Comparison of calibration methods in the analysis of 2013 Brazilian National Health Survey data.

IF 2
Juliana Sena de Souza, Márcia Helena Barbian, Rodrigo Citton Padilha Dos Reis
{"title":"Comparison of calibration methods in the analysis of 2013 Brazilian National Health Survey data.","authors":"Juliana Sena de Souza, Márcia Helena Barbian, Rodrigo Citton Padilha Dos Reis","doi":"10.1590/1980-549720250005","DOIUrl":null,"url":null,"abstract":"<p><strong>Objective: </strong>This study aims to compare calibration methods for weights in the subsample of Laboratory Exams from the 2013 Brazilian National Health Survey (PNS), seeking to assess their representativeness and precision.</p><p><strong>Methods: </strong>Two alternative proposals for constructing calibrated weights were performed based on post-stratification and raking methods. A comparison between the weights provided for the Laboratory Exams subsample and the two suggested weights was conducted through parameter estimates using the 2013 PNS subsample data. Additionally, seven measures were used to assess the performance of the proposed weighting systems.</p><p><strong>Results: </strong>The alternative post-stratification and raking weights produced generalizable estimates for the target population of the 2013 PNS, while the original weights did not. The alternative methods showed similar performance to the original method, with a slight advantage for raking in some evaluation measures.</p><p><strong>Conclusion: </strong>It is recommended that basic design weights be documented and included in the public-use data files of the PNS. Furthermore, it is suggested to cross-reference information between the sample and subsample of the 2013 PNS to enable the exploration of methods such as data imputation, aiming to obtain more accurate and representative estimates. These improvements are essential to ensure the quality and usefulness of PNS data in epidemiological and public health studies.</p>","PeriodicalId":74697,"journal":{"name":"Revista brasileira de epidemiologia = Brazilian journal of epidemiology","volume":"28 ","pages":"e250005"},"PeriodicalIF":2.0000,"publicationDate":"2025-02-24","publicationTypes":"Journal Article","fieldsOfStudy":null,"isOpenAccess":false,"openAccessPdf":"https://www.ncbi.nlm.nih.gov/pmc/articles/PMC11849994/pdf/","citationCount":"0","resultStr":null,"platform":"Semanticscholar","paperid":null,"PeriodicalName":"Revista brasileira de epidemiologia = Brazilian journal of epidemiology","FirstCategoryId":"1085","ListUrlMain":"https://doi.org/10.1590/1980-549720250005","RegionNum":0,"RegionCategory":null,"ArticlePicture":[],"TitleCN":null,"AbstractTextCN":null,"PMCID":null,"EPubDate":"2025/1/1 0:00:00","PubModel":"eCollection","JCR":"","JCRName":"","Score":null,"Total":0}
引用次数: 0

Abstract

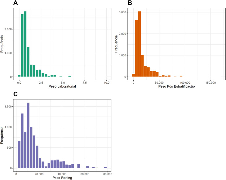
Objective: This study aims to compare calibration methods for weights in the subsample of Laboratory Exams from the 2013 Brazilian National Health Survey (PNS), seeking to assess their representativeness and precision.

Methods: Two alternative proposals for constructing calibrated weights were performed based on post-stratification and raking methods. A comparison between the weights provided for the Laboratory Exams subsample and the two suggested weights was conducted through parameter estimates using the 2013 PNS subsample data. Additionally, seven measures were used to assess the performance of the proposed weighting systems.

Results: The alternative post-stratification and raking weights produced generalizable estimates for the target population of the 2013 PNS, while the original weights did not. The alternative methods showed similar performance to the original method, with a slight advantage for raking in some evaluation measures.

Conclusion: It is recommended that basic design weights be documented and included in the public-use data files of the PNS. Furthermore, it is suggested to cross-reference information between the sample and subsample of the 2013 PNS to enable the exploration of methods such as data imputation, aiming to obtain more accurate and representative estimates. These improvements are essential to ensure the quality and usefulness of PNS data in epidemiological and public health studies.

Abstract Image

Abstract Image

2013年巴西国家健康调查数据分析中校准方法的比较。
目的:本研究旨在比较2013年巴西国家健康调查(PNS)实验室检查子样本中权重的校准方法,以评估其代表性和准确性。方法:基于后分层法和耙法,提出了两种构建校准权值的方案。通过使用2013年PNS子样本数据进行参数估计,将实验室考试子样本提供的权重与两个建议权重进行比较。此外,七个措施被用来评估所建议的加权系统的性能。结果:不同的分层后权重和加权后权重对2013年PNS的目标人群产生了一般化的估计,而原始权重则没有。替代方法表现出与原方法相似的性能,但在某些评价指标上略有优势。结论:建议将基本设计权重记录并纳入PNS的公共使用数据文件。此外,建议在2013年PNS样本和子样本之间交叉参考信息,探索数据插补等方法,以获得更准确和更具代表性的估计。这些改进对于确保流行病学和公共卫生研究中PNS数据的质量和有用性至关重要。
本文章由计算机程序翻译,如有差异,请以英文原文为准。
求助全文
约1分钟内获得全文 求助全文
来源期刊
自引率
0.00%
发文量
0
×
引用
GB/T 7714-2015
复制
MLA
复制
APA
复制
导出至
BibTeX EndNote RefMan NoteFirst NoteExpress
×
提示
您的信息不完整,为了账户安全,请先补充。
现在去补充
×
提示
您因"违规操作"
具体请查看互助需知
我知道了
×
提示
确定
请完成安全验证×
copy
已复制链接
快去分享给好友吧!
我知道了
右上角分享
点击右上角分享
0
联系我们:info@booksci.cn Book学术提供免费学术资源搜索服务,方便国内外学者检索中英文文献。致力于提供最便捷和优质的服务体验。 Copyright © 2023 布克学术 All rights reserved.
京ICP备2023020795号-1
ghs 京公网安备 11010802042870号
Book学术文献互助
Book学术文献互助群
群 号:604180095
Book学术官方微信