Predicting Danish EQ-5D-5L Utilities Based on United Kingdom EQ-5D-3L Utilities for Use in Health Economic Models.

IF 2.1 Q2 ECONOMICS
PharmacoEconomics Open Pub Date : 2025-05-01 Epub Date: 2025-02-22 DOI:10.1007/s41669-025-00562-6
Einar B Torkilseng, Nathan Clarke, Liza Sopina, Lars Oddershede, Rasmus Trap Wolf, Rachael Lawrance, Andrew Trigg, Bryan Bennett, James W Shaw
{"title":"Predicting Danish EQ-5D-5L Utilities Based on United Kingdom EQ-5D-3L Utilities for Use in Health Economic Models.","authors":"Einar B Torkilseng, Nathan Clarke, Liza Sopina, Lars Oddershede, Rasmus Trap Wolf, Rachael Lawrance, Andrew Trigg, Bryan Bennett, James W Shaw","doi":"10.1007/s41669-025-00562-6","DOIUrl":null,"url":null,"abstract":"<p><strong>Objectives: </strong>Since 2021, the Danish Medicines Council recommends the use of the Danish EQ-5D-5L value set when estimating utilities. The aim of this research was to develop and validate an algorithm that can accurately predict mean Danish EQ-5D-5L utilities based on published mean UK EQ-5D-3L utilities.</p><p><strong>Methods: </strong>The study design incorporated a secondary analysis of patient-level UK EQ-5D-3L utility index scores from 11 oncology clinical trials. The EQ-5D-3L responses were mapped to EQ-5D-5L responses with the van Hout and Shaw preferred mapping algorithm. Model fitting and internal cross-validation were completed on a pooled dataset formed from eight trials including a total of 30,755 EQ-5D-3L responses. Three other trials were used for external validation (21,587 EQ-5D-3L observations).</p><p><strong>Results: </strong>From the model fitting phase, a simple linear model for mean utility scores exhibited good fit and was selected as the optimal prediction algorithm. External validation using the algorithm to predict mean Danish EQ-5D-5L utilities was excellent, with the largest absolute prediction error being 0.020 (observed UK EQ-5D-3L means: 0.628-0.835).</p><p><strong>Conclusions: </strong>The prediction algorithm developed in this research can increase analysts' ability to apply utilities aligned with the Danish EQ-5D-5L value set and guideline recommendations, reducing decision uncertainty. Many health technology assessment (HTA) institutions are transitioning from the EQ-5D-3L to the EQ-5D-5L in the coming years; therefore, prediction algorithms are likely of interest to additional HTA institutions in the near future. This study can provide a blueprint for future studies.</p>","PeriodicalId":19770,"journal":{"name":"PharmacoEconomics Open","volume":" ","pages":"433-443"},"PeriodicalIF":2.1000,"publicationDate":"2025-05-01","publicationTypes":"Journal Article","fieldsOfStudy":null,"isOpenAccess":false,"openAccessPdf":"https://www.ncbi.nlm.nih.gov/pmc/articles/PMC12037449/pdf/","citationCount":"0","resultStr":null,"platform":"Semanticscholar","paperid":null,"PeriodicalName":"PharmacoEconomics Open","FirstCategoryId":"1085","ListUrlMain":"https://doi.org/10.1007/s41669-025-00562-6","RegionNum":0,"RegionCategory":null,"ArticlePicture":[],"TitleCN":null,"AbstractTextCN":null,"PMCID":null,"EPubDate":"2025/2/22 0:00:00","PubModel":"Epub","JCR":"Q2","JCRName":"ECONOMICS","Score":null,"Total":0}
引用次数: 0

Abstract

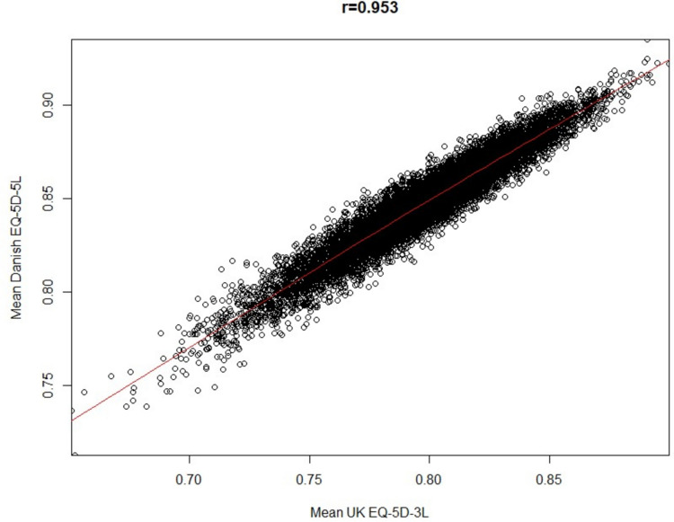
Objectives: Since 2021, the Danish Medicines Council recommends the use of the Danish EQ-5D-5L value set when estimating utilities. The aim of this research was to develop and validate an algorithm that can accurately predict mean Danish EQ-5D-5L utilities based on published mean UK EQ-5D-3L utilities.

Methods: The study design incorporated a secondary analysis of patient-level UK EQ-5D-3L utility index scores from 11 oncology clinical trials. The EQ-5D-3L responses were mapped to EQ-5D-5L responses with the van Hout and Shaw preferred mapping algorithm. Model fitting and internal cross-validation were completed on a pooled dataset formed from eight trials including a total of 30,755 EQ-5D-3L responses. Three other trials were used for external validation (21,587 EQ-5D-3L observations).

Results: From the model fitting phase, a simple linear model for mean utility scores exhibited good fit and was selected as the optimal prediction algorithm. External validation using the algorithm to predict mean Danish EQ-5D-5L utilities was excellent, with the largest absolute prediction error being 0.020 (observed UK EQ-5D-3L means: 0.628-0.835).

Conclusions: The prediction algorithm developed in this research can increase analysts' ability to apply utilities aligned with the Danish EQ-5D-5L value set and guideline recommendations, reducing decision uncertainty. Many health technology assessment (HTA) institutions are transitioning from the EQ-5D-3L to the EQ-5D-5L in the coming years; therefore, prediction algorithms are likely of interest to additional HTA institutions in the near future. This study can provide a blueprint for future studies.

Abstract Image

Abstract Image

Abstract Image

基于英国EQ-5D-3L用于卫生经济模型的效用预测丹麦EQ-5D-5L效用
目标:自2021年起,丹麦药品委员会建议在估算效用时使用丹麦EQ-5D-5L值集。本研究的目的是开发和验证一种算法,该算法可以根据已公布的英国平均EQ-5D-3L公用事业准确预测丹麦平均EQ-5D-5L公用事业。方法:研究设计纳入了11项肿瘤学临床试验中患者水平的英国EQ-5D-3L效用指数评分的二次分析。采用van Hout和Shaw首选映射算法将EQ-5D-3L反应映射到EQ-5D-5L反应。模型拟合和内部交叉验证由8个试验组成,包括总共30,755个EQ-5D-3L反应。另外三个试验用于外部验证(21,587个EQ-5D-3L观察)。结果:在模型拟合阶段,平均效用分数的简单线性模型拟合良好,被选为最优预测算法。使用该算法预测丹麦EQ-5D-5L平均效用的外部验证非常出色,最大绝对预测误差为0.020(观察到的英国EQ-5D-3L平均值:0.628-0.835)。结论:本研究开发的预测算法可以提高分析师应用与丹麦EQ-5D-5L值集和指南建议一致的效用的能力,减少决策的不确定性。未来几年,许多卫生技术评估(HTA)机构正在从EQ-5D-3L向EQ-5D-5L过渡;因此,在不久的将来,更多的HTA机构可能会对预测算法感兴趣。本研究可为今后的研究提供一个蓝本。
本文章由计算机程序翻译,如有差异,请以英文原文为准。
求助全文
约1分钟内获得全文 求助全文
来源期刊
CiteScore
3.50
自引率
0.00%
发文量
64
审稿时长
8 weeks
期刊介绍: PharmacoEconomics - Open focuses on applied research on the economic implications and health outcomes associated with drugs, devices and other healthcare interventions. The journal includes, but is not limited to, the following research areas:Economic analysis of healthcare interventionsHealth outcomes researchCost-of-illness studiesQuality-of-life studiesAdditional digital features (including animated abstracts, video abstracts, slide decks, audio slides, instructional videos, infographics, podcasts and animations) can be published with articles; these are designed to increase the visibility, readership and educational value of the journal’s content. In addition, articles published in PharmacoEconomics -Open may be accompanied by plain language summaries to assist readers who have some knowledge of, but not in-depth expertise in, the area to understand important medical advances.All manuscripts are subject to peer review by international experts. Letters to the Editor are welcomed and will be considered for publication.
×
引用
GB/T 7714-2015
复制
MLA
复制
APA
复制
导出至
BibTeX EndNote RefMan NoteFirst NoteExpress
×
提示
您的信息不完整,为了账户安全,请先补充。
现在去补充
×
提示
您因"违规操作"
具体请查看互助需知
我知道了
×
提示
确定
请完成安全验证×
copy
已复制链接
快去分享给好友吧!
我知道了
右上角分享
点击右上角分享
0
联系我们:info@booksci.cn Book学术提供免费学术资源搜索服务,方便国内外学者检索中英文文献。致力于提供最便捷和优质的服务体验。 Copyright © 2023 布克学术 All rights reserved.
京ICP备2023020795号-1
ghs 京公网安备 11010802042870号
Book学术文献互助
Book学术文献互助群
群 号:604180095
Book学术官方微信