Development and internal validation of a predictive model of overall and progression-free survival in eribulin-treated patients with breast cancer based on baseline peripheral blood parameters.

IF 2.9 3区 医学 Q1 OBSTETRICS & GYNECOLOGY
Breast Cancer Pub Date : 2025-05-01 Epub Date: 2025-02-20 DOI:10.1007/s12282-025-01678-7
Keiko Natori, Masataka Igeta, Takashi Morimoto, Masayuki Nagahashi, Sadako Akashi-Tanaka, Takashi Daimon, Yasuo Miyoshi
{"title":"Development and internal validation of a predictive model of overall and progression-free survival in eribulin-treated patients with breast cancer based on baseline peripheral blood parameters.","authors":"Keiko Natori, Masataka Igeta, Takashi Morimoto, Masayuki Nagahashi, Sadako Akashi-Tanaka, Takashi Daimon, Yasuo Miyoshi","doi":"10.1007/s12282-025-01678-7","DOIUrl":null,"url":null,"abstract":"<p><strong>Background: </strong>Immune and inflammatory blood parameters have been reported as biomarkers for treatment efficacy. This study aimed to establish a predictive model that includes blood parameters for patients with metastatic breast cancer treated with eribulin.</p><p><strong>Methods: </strong>A total of 297 patients were enrolled, and their baseline neutrophil-to-lymphocyte ratio, absolute lymphocyte count (ALC), platelet-to-lymphocyte ratio (PLR), prognostic nutritional index (PNI), lymphocyte-to-monocyte ratio (LMR), lactate dehydrogenase (LDH), C-reactive protein (CRP), and clinical data were retrospectively collected.</p><p><strong>Results: </strong>We constructed nomograms to predict overall survival (OS) and progression-free survival (PFS) using blood parameters, including clinical factors. For OS, menopausal status, hormone receptor status, HER2 status, de novo or recurrent, metastatic site, treatment line, ALC, PLR, PNI, LMR, LDH, and CRP were selected to predict the model. We used menopausal status, hormone receptor status, HER2 status, treatment line, PLR, LMR, LDH, and CRP to predict PFS. Both the OS and PFS of patients according to the risk scores were significantly different (p < 0.001). The optimism-corrected C-indices of the nomograms for OS and PFS were 0.680 and 0.622, respectively. The mean time-dependent area under the receiver operating curve values for OS at 1, 2, and 3 years were 0.752, 0.761, and 0.784, respectively, and for PFS at 3, 6, and 12 months were 0.660, 0.661, and 0.650, respectively.</p><p><strong>Conclusion: </strong>Nomograms incorporating peripheral blood parameters may improve the accuracy of predicting OS and PFS in patients treated with eribulin. Our prediction model may help decision-making for breast cancer patients who are considering eribulin treatment.</p>","PeriodicalId":56083,"journal":{"name":"Breast Cancer","volume":" ","pages":"500-511"},"PeriodicalIF":2.9000,"publicationDate":"2025-05-01","publicationTypes":"Journal Article","fieldsOfStudy":null,"isOpenAccess":false,"openAccessPdf":"https://www.ncbi.nlm.nih.gov/pmc/articles/PMC11993485/pdf/","citationCount":"0","resultStr":null,"platform":"Semanticscholar","paperid":null,"PeriodicalName":"Breast Cancer","FirstCategoryId":"3","ListUrlMain":"https://doi.org/10.1007/s12282-025-01678-7","RegionNum":3,"RegionCategory":"医学","ArticlePicture":[],"TitleCN":null,"AbstractTextCN":null,"PMCID":null,"EPubDate":"2025/2/20 0:00:00","PubModel":"Epub","JCR":"Q1","JCRName":"OBSTETRICS & GYNECOLOGY","Score":null,"Total":0}
引用次数: 0

Abstract

Background: Immune and inflammatory blood parameters have been reported as biomarkers for treatment efficacy. This study aimed to establish a predictive model that includes blood parameters for patients with metastatic breast cancer treated with eribulin.

Methods: A total of 297 patients were enrolled, and their baseline neutrophil-to-lymphocyte ratio, absolute lymphocyte count (ALC), platelet-to-lymphocyte ratio (PLR), prognostic nutritional index (PNI), lymphocyte-to-monocyte ratio (LMR), lactate dehydrogenase (LDH), C-reactive protein (CRP), and clinical data were retrospectively collected.

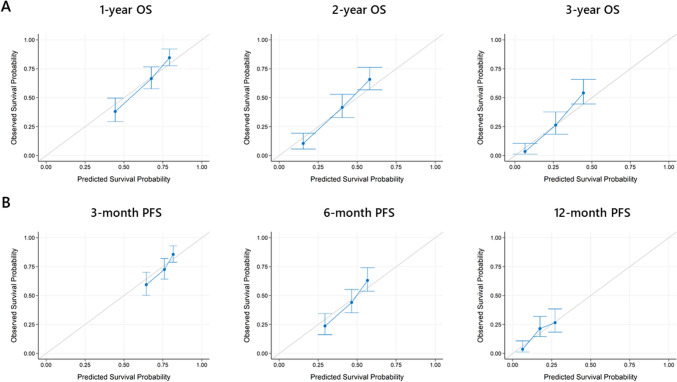
Results: We constructed nomograms to predict overall survival (OS) and progression-free survival (PFS) using blood parameters, including clinical factors. For OS, menopausal status, hormone receptor status, HER2 status, de novo or recurrent, metastatic site, treatment line, ALC, PLR, PNI, LMR, LDH, and CRP were selected to predict the model. We used menopausal status, hormone receptor status, HER2 status, treatment line, PLR, LMR, LDH, and CRP to predict PFS. Both the OS and PFS of patients according to the risk scores were significantly different (p < 0.001). The optimism-corrected C-indices of the nomograms for OS and PFS were 0.680 and 0.622, respectively. The mean time-dependent area under the receiver operating curve values for OS at 1, 2, and 3 years were 0.752, 0.761, and 0.784, respectively, and for PFS at 3, 6, and 12 months were 0.660, 0.661, and 0.650, respectively.

Conclusion: Nomograms incorporating peripheral blood parameters may improve the accuracy of predicting OS and PFS in patients treated with eribulin. Our prediction model may help decision-making for breast cancer patients who are considering eribulin treatment.

Abstract Image

Abstract Image

Abstract Image

基于基线外周血参数的布林治疗乳腺癌患者总生存期和无进展生存期预测模型的开发和内部验证。
背景:免疫和炎症性血液参数已被报道为治疗疗效的生物标志物。本研究旨在建立一个包括血液参数的预测模型,用于转移性乳腺癌患者接受伊瑞布林治疗。方法:共纳入297例患者,回顾性收集其基线中性粒细胞与淋巴细胞比值、绝对淋巴细胞计数(ALC)、血小板与淋巴细胞比值(PLR)、预后营养指数(PNI)、淋巴细胞与单核细胞比值(LMR)、乳酸脱氢酶(LDH)、c反应蛋白(CRP)及临床资料。结果:我们构建了nomogram来预测包括临床因素在内的血液参数的总生存期(OS)和无进展生存期(PFS)。对于OS,选择绝经状态、激素受体状态、HER2状态、新生或复发、转移部位、治疗线、ALC、PLR、PNI、LMR、LDH和CRP来预测模型。我们使用绝经状态、激素受体状态、HER2状态、治疗线、PLR、LMR、LDH和CRP来预测PFS。结论:结合外周血参数的nomogram预测eribulin治疗患者的OS和PFS的准确性较高。我们的预测模型可能有助于乳腺癌患者的决策谁正在考虑伊瑞布林治疗。
本文章由计算机程序翻译,如有差异,请以英文原文为准。
求助全文
约1分钟内获得全文 求助全文
来源期刊
Breast Cancer
Breast Cancer ONCOLOGY-OBSTETRICS & GYNECOLOGY
CiteScore
6.70
自引率
2.50%
发文量
105
审稿时长
6-12 weeks
期刊介绍: Breast Cancer, the official journal of the Japanese Breast Cancer Society, publishes articles that contribute to progress in the field, in basic or translational research and also in clinical research, seeking to develop a new focus and new perspectives for all who are concerned with breast cancer. The journal welcomes all original articles describing clinical and epidemiological studies and laboratory investigations regarding breast cancer and related diseases. The journal will consider five types of articles: editorials, review articles, original articles, case reports, and rapid communications. Although editorials and review articles will principally be solicited by the editors, they can also be submitted for peer review, as in the case of original articles. The journal provides the best of up-to-date information on breast cancer, presenting readers with high-impact, original work focusing on pivotal issues.
×
引用
GB/T 7714-2015
复制
MLA
复制
APA
复制
导出至
BibTeX EndNote RefMan NoteFirst NoteExpress
×
提示
您的信息不完整,为了账户安全,请先补充。
现在去补充
×
提示
您因"违规操作"
具体请查看互助需知
我知道了
×
提示
确定
请完成安全验证×
copy
已复制链接
快去分享给好友吧!
我知道了
右上角分享
点击右上角分享
0
联系我们:info@booksci.cn Book学术提供免费学术资源搜索服务,方便国内外学者检索中英文文献。致力于提供最便捷和优质的服务体验。 Copyright © 2023 布克学术 All rights reserved.
京ICP备2023020795号-1
ghs 京公网安备 11010802042870号
Book学术文献互助
Book学术文献互助群
群 号:604180095
Book学术官方微信