IgA Nephropathy and the Risk of Primary Infections: A Swedish Population-Based Cohort Study.

IF 3.2 3区 医学 Q1 UROLOGY & NEPHROLOGY
American Journal of Nephrology Pub Date : 2025-01-01 Epub Date: 2025-03-04 DOI:10.1159/000544753
Johanna Rehnberg, Jonas F Ludvigsson, Louise Emilsson, Johanna Rehnberg
{"title":"IgA Nephropathy and the Risk of Primary Infections: A Swedish Population-Based Cohort Study.","authors":"Johanna Rehnberg, Jonas F Ludvigsson, Louise Emilsson, Johanna Rehnberg","doi":"10.1159/000544753","DOIUrl":null,"url":null,"abstract":"<p><strong>Introduction: </strong>IgA nephropathy is the most common primary kidney disease in the world and has a highly variable clinical presentation. While studies have indicated a link between glomerular disease and infections, large-scale studies on IgA nephropathy are missing.</p><p><strong>Methods: </strong>In our study, IgA nephropathy was defined as having a kidney biopsy record 1997-2011 in Sweden. Each IgA nephropathy patient was matched with five reference individuals based on age, sex, calendar year, and county of residence. We excluded individuals with earlier organ transplants, HIV, immunodeficiency, or end-stage kidney disease. Linear and Cox regressions, adjusted for age, sex, education, and diabetes, were performed to analyze total infections and antimicrobial treatments in both patients and reference individuals. Sibling analyses were also performed.</p><p><strong>Results: </strong>The linear regression analysis revealed a significant association between IgA nephropathy and the overall frequency of infections compared to the general population (β = 0.44; 95% CI: 0.35-0.53) and siblings (β = 0.36; 95% CI: 0.23-0.49). Similarly, antimicrobial prescriptions, especially antibiotics, were more common in IgA nephropathy compared to the general population and to siblings. Cox regression showed an elevated risk of any infection (adjusted hazard ratio [aHR] = 2.00; 95% CI: 1.84-2.18) and sepsis (aHR = 3.18; 95% CI: 2.17-4.65) corresponding to one extra case of sepsis per 63 patients followed for 10 years. The strongest associations were seen for urinary tract infections; ear, nose, and throat infections; and musculoskeletal and gastrointestinal infections.</p><p><strong>Conclusion: </strong>Conclusively, our study demonstrates an increased prevalence of infections and antibiotic prescriptions in IgA nephropathy patients. The increased risk of sepsis warrants clinical awareness and prevention.</p>","PeriodicalId":7570,"journal":{"name":"American Journal of Nephrology","volume":" ","pages":"445-456"},"PeriodicalIF":3.2000,"publicationDate":"2025-01-01","publicationTypes":"Journal Article","fieldsOfStudy":null,"isOpenAccess":false,"openAccessPdf":"https://www.ncbi.nlm.nih.gov/pmc/articles/PMC12342696/pdf/","citationCount":"0","resultStr":null,"platform":"Semanticscholar","paperid":null,"PeriodicalName":"American Journal of Nephrology","FirstCategoryId":"3","ListUrlMain":"https://doi.org/10.1159/000544753","RegionNum":3,"RegionCategory":"医学","ArticlePicture":[],"TitleCN":null,"AbstractTextCN":null,"PMCID":null,"EPubDate":"2025/3/4 0:00:00","PubModel":"Epub","JCR":"Q1","JCRName":"UROLOGY & NEPHROLOGY","Score":null,"Total":0}
引用次数: 0

Abstract

Introduction: IgA nephropathy is the most common primary kidney disease in the world and has a highly variable clinical presentation. While studies have indicated a link between glomerular disease and infections, large-scale studies on IgA nephropathy are missing.

Methods: In our study, IgA nephropathy was defined as having a kidney biopsy record 1997-2011 in Sweden. Each IgA nephropathy patient was matched with five reference individuals based on age, sex, calendar year, and county of residence. We excluded individuals with earlier organ transplants, HIV, immunodeficiency, or end-stage kidney disease. Linear and Cox regressions, adjusted for age, sex, education, and diabetes, were performed to analyze total infections and antimicrobial treatments in both patients and reference individuals. Sibling analyses were also performed.

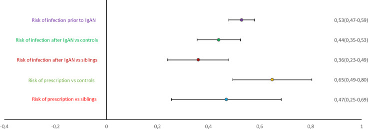
Results: The linear regression analysis revealed a significant association between IgA nephropathy and the overall frequency of infections compared to the general population (β = 0.44; 95% CI: 0.35-0.53) and siblings (β = 0.36; 95% CI: 0.23-0.49). Similarly, antimicrobial prescriptions, especially antibiotics, were more common in IgA nephropathy compared to the general population and to siblings. Cox regression showed an elevated risk of any infection (adjusted hazard ratio [aHR] = 2.00; 95% CI: 1.84-2.18) and sepsis (aHR = 3.18; 95% CI: 2.17-4.65) corresponding to one extra case of sepsis per 63 patients followed for 10 years. The strongest associations were seen for urinary tract infections; ear, nose, and throat infections; and musculoskeletal and gastrointestinal infections.

Conclusion: Conclusively, our study demonstrates an increased prevalence of infections and antibiotic prescriptions in IgA nephropathy patients. The increased risk of sepsis warrants clinical awareness and prevention.

Abstract Image

Abstract Image

IgA肾病和原发性感染的风险:一项瑞典人群队列研究
背景:IgA肾病是世界上最常见的原发性肾脏疾病,具有高度可变的临床表现。虽然研究表明肾小球疾病与感染之间存在联系,但缺乏对IgA肾病的大规模研究。方法:在我们的研究中,IgA肾病被定义为1997-2011年在瑞典有肾活检记录。每个IgA肾病患者根据年龄,性别,日历年和居住县与5个参考个体匹配。我们排除了早期器官移植、HIV、免疫缺陷或终末期肾脏疾病的个体。对年龄、性别、教育程度和糖尿病进行线性回归和Cox回归,分析患者和参考个体的总感染和抗菌药物治疗情况。还进行了同胞分析。结果:线性回归分析显示,与一般人群相比,IgA肾病与感染总频率之间存在显著关联(β=0.44;95%CI: 0.35-0.53)和兄弟姐妹(β=0.36;95%置信区间:0.23—-0.49)。同样,与一般人群和兄弟姐妹相比,IgA肾病患者使用抗菌药物,尤其是抗生素的情况更为常见。Cox回归显示任何感染的风险均升高(校正风险比(HR)=2.00;95%CI 1.84-2.18)和脓毒症(aHR=3.18;95%CI 2.17-4.65),对应于每63例患者中有1例败血症的额外病例,随访10年。尿路感染的相关性最强;耳鼻喉部感染;肌肉骨骼和胃肠道感染。结论:最后,我们的研究表明IgA肾病患者感染和抗生素处方的患病率增加。脓毒症风险的增加需要临床意识和预防。
本文章由计算机程序翻译,如有差异,请以英文原文为准。
求助全文
约1分钟内获得全文 求助全文
来源期刊
American Journal of Nephrology
American Journal of Nephrology 医学-泌尿学与肾脏学
CiteScore
7.50
自引率
2.40%
发文量
74
审稿时长
4-8 weeks
期刊介绍: The ''American Journal of Nephrology'' is a peer-reviewed journal that focuses on timely topics in both basic science and clinical research. Papers are divided into several sections, including:
×
引用
GB/T 7714-2015
复制
MLA
复制
APA
复制
导出至
BibTeX EndNote RefMan NoteFirst NoteExpress
×
提示
您的信息不完整,为了账户安全,请先补充。
现在去补充
×
提示
您因"违规操作"
具体请查看互助需知
我知道了
×
提示
确定
请完成安全验证×
copy
已复制链接
快去分享给好友吧!
我知道了
右上角分享
点击右上角分享
0
联系我们:info@booksci.cn Book学术提供免费学术资源搜索服务,方便国内外学者检索中英文文献。致力于提供最便捷和优质的服务体验。 Copyright © 2023 布克学术 All rights reserved.
京ICP备2023020795号-1
ghs 京公网安备 11010802042870号
Book学术文献互助
Book学术文献互助群
群 号:604180095
Book学术官方微信