and SHapley Additive exPlanations (SHAP), explored TBS changes between versions. Five-year fracture risk was assessed using FRAX adjustment, and logistic regression.</p><p><strong>Results: </strong>TBS v3 correlated with BMI (r = 0.110, p < 0 .001), VFAT mass (r =  - 0.162, p < 0 .001), and soft tissue thickness (r =  - 0.165, p < 0.001). TBS v4.0 demonstrated weaker correlations with BMI (r =  - 0.057, p > 0.999), VFAT Mass (r =  - 0.067, p > 0.779), and soft tissue thickness (r =  - 0.114, p = 0.019). Differences between TBS versions were investigated with SHapley Additive exPlanations (SHAP) and explained by BMI, tissue thickness, VFAT, and gynoid fat. Logistic regression and Delong's test revealed no significant differences in vertebral fracture prediction between the two TBS versions (p = 0.564). FRAX adjustments were highly consistent between versions (r = 0.994, p < 0.001), with no evidence of calibration bias (p = 0.241).</p><p><strong>Conclusion: </strong>TBS v4.0 enhances the adjustment for regional soft tissue effects and results suggest comparable vertebral fracture risk prediction to TBS v3. Explainable AI provided insights into the contributions of BMI, tissue thickness, visceral fat, and gynoid fat to the observed changes between TBS versions. Incorporating direct tissue thickness adjustment improves TBS applicability across diverse body sizes and compositions.</p>","PeriodicalId":19638,"journal":{"name":"Osteoporosis International","volume":" ","pages":"715-724"},"PeriodicalIF":5.4000,"publicationDate":"2025-04-01","publicationTypes":"Journal Article","fieldsOfStudy":null,"isOpenAccess":false,"openAccessPdf":"https://www.ncbi.nlm.nih.gov/pmc/articles/PMC12064620/pdf/","citationCount":"0","resultStr":null,"platform":"Semanticscholar","paperid":null,"PeriodicalName":"Osteoporosis International","FirstCategoryId":"3","ListUrlMain":"https://doi.org/10.1007/s00198-025-07421-4","RegionNum":2,"RegionCategory":"医学","ArticlePicture":[],"TitleCN":null,"AbstractTextCN":null,"PMCID":null,"EPubDate":"2025/3/4 0:00:00","PubModel":"Epub","JCR":"Q1","JCRName":"ENDOCRINOLOGY & METABOLISM","Score":null,"Total":0}
引用次数: 0

Abstract

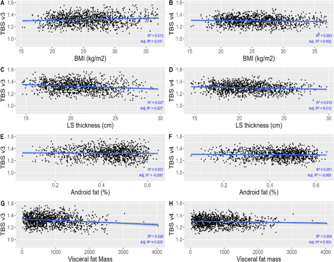
This study compared TBS v4.0, which uses DXA-derived tissue thickness corrections, with TBS v3, which adjusts using BMI. TBS v4.0 improved soft tissue adjustments and maintained fracture risk prediction equivalence with TBS v3, enhancing applicability across diverse body compositions/phenotypes. Direct tissue thickness adjustment increases TBS's utility in osteoporosis assessment and management.

Purpose: This study aimed to compare trabecular bone score (TBS) version 4.0, which uses direct tissue thickness correction via DXA measurements, with TBS version 3, which adjusts for soft tissues using body mass index (BMI). The objective was to assess the performance of TBS v4.0 compared to v3, for bone health evaluation and fracture risk assessment across diverse body compositions.

Methods: Data from the OsteoLaus cohort were analyzed. Associations between TBS, BMI, DXA-measured tissue thickness, visceral fat (VFAT), and android fat were examined using regression and correlation analyses. Machine learning, including Random Forest (RF) and SHapley Additive exPlanations (SHAP), explored TBS changes between versions. Five-year fracture risk was assessed using FRAX adjustment, and logistic regression.

Results: TBS v3 correlated with BMI (r = 0.110, p < 0 .001), VFAT mass (r =  - 0.162, p < 0 .001), and soft tissue thickness (r =  - 0.165, p < 0.001). TBS v4.0 demonstrated weaker correlations with BMI (r =  - 0.057, p > 0.999), VFAT Mass (r =  - 0.067, p > 0.779), and soft tissue thickness (r =  - 0.114, p = 0.019). Differences between TBS versions were investigated with SHapley Additive exPlanations (SHAP) and explained by BMI, tissue thickness, VFAT, and gynoid fat. Logistic regression and Delong's test revealed no significant differences in vertebral fracture prediction between the two TBS versions (p = 0.564). FRAX adjustments were highly consistent between versions (r = 0.994, p < 0.001), with no evidence of calibration bias (p = 0.241).

Conclusion: TBS v4.0 enhances the adjustment for regional soft tissue effects and results suggest comparable vertebral fracture risk prediction to TBS v3. Explainable AI provided insights into the contributions of BMI, tissue thickness, visceral fat, and gynoid fat to the observed changes between TBS versions. Incorporating direct tissue thickness adjustment improves TBS applicability across diverse body sizes and compositions.

Abstract Image

Abstract Image

Abstract Image

高级骨小梁评分(TBS): TBS 4.0版直接校正软组织厚度的临床表现-骨瘤研究。
本研究比较了使用dxa衍生组织厚度校正的TBS v4.0和使用BMI校正的TBS v3。TBS v4.0改进了软组织调整,并与TBS v3保持了骨折风险预测的等效性,增强了对不同身体成分/表型的适用性。直接的组织厚度调整增加了TBS在骨质疏松评估和管理中的效用。目的:本研究旨在比较小梁骨评分(TBS) 4.0版(通过DXA测量直接进行组织厚度校正)与TBS 3版(使用体重指数(BMI)调整软组织)。目的是评估TBS v4.0与v3相比的性能,用于不同身体成分的骨骼健康评估和骨折风险评估。方法:对来自OsteoLaus队列的数据进行分析。采用回归和相关分析检验TBS、BMI、dxa测量的组织厚度、内脏脂肪(VFAT)和android脂肪之间的相关性。机器学习,包括随机森林(RF)和SHapley加性解释(SHAP),探索了版本之间TBS的变化。采用FRAX调整和logistic回归评估5年骨折风险。结果:TBS v3与BMI (r = 0.110, p 0.999)、VFAT质量(r = - 0.067, p > 0.779)、软组织厚度(r = - 0.114, p = 0.019)相关。采用SHapley加性解释(SHAP)研究TBS版本之间的差异,并通过BMI、组织厚度、VFAT和雌体脂肪进行解释。Logistic回归和Delong检验显示两种TBS版本椎体骨折预测无显著差异(p = 0.564)。结论:TBS v4.0增强了对局部软组织效应的调整,结果表明椎体骨折风险预测与TBS v3相当。可解释的AI提供了对BMI、组织厚度、内脏脂肪和女性脂肪对TBS版本之间观察到的变化的贡献的见解。结合直接组织厚度调整提高了TBS在不同体型和成分中的适用性。
本文章由计算机程序翻译,如有差异,请以英文原文为准。
求助全文
约1分钟内获得全文 求助全文
来源期刊
Osteoporosis International
Osteoporosis International 医学-内分泌学与代谢
CiteScore
8.10
自引率
10.00%
发文量
224
审稿时长
3 months
期刊介绍: An international multi-disciplinary journal which is a joint initiative between the International Osteoporosis Foundation and the National Osteoporosis Foundation of the USA, Osteoporosis International provides a forum for the communication and exchange of current ideas concerning the diagnosis, prevention, treatment and management of osteoporosis and other metabolic bone diseases. It publishes: original papers - reporting progress and results in all areas of osteoporosis and its related fields; review articles - reflecting the present state of knowledge in special areas of summarizing limited themes in which discussion has led to clearly defined conclusions; educational articles - giving information on the progress of a topic of particular interest; case reports - of uncommon or interesting presentations of the condition. While focusing on clinical research, the Journal will also accept submissions on more basic aspects of research, where they are considered by the editors to be relevant to the human disease spectrum.
×
引用
GB/T 7714-2015
复制
MLA
复制
APA
复制
导出至
BibTeX EndNote RefMan NoteFirst NoteExpress
×
提示
您的信息不完整,为了账户安全,请先补充。
现在去补充
×
提示
您因"违规操作"
具体请查看互助需知
我知道了
×
提示
确定
请完成安全验证×
copy
已复制链接
快去分享给好友吧!
我知道了
右上角分享
点击右上角分享
0
联系我们:info@booksci.cn Book学术提供免费学术资源搜索服务,方便国内外学者检索中英文文献。致力于提供最便捷和优质的服务体验。 Copyright © 2023 布克学术 All rights reserved.
京ICP备2023020795号-1
ghs 京公网安备 11010802042870号
Book学术文献互助
Book学术文献互助群
群 号:604180095
Book学术官方微信