3D Muscle Volume and 3D Fat Fraction After Successful and Failed Arthroscopic Rotator Cuff Repair at 5-Year Follow-up.

IF 4.5 1区 医学 Q1 ORTHOPEDICS
Philipp Kriechling, Jethin Joshy, Stefan Klotz, Georg C Feuerriegel, Philipp Fürnstahl, Reto Sutter, Mazda Farshad, Karl Wieser
{"title":"3D Muscle Volume and 3D Fat Fraction After Successful and Failed Arthroscopic Rotator Cuff Repair at 5-Year Follow-up.","authors":"Philipp Kriechling, Jethin Joshy, Stefan Klotz, Georg C Feuerriegel, Philipp Fürnstahl, Reto Sutter, Mazda Farshad, Karl Wieser","doi":"10.1177/03635465241299795","DOIUrl":null,"url":null,"abstract":"<p><strong>Background: </strong>The results of rotator cuff (RC) repair surgery can be influenced by the presence of muscle atrophy and fatty infiltration. Three-dimensional (3D) quantitative data regarding those degenerative muscle changes after successful or failed RC repair are rare in the current literature.</p><p><strong>Hypothesis/purpose: </strong>The purpose of this study was to analyze muscle volume and fatty infiltration of the supraspinatus muscle after successful and failed arthroscopic RC tendon repair, with a minimum follow-up of 5 years. It was hypothesized that RC muscle volume and fatty infiltration would improve after successful repair and only to a limited extent after failed repair.</p><p><strong>Study design: </strong>Cohort study; Level of evidence 2.</p><p><strong>Methods: </strong>A total of 115 patients (mean age, 59 ± 8 years; 33% women) with RC repair for full-thickness supraspinatus tendon tear were prospectively followed at 3 and 12 months. Of them, 18 patients with unsuccessful RC repairs were matched to 21 patients with successful repairs and reevaluated at a minimum follow-up of 60 months. All patients underwent quantitative 2-point Dixon magnetic resonance imaging at all time points to evaluate full 3D muscle volume and 3D fatty infiltration. The clinical examination included the full Constant-Murley score (CS) and subjective shoulder value.</p><p><strong>Results: </strong>The relative changes in supraspinatus muscle volume were statistically significant between the 2 groups over time (<i>P</i> < .01). Successful repairs showed a mean volume increase of 18% (<i>P</i> < .001) and 23% (<i>P</i> < .001) from preoperatively and the 3-month follow-up, respectively, and failed repairs were remodeled by 3% (<i>P</i> = .586) and 12% (<i>P</i> = .001), respectively. However, a direct comparison of the volumes revealed comparable results at the latest follow-up with 43 cm<sup>3</sup> (95% CI, 38-47 cm<sup>3</sup>) and 40 cm<sup>3</sup> (95% CI, 33-46 cm<sup>3</sup>) for successful and failed repairs (<i>P</i> = .494), respectively. The supraspinatus 3D fatty infiltration also showed lower fat content for the successful repair preoperatively (6.9% [95% CI, 4.7%-9.2%] vs 9.1% [95% CI, 7.2%-11.1%]; <i>P</i> < .01), at 3 months (7.9% [95% CI, 5.5%-10.4%] vs 12.8% [95% CI, 9.1%-16.5%]; <i>P</i> < .01), at 12 months (7.5% [95% CI, 4.8%-10.1%] vs 11.6% [95% CI, 9.4%-13.8%]; <i>P</i> < .01), and at 60 months (7.4% [95% CI, 4.7%-10.2%] vs 15.5% [95% CI, 11%-20%]; <i>P</i> < .01) postoperatively. Fatty infiltration remained unchanged between preoperatively and from 3-month follow-up in the successful group. However, it increased by 70% (<i>P</i> < .01) from preoperative and by 21% (<i>P</i> = .065) from 3-months follow-up in the failed group. The clinical outcome was similar for successful and failed repairs with an absolute CS of 81 ± 6 versus 72 ± 15 (<i>P</i> = .069) and a relative CS of 94% ± 7% versus 85% ± 17% (<i>P</i> = .078).</p><p><strong>Conclusion: </strong>Successful RC repair was associated with relevant improvement of supraspinatus muscle mass and an unchanged fatty infiltration at a midterm follow-up of 5 years. However, failed repairs achieved only mild improvement of supraspinatus muscle volume and showed deterioration of fatty infiltration.</p>","PeriodicalId":55528,"journal":{"name":"American Journal of Sports Medicine","volume":"53 3","pages":"571-582"},"PeriodicalIF":4.5000,"publicationDate":"2025-03-01","publicationTypes":"Journal Article","fieldsOfStudy":null,"isOpenAccess":false,"openAccessPdf":"https://www.ncbi.nlm.nih.gov/pmc/articles/PMC11874612/pdf/","citationCount":"0","resultStr":null,"platform":"Semanticscholar","paperid":null,"PeriodicalName":"American Journal of Sports Medicine","FirstCategoryId":"3","ListUrlMain":"https://doi.org/10.1177/03635465241299795","RegionNum":1,"RegionCategory":"医学","ArticlePicture":[],"TitleCN":null,"AbstractTextCN":null,"PMCID":null,"EPubDate":"","PubModel":"","JCR":"Q1","JCRName":"ORTHOPEDICS","Score":null,"Total":0}
引用次数: 0

Abstract

Background: The results of rotator cuff (RC) repair surgery can be influenced by the presence of muscle atrophy and fatty infiltration. Three-dimensional (3D) quantitative data regarding those degenerative muscle changes after successful or failed RC repair are rare in the current literature.

Hypothesis/purpose: The purpose of this study was to analyze muscle volume and fatty infiltration of the supraspinatus muscle after successful and failed arthroscopic RC tendon repair, with a minimum follow-up of 5 years. It was hypothesized that RC muscle volume and fatty infiltration would improve after successful repair and only to a limited extent after failed repair.

Study design: Cohort study; Level of evidence 2.

Methods: A total of 115 patients (mean age, 59 ± 8 years; 33% women) with RC repair for full-thickness supraspinatus tendon tear were prospectively followed at 3 and 12 months. Of them, 18 patients with unsuccessful RC repairs were matched to 21 patients with successful repairs and reevaluated at a minimum follow-up of 60 months. All patients underwent quantitative 2-point Dixon magnetic resonance imaging at all time points to evaluate full 3D muscle volume and 3D fatty infiltration. The clinical examination included the full Constant-Murley score (CS) and subjective shoulder value.

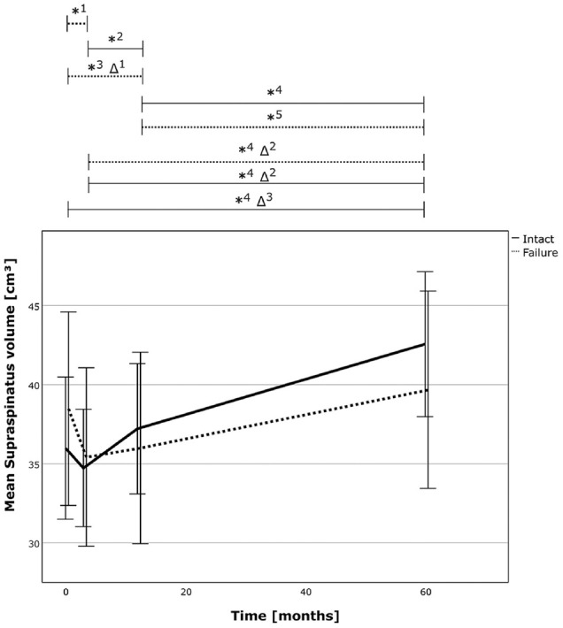
Results: The relative changes in supraspinatus muscle volume were statistically significant between the 2 groups over time (P < .01). Successful repairs showed a mean volume increase of 18% (P < .001) and 23% (P < .001) from preoperatively and the 3-month follow-up, respectively, and failed repairs were remodeled by 3% (P = .586) and 12% (P = .001), respectively. However, a direct comparison of the volumes revealed comparable results at the latest follow-up with 43 cm3 (95% CI, 38-47 cm3) and 40 cm3 (95% CI, 33-46 cm3) for successful and failed repairs (P = .494), respectively. The supraspinatus 3D fatty infiltration also showed lower fat content for the successful repair preoperatively (6.9% [95% CI, 4.7%-9.2%] vs 9.1% [95% CI, 7.2%-11.1%]; P < .01), at 3 months (7.9% [95% CI, 5.5%-10.4%] vs 12.8% [95% CI, 9.1%-16.5%]; P < .01), at 12 months (7.5% [95% CI, 4.8%-10.1%] vs 11.6% [95% CI, 9.4%-13.8%]; P < .01), and at 60 months (7.4% [95% CI, 4.7%-10.2%] vs 15.5% [95% CI, 11%-20%]; P < .01) postoperatively. Fatty infiltration remained unchanged between preoperatively and from 3-month follow-up in the successful group. However, it increased by 70% (P < .01) from preoperative and by 21% (P = .065) from 3-months follow-up in the failed group. The clinical outcome was similar for successful and failed repairs with an absolute CS of 81 ± 6 versus 72 ± 15 (P = .069) and a relative CS of 94% ± 7% versus 85% ± 17% (P = .078).

Conclusion: Successful RC repair was associated with relevant improvement of supraspinatus muscle mass and an unchanged fatty infiltration at a midterm follow-up of 5 years. However, failed repairs achieved only mild improvement of supraspinatus muscle volume and showed deterioration of fatty infiltration.

Abstract Image

Abstract Image

Abstract Image

成功和失败的肩袖关节镜修复术后 5 年随访的三维肌肉体积和三维脂肪比例。
背景:肩袖(RC)修复手术的结果可能受到肌肉萎缩和脂肪浸润的影响。在目前的文献中,关于RC修复成功或失败后退行性肌肉变化的三维(3D)定量数据很少。假设/目的:本研究的目的是分析关节镜下RC肌腱修复成功和失败后冈上肌的肌肉体积和脂肪浸润情况,至少随访5年。假设RC肌肉体积和脂肪浸润在修复成功后会改善,而修复失败后仅在有限程度上改善。研究设计:队列研究;证据等级2。方法:共115例患者(平均年龄59±8岁;33%的女性接受RC修复全层冈上肌腱撕裂,随访时间分别为3个月和12个月。其中,18例RC修复失败的患者与21例成功修复的患者进行匹配,并在至少60个月的随访中重新评估。所有患者在所有时间点进行定量2点Dixon磁共振成像,评估全三维肌肉体积和三维脂肪浸润。临床检查包括全Constant-Murley评分(CS)和主观肩值。结果:两组间冈上肌体积随时间的相对变化均有统计学意义(P < 0.01)。与术前和随访3个月相比,成功修复的平均体积分别增加18% (P < 0.001)和23% (P < 0.001),失败修复的平均体积分别增加3% (P = 0.586)和12% (P = 0.001)。然而,直接比较体积显示,在最近的随访中,成功修复和失败修复的结果分别为43 cm3 (95% CI, 38-47 cm3)和40 cm3 (95% CI, 33-46 cm3) (P = .494)。冈上肌三维脂肪浸润也显示术前成功修复的脂肪含量较低(6.9% [95% CI, 4.7%-9.2%] vs 9.1% [95% CI, 7.2%-11.1%];在3个月(P < . 01), 7.9%(95%可信区间,5.5% - -10.4%)和12.8%(95%可信区间,9.1% - -16.5%);在12个月(P < . 01), 7.5%(95%可信区间,4.8% - -10.1%)和11.6%(95%可信区间,9.4% - -13.8%);在60个月(P < . 01)和7.4%(95%可信区间,4.7% - -10.2%)和15.5%(95%可信区间,11% - -20%);P < 0.01)。成功组术前及随访3个月脂肪浸润未发生变化。治疗失败组较术前增加70% (P < 0.01),随访3个月后增加21% (P = 0.065)。成功和失败修复的临床结果相似,绝对CS为81±6对72±15 (P = 0.069),相对CS为94%±7%对85%±17% (P = 0.078)。结论:在5年的中期随访中,成功的RC修复与冈上肌质量的相关改善和脂肪浸润不变相关。然而,失败的修复只实现了冈上肌体积的轻度改善,并显示脂肪浸润恶化。
本文章由计算机程序翻译,如有差异,请以英文原文为准。
求助全文
约1分钟内获得全文 求助全文
来源期刊
CiteScore
9.30
自引率
12.50%
发文量
425
审稿时长
3 months
期刊介绍: An invaluable resource for the orthopaedic sports medicine community, _The American Journal of Sports Medicine_ is a peer-reviewed scientific journal, first published in 1972. It is the official publication of the [American Orthopaedic Society for Sports Medicine (AOSSM)](http://www.sportsmed.org/)! The journal acts as an important forum for independent orthopaedic sports medicine research and education, allowing clinical practitioners the ability to make decisions based on sound scientific information. This journal is a must-read for: * Orthopaedic Surgeons and Specialists * Sports Medicine Physicians * Physiatrists * Athletic Trainers * Team Physicians * And Physical Therapists
×
引用
GB/T 7714-2015
复制
MLA
复制
APA
复制
导出至
BibTeX EndNote RefMan NoteFirst NoteExpress
×
提示
您的信息不完整,为了账户安全,请先补充。
现在去补充
×
提示
您因"违规操作"
具体请查看互助需知
我知道了
×
提示
确定
请完成安全验证×
copy
已复制链接
快去分享给好友吧!
我知道了
右上角分享
点击右上角分享
0
联系我们:info@booksci.cn Book学术提供免费学术资源搜索服务,方便国内外学者检索中英文文献。致力于提供最便捷和优质的服务体验。 Copyright © 2023 布克学术 All rights reserved.
京ICP备2023020795号-1
ghs 京公网安备 11010802042870号
Book学术文献互助
Book学术文献互助群
群 号:604180095
Book学术官方微信