Examining avian influenza virus exposure in seabirds of the northwest Atlantic in 2022 and 2023 via antibodies in eggs.

IF 2.5 3区 环境科学与生态学 Q2 BIODIVERSITY CONSERVATION
Conservation Physiology Pub Date : 2025-02-24 eCollection Date: 2025-01-01 DOI:10.1093/conphys/coaf010
Angela McLaughlin, Jolene Giacinti, Sailendra Nath Sarma, Michael G C Brown, Robert A Ronconi, Raphaël A Lavoie, Margaret L Eng, Bridget Enright, Andrew S Lang, Ishraq Rahman, Jordan Wight, Kathryn E Hargan, Mark L Mallory, Julia E Baak, Megan Jones, Michelle Saunders, Reyd Dupuis-Smith, Kyle Elliott, H Grant Gilchrist, Holly Hennin, Magella Guillemette, Pauline Martigny, William Montevecchi, Aevar Petersen, Yohannes Berhane, Jennifer F Provencher
{"title":"Examining avian influenza virus exposure in seabirds of the northwest Atlantic in 2022 and 2023 via antibodies in eggs.","authors":"Angela McLaughlin, Jolene Giacinti, Sailendra Nath Sarma, Michael G C Brown, Robert A Ronconi, Raphaël A Lavoie, Margaret L Eng, Bridget Enright, Andrew S Lang, Ishraq Rahman, Jordan Wight, Kathryn E Hargan, Mark L Mallory, Julia E Baak, Megan Jones, Michelle Saunders, Reyd Dupuis-Smith, Kyle Elliott, H Grant Gilchrist, Holly Hennin, Magella Guillemette, Pauline Martigny, William Montevecchi, Aevar Petersen, Yohannes Berhane, Jennifer F Provencher","doi":"10.1093/conphys/coaf010","DOIUrl":null,"url":null,"abstract":"<p><p>Seabirds are frequently infected by avian influenza virus (AIV), which prior to 2021 primarily consisted of low-pathogenic AIV with limited reports of disease during infection. However, since highly pathogenic AIV (HPAIV) H5N1 clade 2.3.4.4b was introduced to North America in late 2021, HPAIV outbreaks in seabirds have occurred in multiple regions, with high levels of morbidity and mortality in many species. While monitoring active viral infections is critical for tracking disease burden, monitoring prior viral exposure via antibody detection in species that experienced large outbreaks is important for identifying individual- and population-level impacts of AIV on immunity and survival. We capitalized on ongoing egg collection programmes to assess the prevalence of antibodies against AIV nucleoprotein (NP) and hemagglutinin subtype 5 (H5) in 523 eggs collected in 2022 and 2023 from 11 seabird species that breed in the northwestern Atlantic, including primarily samples from eastern Canada and two from western Iceland. The prevalence of AIV antibodies in eggs varied across regions, species and years. American common eider (<i>Somateria mollissima dresseri</i>) eggs had the highest AIV antibody prevalence compared to sympatric species in 2023. Longitudinal samples were available for northern gannets (<i>Morus bassanus</i>) and American herring gulls (<i>Larus argentatus smithsoniansus</i>) at several sites, where the prevalence of anti-NP and anti-H5 antibodies increased from 2022 to 2023. Examining AIV antibody prevalence in seabird eggs can be a useful tool to investigate population-level AIV exposure, while we acknowledge our limited understanding of differential antibody waning rates and the relationship between titre and susceptibility.</p>","PeriodicalId":54331,"journal":{"name":"Conservation Physiology","volume":"13 1","pages":"coaf010"},"PeriodicalIF":2.5000,"publicationDate":"2025-02-24","publicationTypes":"Journal Article","fieldsOfStudy":null,"isOpenAccess":false,"openAccessPdf":"https://www.ncbi.nlm.nih.gov/pmc/articles/PMC11858004/pdf/","citationCount":"0","resultStr":null,"platform":"Semanticscholar","paperid":null,"PeriodicalName":"Conservation Physiology","FirstCategoryId":"93","ListUrlMain":"https://doi.org/10.1093/conphys/coaf010","RegionNum":3,"RegionCategory":"环境科学与生态学","ArticlePicture":[],"TitleCN":null,"AbstractTextCN":null,"PMCID":null,"EPubDate":"2025/1/1 0:00:00","PubModel":"eCollection","JCR":"Q2","JCRName":"BIODIVERSITY CONSERVATION","Score":null,"Total":0}
引用次数: 0

Abstract

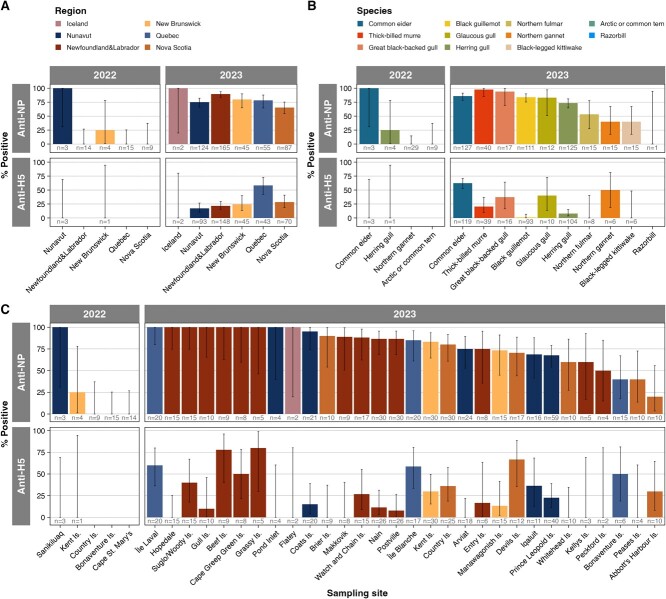
Seabirds are frequently infected by avian influenza virus (AIV), which prior to 2021 primarily consisted of low-pathogenic AIV with limited reports of disease during infection. However, since highly pathogenic AIV (HPAIV) H5N1 clade 2.3.4.4b was introduced to North America in late 2021, HPAIV outbreaks in seabirds have occurred in multiple regions, with high levels of morbidity and mortality in many species. While monitoring active viral infections is critical for tracking disease burden, monitoring prior viral exposure via antibody detection in species that experienced large outbreaks is important for identifying individual- and population-level impacts of AIV on immunity and survival. We capitalized on ongoing egg collection programmes to assess the prevalence of antibodies against AIV nucleoprotein (NP) and hemagglutinin subtype 5 (H5) in 523 eggs collected in 2022 and 2023 from 11 seabird species that breed in the northwestern Atlantic, including primarily samples from eastern Canada and two from western Iceland. The prevalence of AIV antibodies in eggs varied across regions, species and years. American common eider (Somateria mollissima dresseri) eggs had the highest AIV antibody prevalence compared to sympatric species in 2023. Longitudinal samples were available for northern gannets (Morus bassanus) and American herring gulls (Larus argentatus smithsoniansus) at several sites, where the prevalence of anti-NP and anti-H5 antibodies increased from 2022 to 2023. Examining AIV antibody prevalence in seabird eggs can be a useful tool to investigate population-level AIV exposure, while we acknowledge our limited understanding of differential antibody waning rates and the relationship between titre and susceptibility.

Abstract Image

Abstract Image

Abstract Image

通过卵中的抗体检测2022年和2023年西北大西洋海鸟的禽流感病毒暴露情况。
海鸟经常感染禽流感病毒(AIV),在2021年之前,主要由低致病性AIV组成,感染期间的疾病报告有限。然而,由于高致病性禽流感病毒(HPAIV) H5N1进化分支2.3.4.4b于2021年底传入北美,HPAIV在多个地区的海鸟中暴发,许多物种的发病率和死亡率都很高。虽然监测活动性病毒感染对于追踪疾病负担至关重要,但在经历过大规模疫情的物种中通过抗体检测监测先前的病毒暴露对于确定AIV对个体和群体免疫和生存的影响至关重要。我们利用正在进行的鸡蛋收集计划,评估了在2022年和2023年从西北大西洋繁殖的11种海鸟中收集的523个鸡蛋中抗AIV核蛋白(NP)和血凝素亚型5 (H5)抗体的流行程度,其中包括主要来自加拿大东部和两个来自冰岛西部的样本。卵中AIV抗体的流行率因地区、物种和年份而异。2023年美洲绒鸭(Somateria mollissima dresseri)卵与同域种相比抗体阳性率最高。北部塘鹅(Morus bassanus)和美洲银鸥(Larus argentatus smithsoniansus)在多个地点进行了纵向采样,从2022年到2023年,抗np和抗h5抗体的患病率有所增加。检测海鸟卵中的AIV抗体流行率可以作为调查人群水平AIV暴露的有用工具,但我们承认,我们对不同抗体衰减率以及滴度与易感性之间的关系的了解有限。
本文章由计算机程序翻译,如有差异,请以英文原文为准。
求助全文
约1分钟内获得全文 求助全文
来源期刊
Conservation Physiology
Conservation Physiology Environmental Science-Management, Monitoring, Policy and Law
CiteScore
5.10
自引率
3.70%
发文量
71
审稿时长
11 weeks
期刊介绍: Conservation Physiology is an online only, fully open access journal published on behalf of the Society for Experimental Biology. Biodiversity across the globe faces a growing number of threats associated with human activities. Conservation Physiology will publish research on all taxa (microbes, plants and animals) focused on understanding and predicting how organisms, populations, ecosystems and natural resources respond to environmental change and stressors. Physiology is considered in the broadest possible terms to include functional and mechanistic responses at all scales. We also welcome research towards developing and refining strategies to rebuild populations, restore ecosystems, inform conservation policy, and manage living resources. We define conservation physiology broadly and encourage potential authors to contact the editorial team if they have any questions regarding the remit of the journal.
×
引用
GB/T 7714-2015
复制
MLA
复制
APA
复制
导出至
BibTeX EndNote RefMan NoteFirst NoteExpress
×
提示
您的信息不完整,为了账户安全,请先补充。
现在去补充
×
提示
您因"违规操作"
具体请查看互助需知
我知道了
×
提示
确定
请完成安全验证×
copy
已复制链接
快去分享给好友吧!
我知道了
右上角分享
点击右上角分享
0
联系我们:info@booksci.cn Book学术提供免费学术资源搜索服务,方便国内外学者检索中英文文献。致力于提供最便捷和优质的服务体验。 Copyright © 2023 布克学术 All rights reserved.
京ICP备2023020795号-1
ghs 京公网安备 11010802042870号
Book学术文献互助
Book学术文献互助群
群 号:604180095
Book学术官方微信