Genomic Profiling of Extensive Stage Small-Cell Lung Cancer Patients Identifies Molecular Factors Associated with Survival.

IF 3.3 Q1 ONCOLOGY
Lung Cancer: Targets and Therapy Pub Date : 2025-02-20 eCollection Date: 2025-01-01 DOI:10.2147/LCTT.S492825
Matteo Canale, Milena Urbini, Elisabetta Petracci, Davide Angeli, Gianluca Tedaldi, Ilaria Priano, Paola Cravero, Michele Flospergher, Kalliopi Andrikou, Chiara Bennati, Davide Tassinari, Alessandra Dubini, Giulio Rossi, Riccardo Panzacchi, Mirca Valli, Giuseppe Bronte, Lucio Crinò, Angelo Delmonte, Paola Ulivi
{"title":"Genomic Profiling of Extensive Stage Small-Cell Lung Cancer Patients Identifies Molecular Factors Associated with Survival.","authors":"Matteo Canale, Milena Urbini, Elisabetta Petracci, Davide Angeli, Gianluca Tedaldi, Ilaria Priano, Paola Cravero, Michele Flospergher, Kalliopi Andrikou, Chiara Bennati, Davide Tassinari, Alessandra Dubini, Giulio Rossi, Riccardo Panzacchi, Mirca Valli, Giuseppe Bronte, Lucio Crinò, Angelo Delmonte, Paola Ulivi","doi":"10.2147/LCTT.S492825","DOIUrl":null,"url":null,"abstract":"<p><strong>Objective: </strong>Extensive stage Small-Cell Lung Cancer (ES-SCLC) is the most lethal lung cancer, and the addition of immunotherapy conferred a slight survival benefit for patients. Extensive molecular profiling of patients treated with chemotherapy (CT) or chemotherapy plus immunotherapy (CT+IO) would be able to identify molecular factors associated with patients' survival.</p><p><strong>Material and methods: </strong>In this retrospective study, 99 ES-SCLC patients were considered. Of the 79 includible patients, 42 received CT (median age 71 y/o, I-IIIQ: 65-76), and 37 received CT+IO (median age 71 y/o, I-IIIQ 66-75). The FoundationOne CDx assay was performed on patients' tumor tissues.</p><p><strong>Results: </strong>The most mutated genes were <i>TP53</i> (99%), <i>RB1</i> (78%), <i>PTEN</i> (23%) and <i>MLL2</i> (20%), with no significant differences between the treatment groups. As a continuous variable, Tumor Mutation Burden (TMB) had an effect on patients' progression-free survival (PFS) by type of treatment (HR 1.81 (95%, CI: 0.99-3.31) and HR 0.84 (95%, CI: 0.56-1.26) for patients treated with CT and CT+IO, respectively). TMB was also computed and dichotomized using two different cut-offs: considering cut-offs of 10 mut/Mb and >16 mut/Mb, 45 patients (57%) and 68 patients (86.1%) had a low TMB, respectively. A high TMB (cut-off 10 mut/Mb) predicted worse PFS in patients treated with CT (<i>p</i>=0.046); even though not statistically significant, a high TMB (cut-off 16 mut/Mb) predicted a better survival in patients treated with CT+IO. Moreover, at univariate analysis, <i>MLL2</i> mutations were associated with better prognosis in the overall case series (HR<sub>PFS</sub> = 0.51, 95% CI: 0.28-0.94), and overall survival (HR<sub>OS</sub> = 0.52, 95% CI: 0.28-0.97).</p><p><strong>Conclusion: </strong>In ES-SCLC, TMB is associated with worse survival in patients treated with CT alone, and with better survival in patients treated with CT+IO, whether considered as a continuous or a dichotomized variable, at different cut-offs. Alterations in epigenetic factors are also associated to better patient prognosis.</p>","PeriodicalId":18066,"journal":{"name":"Lung Cancer: Targets and Therapy","volume":"16 ","pages":"11-23"},"PeriodicalIF":3.3000,"publicationDate":"2025-02-20","publicationTypes":"Journal Article","fieldsOfStudy":null,"isOpenAccess":false,"openAccessPdf":"https://www.ncbi.nlm.nih.gov/pmc/articles/PMC11849429/pdf/","citationCount":"0","resultStr":null,"platform":"Semanticscholar","paperid":null,"PeriodicalName":"Lung Cancer: Targets and Therapy","FirstCategoryId":"1085","ListUrlMain":"https://doi.org/10.2147/LCTT.S492825","RegionNum":0,"RegionCategory":null,"ArticlePicture":[],"TitleCN":null,"AbstractTextCN":null,"PMCID":null,"EPubDate":"2025/1/1 0:00:00","PubModel":"eCollection","JCR":"Q1","JCRName":"ONCOLOGY","Score":null,"Total":0}
引用次数: 0

Abstract

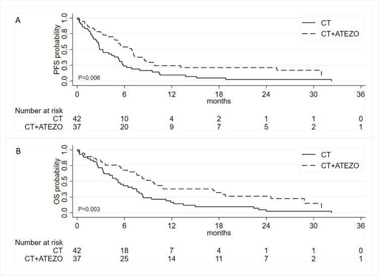
Objective: Extensive stage Small-Cell Lung Cancer (ES-SCLC) is the most lethal lung cancer, and the addition of immunotherapy conferred a slight survival benefit for patients. Extensive molecular profiling of patients treated with chemotherapy (CT) or chemotherapy plus immunotherapy (CT+IO) would be able to identify molecular factors associated with patients' survival.

Material and methods: In this retrospective study, 99 ES-SCLC patients were considered. Of the 79 includible patients, 42 received CT (median age 71 y/o, I-IIIQ: 65-76), and 37 received CT+IO (median age 71 y/o, I-IIIQ 66-75). The FoundationOne CDx assay was performed on patients' tumor tissues.

Results: The most mutated genes were TP53 (99%), RB1 (78%), PTEN (23%) and MLL2 (20%), with no significant differences between the treatment groups. As a continuous variable, Tumor Mutation Burden (TMB) had an effect on patients' progression-free survival (PFS) by type of treatment (HR 1.81 (95%, CI: 0.99-3.31) and HR 0.84 (95%, CI: 0.56-1.26) for patients treated with CT and CT+IO, respectively). TMB was also computed and dichotomized using two different cut-offs: considering cut-offs of 10 mut/Mb and >16 mut/Mb, 45 patients (57%) and 68 patients (86.1%) had a low TMB, respectively. A high TMB (cut-off 10 mut/Mb) predicted worse PFS in patients treated with CT (p=0.046); even though not statistically significant, a high TMB (cut-off 16 mut/Mb) predicted a better survival in patients treated with CT+IO. Moreover, at univariate analysis, MLL2 mutations were associated with better prognosis in the overall case series (HRPFS = 0.51, 95% CI: 0.28-0.94), and overall survival (HROS = 0.52, 95% CI: 0.28-0.97).

Conclusion: In ES-SCLC, TMB is associated with worse survival in patients treated with CT alone, and with better survival in patients treated with CT+IO, whether considered as a continuous or a dichotomized variable, at different cut-offs. Alterations in epigenetic factors are also associated to better patient prognosis.

Abstract Image

Abstract Image

Abstract Image

广泛分期小细胞肺癌患者的基因组分析确定与生存相关的分子因素。
目的:广泛期小细胞肺癌(ES-SCLC)是最致命的肺癌,免疫治疗的增加给患者带来了轻微的生存益处。对接受化疗(CT)或化疗加免疫治疗(CT+IO)的患者进行广泛的分子分析,将能够识别与患者生存相关的分子因素。材料和方法:本回顾性研究纳入99例ES-SCLC患者。在纳入的79例患者中,42例接受CT(中位年龄71岁,I-IIIQ: 65-76), 37例接受CT+IO(中位年龄71岁,I-IIIQ: 66-75)。在患者肿瘤组织中进行FoundationOne CDx检测。结果:TP53(99%)、RB1(78%)、PTEN(23%)和MLL2(20%)基因突变最多,治疗组间差异无统计学意义。作为一个连续变量,肿瘤突变负荷(Tumor Mutation Burden, TMB)对不同治疗类型患者的无进展生存期(PFS)有影响(CT和CT+IO治疗患者的HR分别为1.81 (95%,CI: 0.99-3.31)和0.84 (95%,CI: 0.56-1.26))。TMB还使用两种不同的截断值进行计算和二分类:考虑截断值为10 mut/Mb和16 mut/Mb,分别有45例(57%)和68例(86.1%)患者TMB较低。高TMB(截止值10 mut/Mb)预测CT治疗患者的PFS较差(p=0.046);尽管没有统计学意义,但高TMB(截止值16 mut/Mb)预示着接受CT+IO治疗的患者有更好的生存率。此外,在单因素分析中,MLL2突变与总体病例系列的更好预后(HRPFS = 0.51, 95% CI: 0.28-0.94)和总体生存(HROS = 0.52, 95% CI: 0.28-0.97)相关。结论:在ES-SCLC中,TMB与单独接受CT治疗的患者生存率较差相关,而与CT+IO治疗的患者生存率较好相关,无论是作为一个连续变量还是一个二分类变量,在不同的截止点。表观遗传因素的改变也与更好的患者预后有关。
本文章由计算机程序翻译,如有差异,请以英文原文为准。
求助全文
约1分钟内获得全文 求助全文
来源期刊
CiteScore
8.10
自引率
0.00%
发文量
10
审稿时长
16 weeks
×
引用
GB/T 7714-2015
复制
MLA
复制
APA
复制
导出至
BibTeX EndNote RefMan NoteFirst NoteExpress
×
提示
您的信息不完整,为了账户安全,请先补充。
现在去补充
×
提示
您因"违规操作"
具体请查看互助需知
我知道了
×
提示
确定
请完成安全验证×
copy
已复制链接
快去分享给好友吧!
我知道了
右上角分享
点击右上角分享
0
联系我们:info@booksci.cn Book学术提供免费学术资源搜索服务,方便国内外学者检索中英文文献。致力于提供最便捷和优质的服务体验。 Copyright © 2023 布克学术 All rights reserved.
京ICP备2023020795号-1
ghs 京公网安备 11010802042870号
Book学术文献互助
Book学术文献互助群
群 号:604180095
Book学术官方微信