Safety and efficacy of luspatercept in treating anemia associated with myelodysplastic syndrome with ring sideroblasts in Asian patients who require red blood cell transfusions: a phase II bridging study.

IF 3.1 3区 医学 Q2 HEMATOLOGY
Therapeutic Advances in Hematology Pub Date : 2025-02-20 eCollection Date: 2025-01-01 DOI:10.1177/20406207251321715
Chunkang Chang, Takahiro Suzuki, Yang Liang, Hongyan Tong, Kensuke Usuki, Qifa Liu, Yu Wu, Tomoaki Fujisaki, Bing Han, Ruibin Huang, Yasuyoshi Morita, Miao Miao, Yasuhiro Nakashima, Yu Olivia Tian, Jie Pu, Dimple Aggarwal, Veronika Pozharskaya, Wenhui Shi, Zhijian Xiao, Kinuko Mitani
{"title":"Safety and efficacy of luspatercept in treating anemia associated with myelodysplastic syndrome with ring sideroblasts in Asian patients who require red blood cell transfusions: a phase II bridging study.","authors":"Chunkang Chang, Takahiro Suzuki, Yang Liang, Hongyan Tong, Kensuke Usuki, Qifa Liu, Yu Wu, Tomoaki Fujisaki, Bing Han, Ruibin Huang, Yasuyoshi Morita, Miao Miao, Yasuhiro Nakashima, Yu Olivia Tian, Jie Pu, Dimple Aggarwal, Veronika Pozharskaya, Wenhui Shi, Zhijian Xiao, Kinuko Mitani","doi":"10.1177/20406207251321715","DOIUrl":null,"url":null,"abstract":"<p><strong>Background: </strong>Patients with lower-risk myelodysplastic syndromes (MDS) may experience anemia and a high transfusion burden, alongside a risk of progression to acute myeloid leukemia. Luspatercept, a recombinant fusion protein that acts as an erythroid maturation agent, was FDA/EMA-approved in 2020 based on the phase III MEDALIST trial. There remains an unmet need for anemia treatment in Asian patients for whom red blood cell (RBC) transfusion is a standard of care, and in whom rates/severity of anemia and serum erythropoietin levels are often higher versus Western patients.</p><p><strong>Objectives: </strong>The objective of this study was to assess the efficacy, safety, and tolerability of luspatercept in Asian patients with anemia due to transfusion-dependent lower-risk MDS with ring sideroblasts.</p><p><strong>Design: </strong>This was a phase II, single-arm, interventional bridging study (NCT04477850).</p><p><strong>Methods: </strong>Patients from China and Japan with very low-, low-, or intermediate-risk MDS with ring sideroblasts who were RBC transfusion-dependent received subcutaneous luspatercept starting at 1.0 mg/kg every 3 weeks. The primary endpoint was RBC transfusion independence (TI) ⩾8 weeks (weeks 1-24).</p><p><strong>Results: </strong>There was a statistically significant, clinically meaningful improvement of anemia in Asian patients; 60% (<i>n</i> = 18, <i>p</i> < 0.0001) achieved RBC-TI for ⩾8 weeks and 43% (<i>n</i> = 13) for ⩾12 weeks (weeks 1-24). Safety was consistent with the known profile of luspatercept in MDS.</p><p><strong>Conclusion: </strong>These results support luspatercept as a well-tolerated, efficacious alternative to transfusions for Asian patients with lower-risk MDS, who tend to have more severe anemia. <b><i>Trial registration</i>:</b> clinicaltrials.gov, NCT04477850.</p>","PeriodicalId":23048,"journal":{"name":"Therapeutic Advances in Hematology","volume":"16 ","pages":"20406207251321715"},"PeriodicalIF":3.1000,"publicationDate":"2025-02-20","publicationTypes":"Journal Article","fieldsOfStudy":null,"isOpenAccess":false,"openAccessPdf":"https://www.ncbi.nlm.nih.gov/pmc/articles/PMC11843707/pdf/","citationCount":"0","resultStr":null,"platform":"Semanticscholar","paperid":null,"PeriodicalName":"Therapeutic Advances in Hematology","FirstCategoryId":"3","ListUrlMain":"https://doi.org/10.1177/20406207251321715","RegionNum":3,"RegionCategory":"医学","ArticlePicture":[],"TitleCN":null,"AbstractTextCN":null,"PMCID":null,"EPubDate":"2025/1/1 0:00:00","PubModel":"eCollection","JCR":"Q2","JCRName":"HEMATOLOGY","Score":null,"Total":0}
引用次数: 0

Abstract

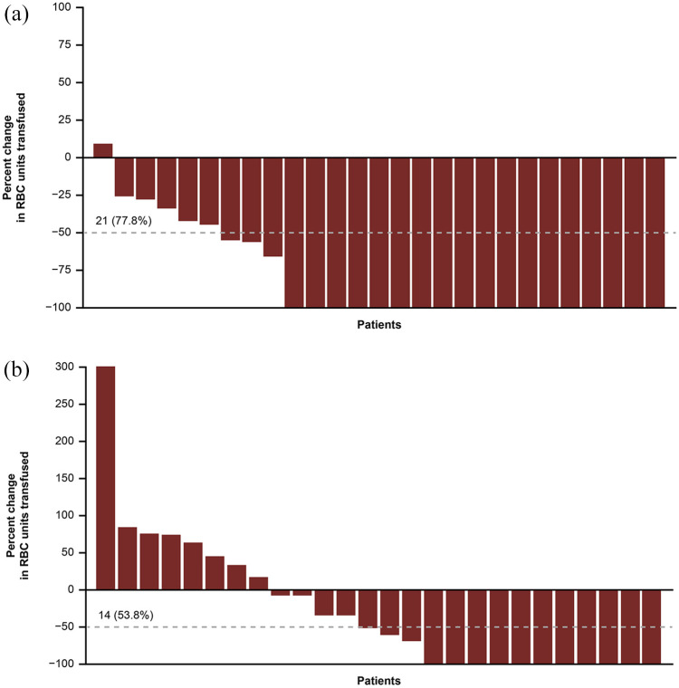
Background: Patients with lower-risk myelodysplastic syndromes (MDS) may experience anemia and a high transfusion burden, alongside a risk of progression to acute myeloid leukemia. Luspatercept, a recombinant fusion protein that acts as an erythroid maturation agent, was FDA/EMA-approved in 2020 based on the phase III MEDALIST trial. There remains an unmet need for anemia treatment in Asian patients for whom red blood cell (RBC) transfusion is a standard of care, and in whom rates/severity of anemia and serum erythropoietin levels are often higher versus Western patients.

Objectives: The objective of this study was to assess the efficacy, safety, and tolerability of luspatercept in Asian patients with anemia due to transfusion-dependent lower-risk MDS with ring sideroblasts.

Design: This was a phase II, single-arm, interventional bridging study (NCT04477850).

Methods: Patients from China and Japan with very low-, low-, or intermediate-risk MDS with ring sideroblasts who were RBC transfusion-dependent received subcutaneous luspatercept starting at 1.0 mg/kg every 3 weeks. The primary endpoint was RBC transfusion independence (TI) ⩾8 weeks (weeks 1-24).

Results: There was a statistically significant, clinically meaningful improvement of anemia in Asian patients; 60% (n = 18, p < 0.0001) achieved RBC-TI for ⩾8 weeks and 43% (n = 13) for ⩾12 weeks (weeks 1-24). Safety was consistent with the known profile of luspatercept in MDS.

Conclusion: These results support luspatercept as a well-tolerated, efficacious alternative to transfusions for Asian patients with lower-risk MDS, who tend to have more severe anemia. Trial registration: clinicaltrials.gov, NCT04477850.

Abstract Image

Abstract Image

Abstract Image

卢帕特罗治疗需要输注红细胞的亚洲患者骨髓增生异常综合征伴环形红细胞性贫血的安全性和疗效:II期桥接研究。
背景:低风险骨髓增生异常综合征(MDS)患者可能会出现贫血和高输血负担,同时有进展为急性髓系白血病的风险。Luspatercept是一种重组融合蛋白,作为红细胞成熟剂,基于III期MEDALIST试验,于2020年获得FDA/ ema批准。亚洲患者的贫血治疗需求仍未得到满足,对他们来说,红细胞(RBC)输血是一种标准的治疗方法,他们的贫血率/严重程度和血清促红细胞生成素水平往往高于西方患者。目的:本研究的目的是评估luspatercept在亚洲输血依赖性低风险MDS伴环状铁母细胞贫血患者中的疗效、安全性和耐受性。设计:这是一项II期单臂介入性桥接研究(NCT04477850)。方法:来自中国和日本的极低、低或中危MDS伴环状铁母细胞且红细胞输注依赖的患者接受每3周1.0 mg/kg的皮下luspatercept治疗。主要终点是RBC输血独立性(TI)大于或等于8周(1-24周)。结果:亚洲患者贫血的改善有统计学意义,具有临床意义;60% (n = 18, p < 0.0001)在小于或等于8周达到RBC-TI, 43% (n = 13)在小于或等于12周(1-24周)达到RBC-TI。安全性与luspatercept在MDS中的已知特征一致。结论:这些结果支持luspatercept作为一种耐受性良好、有效的替代输注的亚洲低风险MDS患者,他们往往有更严重的贫血。试验注册:clinicaltrials.gov, NCT04477850。
本文章由计算机程序翻译,如有差异,请以英文原文为准。
求助全文
约1分钟内获得全文 求助全文
来源期刊
CiteScore
4.30
自引率
0.00%
发文量
54
审稿时长
7 weeks
期刊介绍: Therapeutic Advances in Hematology delivers the highest quality peer-reviewed articles, reviews, and scholarly comment on pioneering efforts and innovative studies across all areas of hematology. The journal has a strong clinical and pharmacological focus and is aimed at clinicians and researchers in hematology, providing a forum in print and online for publishing the highest quality articles in this area.
×
引用
GB/T 7714-2015
复制
MLA
复制
APA
复制
导出至
BibTeX EndNote RefMan NoteFirst NoteExpress
×
提示
您的信息不完整,为了账户安全,请先补充。
现在去补充
×
提示
您因"违规操作"
具体请查看互助需知
我知道了
×
提示
确定
请完成安全验证×
copy
已复制链接
快去分享给好友吧!
我知道了
右上角分享
点击右上角分享
0
联系我们:info@booksci.cn Book学术提供免费学术资源搜索服务,方便国内外学者检索中英文文献。致力于提供最便捷和优质的服务体验。 Copyright © 2023 布克学术 All rights reserved.
京ICP备2023020795号-1
ghs 京公网安备 11010802042870号
Book学术文献互助
Book学术文献互助群
群 号:604180095
Book学术官方微信