Differences in sleep EEG coherence and spindle metrics in toddlers with and without receptive/expressive language delay: a prospective observational study.

IF 4 2区 医学 Q1 CLINICAL NEUROLOGY
Xinyi Hong, Cristan Farmer, Nataliia Kozhemiako, Gregory L Holmes, Lauren Thompson, Stacy Manwaring, Audrey Thurm, Ashura Buckley
{"title":"Differences in sleep EEG coherence and spindle metrics in toddlers with and without receptive/expressive language delay: a prospective observational study.","authors":"Xinyi Hong, Cristan Farmer, Nataliia Kozhemiako, Gregory L Holmes, Lauren Thompson, Stacy Manwaring, Audrey Thurm, Ashura Buckley","doi":"10.1186/s11689-024-09586-1","DOIUrl":null,"url":null,"abstract":"<p><strong>Background: </strong>Changes in brain connectivity during development are thought to reflect organizational and maturational processes that correspond to skill acquisition in domains like motor, language, and cognition. This theory is supported by findings in typically developing children as well as observations of abnormal connectivity among children with neurodevelopmental differences. However, few coherence studies have capitalized on the potential of sleep electroencephalogram (EEG) to examine the developing brain, especially among very young children for whom formal neurodevelopmental diagnosis is not yet possible. Sleep microarchitecture in young children may offer key insights into neurophysiological abnormalities associated with neurodevelopmental trajectories and potentially aid in early detection and intervention. In this study, we explored sleep EEG coherence and sleep spindles in typically developing toddlers and toddlers at increased risk of later neurodevelopmental diagnoses.</p><p><strong>Methods: </strong>We investigated EEG coherence and sleep spindles in 16 toddlers with receptive and expressive language delay (LangD) and 39 typically developing (TD) toddlers. Participants were aged 12-22 months at baseline, and 34 (LangD, n=11; TD, n=23) participants were evaluated again at 36 months of age.</p><p><strong>Results: </strong>Average EEG coherence was stronger in the LangD group than the TD group, with differences most prominent during slow-wave sleep. Some age-related increases in coherence were observed, but these did not differ between groups. Sleep spindle density, duration, and frequency changed between baseline and follow-up for both groups, with the LangD group demonstrating a smaller magnitude of change than the TD group. The direction of change was frequency band-dependent for both groups.</p><p><strong>Conclusions: </strong>These findings indicate that atypical sleep EEG connectivity and sleep spindle development can be detected in toddlers at risk of later neurodevelopmental diagnoses.</p><p><strong>Trial registration: </strong>https://clinicaltrials.gov/study/NCT01339767 ; Registration date: 4/20/2011.</p>","PeriodicalId":16530,"journal":{"name":"Journal of Neurodevelopmental Disorders","volume":"17 1","pages":"11"},"PeriodicalIF":4.0000,"publicationDate":"2025-02-22","publicationTypes":"Journal Article","fieldsOfStudy":null,"isOpenAccess":false,"openAccessPdf":"https://www.ncbi.nlm.nih.gov/pmc/articles/PMC11847392/pdf/","citationCount":"0","resultStr":null,"platform":"Semanticscholar","paperid":null,"PeriodicalName":"Journal of Neurodevelopmental Disorders","FirstCategoryId":"3","ListUrlMain":"https://doi.org/10.1186/s11689-024-09586-1","RegionNum":2,"RegionCategory":"医学","ArticlePicture":[],"TitleCN":null,"AbstractTextCN":null,"PMCID":null,"EPubDate":"","PubModel":"","JCR":"Q1","JCRName":"CLINICAL NEUROLOGY","Score":null,"Total":0}
引用次数: 0

Abstract

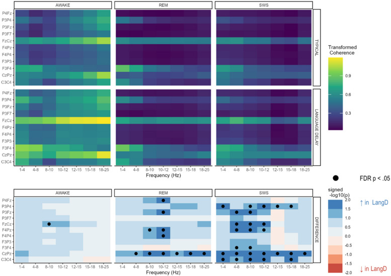
Background: Changes in brain connectivity during development are thought to reflect organizational and maturational processes that correspond to skill acquisition in domains like motor, language, and cognition. This theory is supported by findings in typically developing children as well as observations of abnormal connectivity among children with neurodevelopmental differences. However, few coherence studies have capitalized on the potential of sleep electroencephalogram (EEG) to examine the developing brain, especially among very young children for whom formal neurodevelopmental diagnosis is not yet possible. Sleep microarchitecture in young children may offer key insights into neurophysiological abnormalities associated with neurodevelopmental trajectories and potentially aid in early detection and intervention. In this study, we explored sleep EEG coherence and sleep spindles in typically developing toddlers and toddlers at increased risk of later neurodevelopmental diagnoses.

Methods: We investigated EEG coherence and sleep spindles in 16 toddlers with receptive and expressive language delay (LangD) and 39 typically developing (TD) toddlers. Participants were aged 12-22 months at baseline, and 34 (LangD, n=11; TD, n=23) participants were evaluated again at 36 months of age.

Results: Average EEG coherence was stronger in the LangD group than the TD group, with differences most prominent during slow-wave sleep. Some age-related increases in coherence were observed, but these did not differ between groups. Sleep spindle density, duration, and frequency changed between baseline and follow-up for both groups, with the LangD group demonstrating a smaller magnitude of change than the TD group. The direction of change was frequency band-dependent for both groups.

Conclusions: These findings indicate that atypical sleep EEG connectivity and sleep spindle development can be detected in toddlers at risk of later neurodevelopmental diagnoses.

Trial registration: https://clinicaltrials.gov/study/NCT01339767 ; Registration date: 4/20/2011.

Abstract Image

Abstract Image

Abstract Image

有和没有接受/表达性语言延迟的幼儿睡眠脑电图一致性和纺锤体指标的差异:一项前瞻性观察研究。
背景:在发育过程中,大脑连通性的变化被认为反映了与运动、语言和认知等领域的技能习得相对应的组织和成熟过程。这一理论得到了对正常发育儿童的研究结果以及对神经发育差异儿童的异常连接的观察的支持。然而,很少有连贯性研究利用睡眠脑电图(EEG)的潜力来检查发育中的大脑,特别是在尚未可能进行正式神经发育诊断的非常年幼的儿童中。幼儿睡眠微结构可能为与神经发育轨迹相关的神经生理异常提供关键见解,并可能有助于早期发现和干预。在这项研究中,我们探讨了正常发育幼儿和后期神经发育诊断风险增加的幼儿的睡眠脑电图一致性和睡眠纺锤波。方法:对16例接受性和表达性语言迟缓(LangD)幼儿和39例正常发育(TD)幼儿的脑电图一致性和睡眠纺锤波进行研究。受试者基线年龄为12-22个月,34个月(lang, n=11;TD, n=23)参与者在36个月大时再次进行评估。结果:LangD组平均脑电相干性强于TD组,且在慢波睡眠时差异最为显著。观察到一些与年龄相关的连贯性增加,但这些在各组之间没有差异。在基线和随访期间,两组的睡眠纺锤体密度、持续时间和频率都发生了变化,lang组的变化幅度小于TD组。两组的变化方向均与频带相关。结论:这些发现表明,非典型睡眠脑电图连通性和睡眠纺锤体发育可以在有后期神经发育诊断风险的幼儿中检测到。试验注册:https://clinicaltrials.gov/study/NCT01339767;报名日期:2011年4月20日。
本文章由计算机程序翻译,如有差异,请以英文原文为准。
求助全文
约1分钟内获得全文 求助全文
来源期刊
CiteScore
7.60
自引率
4.10%
发文量
58
审稿时长
>12 weeks
期刊介绍: Journal of Neurodevelopmental Disorders is an open access journal that integrates current, cutting-edge research across a number of disciplines, including neurobiology, genetics, cognitive neuroscience, psychiatry and psychology. The journal’s primary focus is on the pathogenesis of neurodevelopmental disorders including autism, fragile X syndrome, tuberous sclerosis, Turner Syndrome, 22q Deletion Syndrome, Prader-Willi and Angelman Syndrome, Williams syndrome, lysosomal storage diseases, dyslexia, specific language impairment and fetal alcohol syndrome. With the discovery of specific genes underlying neurodevelopmental syndromes, the emergence of powerful tools for studying neural circuitry, and the development of new approaches for exploring molecular mechanisms, interdisciplinary research on the pathogenesis of neurodevelopmental disorders is now increasingly common. Journal of Neurodevelopmental Disorders provides a unique venue for researchers interested in comparing and contrasting mechanisms and characteristics related to the pathogenesis of the full range of neurodevelopmental disorders, sharpening our understanding of the etiology and relevant phenotypes of each condition.
×
引用
GB/T 7714-2015
复制
MLA
复制
APA
复制
导出至
BibTeX EndNote RefMan NoteFirst NoteExpress
×
提示
您的信息不完整,为了账户安全,请先补充。
现在去补充
×
提示
您因"违规操作"
具体请查看互助需知
我知道了
×
提示
确定
请完成安全验证×
copy
已复制链接
快去分享给好友吧!
我知道了
右上角分享
点击右上角分享
0
联系我们:info@booksci.cn Book学术提供免费学术资源搜索服务,方便国内外学者检索中英文文献。致力于提供最便捷和优质的服务体验。 Copyright © 2023 布克学术 All rights reserved.
京ICP备2023020795号-1
ghs 京公网安备 11010802042870号
Book学术文献互助
Book学术文献互助群
群 号:604180095
Book学术官方微信