Palliative Care Services in Bhutan: Current Progress and Future Needs.

IF 1.2 Q4 HEALTH CARE SCIENCES & SERVICES
Indian Journal of Palliative Care Pub Date : 2025-01-01 Epub Date: 2024-12-24 DOI:10.25259/IJPC_206_2024
Namkha Dorji, Yangden Yangden, Kinley Bhuti, Yeshey Dorjey, Sangay Tshering, Cheong Leong Giam, Tara Devi Laabar
{"title":"Palliative Care Services in Bhutan: Current Progress and Future Needs.","authors":"Namkha Dorji, Yangden Yangden, Kinley Bhuti, Yeshey Dorjey, Sangay Tshering, Cheong Leong Giam, Tara Devi Laabar","doi":"10.25259/IJPC_206_2024","DOIUrl":null,"url":null,"abstract":"<p><p>Palliative care (PC) is a young concept in Bhutan. Since the establishment of home-based PC services at the national referral hospital of Bhutan for the residents of Thimphu City in 2018, many patients have benefitted. The need for PC in Bhutan is huge and urgent. The provision of quality PC is important to improve the quality of life of people facing life-limiting illnesses and end-of-life care, irrespective of their diagnosis. At present, efforts are being made to expand the services to the rest of the country by developing human resources. The plan is to train the existing manpower with the help of regional and international experts so that the PC services in Bhutan are sustainable.</p>","PeriodicalId":13319,"journal":{"name":"Indian Journal of Palliative Care","volume":"31 1","pages":"79-85"},"PeriodicalIF":1.2000,"publicationDate":"2025-01-01","publicationTypes":"Journal Article","fieldsOfStudy":null,"isOpenAccess":false,"openAccessPdf":"https://www.ncbi.nlm.nih.gov/pmc/articles/PMC11866669/pdf/","citationCount":"0","resultStr":null,"platform":"Semanticscholar","paperid":null,"PeriodicalName":"Indian Journal of Palliative Care","FirstCategoryId":"1085","ListUrlMain":"https://doi.org/10.25259/IJPC_206_2024","RegionNum":0,"RegionCategory":null,"ArticlePicture":[],"TitleCN":null,"AbstractTextCN":null,"PMCID":null,"EPubDate":"2024/12/24 0:00:00","PubModel":"Epub","JCR":"Q4","JCRName":"HEALTH CARE SCIENCES & SERVICES","Score":null,"Total":0}
引用次数: 0

Abstract

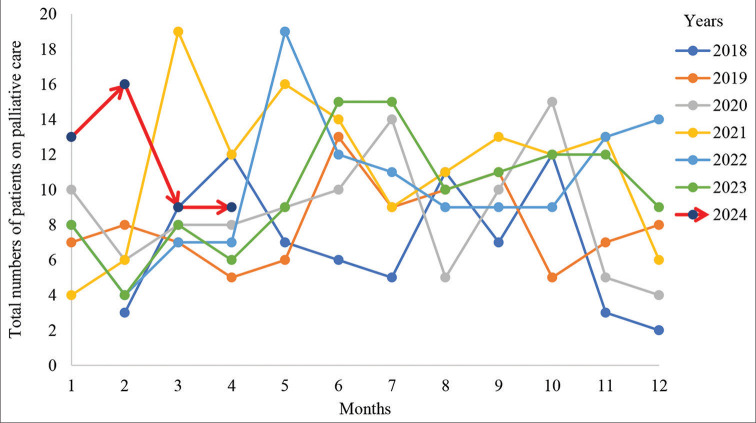
Palliative care (PC) is a young concept in Bhutan. Since the establishment of home-based PC services at the national referral hospital of Bhutan for the residents of Thimphu City in 2018, many patients have benefitted. The need for PC in Bhutan is huge and urgent. The provision of quality PC is important to improve the quality of life of people facing life-limiting illnesses and end-of-life care, irrespective of their diagnosis. At present, efforts are being made to expand the services to the rest of the country by developing human resources. The plan is to train the existing manpower with the help of regional and international experts so that the PC services in Bhutan are sustainable.

Abstract Image

Abstract Image

不丹的姑息治疗服务:当前进展和未来需求。
姑息治疗(PC)在不丹是一个年轻的概念。自2018年不丹国家转诊医院为廷布市居民提供家庭PC服务以来,许多患者受益。不丹对PC的需求巨大而迫切。提供高质量的PC对于改善面临限制生命的疾病和临终关怀的人的生活质量非常重要,无论他们的诊断如何。目前,正在努力通过开发人力资源将服务扩大到全国其他地区。该计划是在区域和国际专家的帮助下培训现有人力,使不丹的个人电脑服务可持续发展。
本文章由计算机程序翻译,如有差异,请以英文原文为准。
求助全文
约1分钟内获得全文 求助全文
来源期刊
Indian Journal of Palliative Care
Indian Journal of Palliative Care HEALTH CARE SCIENCES & SERVICES-
CiteScore
2.30
自引率
0.00%
发文量
57
期刊介绍: Welcome to the website of the Indian Journal of Palliative Care. You have free full text access to recent issues of the journal. The links connect you to •guidelines and systematic reviews in palliative care and oncology •a directory of palliative care programmes in India and IAPC membership •Palliative Care Formulary, book reviews and other educational material •guidance on statistical tests and medical writing.
×
引用
GB/T 7714-2015
复制
MLA
复制
APA
复制
导出至
BibTeX EndNote RefMan NoteFirst NoteExpress
×
提示
您的信息不完整,为了账户安全,请先补充。
现在去补充
×
提示
您因"违规操作"
具体请查看互助需知
我知道了
×
提示
确定
请完成安全验证×
copy
已复制链接
快去分享给好友吧!
我知道了
右上角分享
点击右上角分享
0
联系我们:info@booksci.cn Book学术提供免费学术资源搜索服务,方便国内外学者检索中英文文献。致力于提供最便捷和优质的服务体验。 Copyright © 2023 布克学术 All rights reserved.
京ICP备2023020795号-1
ghs 京公网安备 11010802042870号
Book学术文献互助
Book学术文献互助群
群 号:604180095
Book学术官方微信