A novel nomogram for predicting postoperative pneumonia risk in patients with localized bronchiectasis.

IF 3 3区 医学 Q2 RESPIRATORY SYSTEM
Cai Yongsheng, Ke Lihui, Hao Xuefeng, Qiao Anbang, Yang Xiaoxiao, Chen Wenhui, Li Weiqing, Yang Zeng, Wei Bo
{"title":"A novel nomogram for predicting postoperative pneumonia risk in patients with localized bronchiectasis.","authors":"Cai Yongsheng, Ke Lihui, Hao Xuefeng, Qiao Anbang, Yang Xiaoxiao, Chen Wenhui, Li Weiqing, Yang Zeng, Wei Bo","doi":"10.1177/17534666251320471","DOIUrl":null,"url":null,"abstract":"<p><strong>Background: </strong>Pneumonia is one of the most common complications after lung resection. However, there are currently no reports of postoperative pneumonia in patients with bronchiectasis.</p><p><strong>Objectives: </strong>Our study aims to construct a new nomogram to predict the risk of postoperative pneumonia in patients with localized bronchiectasis.</p><p><strong>Design: </strong>The clinical data of patients with localized bronchiectasis from April 2012 to August 2022 were retrospectively analyzed.</p><p><strong>Methods: </strong>Independent risk factors were identified through simple linear regression and multiple linear regression analysis, and a new nomogram was constructed based on independent risk factors. The validity of the nomogram was evaluated using the consistency index (C-index), receiver operating characteristic curve, calibration chart, and decision curve analysis chart.</p><p><strong>Results: </strong>The new nomogram prediction model included five independent risk factors: tuberculosis history, smoking history, platelet-lymphocyte ratio (PLR), diffusing capacity of the lung for carbon monoxide, and controlled nutritional status score. The area under the curve of the prediction model is 0.870 (95% CI: 0.750-0.892), showing good discrimination ability, and the probability threshold was set at 0.2013. In addition, the calibration curve shows that the nomogram has good calibration. In the decision curve, the nomogram model showed good clinical net benefit.</p><p><strong>Conclusion: </strong>This study is the first to construct a nomogram prediction model for postoperative pneumonia of localized bronchiectasis, which can more accurately and directly assess the risk probability of postoperative pneumonia, and provide certain help for clinicians in prevention and treatment decisions.</p>","PeriodicalId":22884,"journal":{"name":"Therapeutic Advances in Respiratory Disease","volume":"19 ","pages":"17534666251320471"},"PeriodicalIF":3.0000,"publicationDate":"2025-01-01","publicationTypes":"Journal Article","fieldsOfStudy":null,"isOpenAccess":false,"openAccessPdf":"https://www.ncbi.nlm.nih.gov/pmc/articles/PMC11848899/pdf/","citationCount":"0","resultStr":null,"platform":"Semanticscholar","paperid":null,"PeriodicalName":"Therapeutic Advances in Respiratory Disease","FirstCategoryId":"3","ListUrlMain":"https://doi.org/10.1177/17534666251320471","RegionNum":3,"RegionCategory":"医学","ArticlePicture":[],"TitleCN":null,"AbstractTextCN":null,"PMCID":null,"EPubDate":"","PubModel":"","JCR":"Q2","JCRName":"RESPIRATORY SYSTEM","Score":null,"Total":0}
引用次数: 0

Abstract

Background: Pneumonia is one of the most common complications after lung resection. However, there are currently no reports of postoperative pneumonia in patients with bronchiectasis.

Objectives: Our study aims to construct a new nomogram to predict the risk of postoperative pneumonia in patients with localized bronchiectasis.

Design: The clinical data of patients with localized bronchiectasis from April 2012 to August 2022 were retrospectively analyzed.

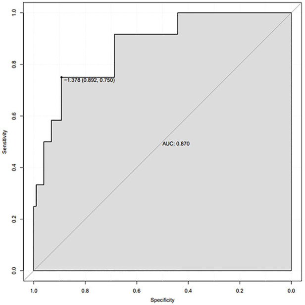
Methods: Independent risk factors were identified through simple linear regression and multiple linear regression analysis, and a new nomogram was constructed based on independent risk factors. The validity of the nomogram was evaluated using the consistency index (C-index), receiver operating characteristic curve, calibration chart, and decision curve analysis chart.

Results: The new nomogram prediction model included five independent risk factors: tuberculosis history, smoking history, platelet-lymphocyte ratio (PLR), diffusing capacity of the lung for carbon monoxide, and controlled nutritional status score. The area under the curve of the prediction model is 0.870 (95% CI: 0.750-0.892), showing good discrimination ability, and the probability threshold was set at 0.2013. In addition, the calibration curve shows that the nomogram has good calibration. In the decision curve, the nomogram model showed good clinical net benefit.

Conclusion: This study is the first to construct a nomogram prediction model for postoperative pneumonia of localized bronchiectasis, which can more accurately and directly assess the risk probability of postoperative pneumonia, and provide certain help for clinicians in prevention and treatment decisions.

Abstract Image

Abstract Image

Abstract Image

一种预测局限性支气管扩张患者术后肺炎风险的新nomogram。
背景:肺炎是肺切除术后最常见的并发症之一。然而,目前还没有关于支气管扩张患者术后肺炎的报道。目的:我们的研究旨在构建一种预测局限性支气管扩张患者术后肺炎风险的新图。设计:回顾性分析2012年4月至2022年8月收治的局限性支气管扩张患者的临床资料。方法:通过简单线性回归和多元线性回归分析,确定独立危险因素,并根据独立危险因素构建新的正态图。采用一致性指数(C-index)、受试者工作特征曲线、校正图和决策曲线分析图评价nomogram效度。结果:新的nomogram预测模型包括5个独立的危险因素:结核史、吸烟史、血小板-淋巴细胞比(PLR)、肺对一氧化碳的弥散能力和对照营养状况评分。预测模型曲线下面积为0.870 (95% CI: 0.750-0.892),判别能力较好,概率阈值设为0.2013。此外,标定曲线表明,该模态图具有良好的标定性。在决策曲线上,nomogram模型显示出良好的临床净收益。结论:本研究首次构建了局限性支气管扩张术后肺炎的nomogram预测模型,能更准确、直接地评估术后肺炎的发生风险概率,为临床医生的防治决策提供一定的帮助。
本文章由计算机程序翻译,如有差异,请以英文原文为准。
求助全文
约1分钟内获得全文 求助全文
来源期刊
CiteScore
6.90
自引率
0.00%
发文量
57
审稿时长
15 weeks
期刊介绍: Therapeutic Advances in Respiratory Disease delivers the highest quality peer-reviewed articles, reviews, and scholarly comment on pioneering efforts and innovative studies across all areas of respiratory disease.
×
引用
GB/T 7714-2015
复制
MLA
复制
APA
复制
导出至
BibTeX EndNote RefMan NoteFirst NoteExpress
×
提示
您的信息不完整,为了账户安全,请先补充。
现在去补充
×
提示
您因"违规操作"
具体请查看互助需知
我知道了
×
提示
确定
请完成安全验证×
copy
已复制链接
快去分享给好友吧!
我知道了
右上角分享
点击右上角分享
0
联系我们:info@booksci.cn Book学术提供免费学术资源搜索服务,方便国内外学者检索中英文文献。致力于提供最便捷和优质的服务体验。 Copyright © 2023 布克学术 All rights reserved.
京ICP备2023020795号-1
ghs 京公网安备 11010802042870号
Book学术文献互助
Book学术文献互助群
群 号:604180095
Book学术官方微信