The triglyceride-glucose index and acute kidney injury risk in critically ill patients with coronary artery disease.

IF 3 3区 医学 Q1 UROLOGY & NEPHROLOGY
Renal Failure Pub Date : 2025-12-01 Epub Date: 2025-02-19 DOI:10.1080/0886022X.2025.2466818
Yi Zhang, Gang Li, Junjie Li, Bohao Jian, Keke Wang, Jiantao Chen, Jian Hou, Jianbo Liao, Zhuoming Zhou, Zhongkai Wu, Mengya Liang
{"title":"The triglyceride-glucose index and acute kidney injury risk in critically ill patients with coronary artery disease.","authors":"Yi Zhang, Gang Li, Junjie Li, Bohao Jian, Keke Wang, Jiantao Chen, Jian Hou, Jianbo Liao, Zhuoming Zhou, Zhongkai Wu, Mengya Liang","doi":"10.1080/0886022X.2025.2466818","DOIUrl":null,"url":null,"abstract":"<p><strong>Background: </strong>The triglyceride-glucose (TyG) index, proven a reliable and simple surrogate of insulin resistance, has shown potential associations with cardiovascular outcomes and renal diseases. This research delved into the utility of the TyG index in predicting the risk of acute kidney injury (AKI) in patients with coronary artery disease (CAD), an area not extensively covered in existing literature.</p><p><strong>Methods: </strong>A cohort of patients with CAD was recruited from the Medical Information Mart for Intensive Care-IV database, and categorized into quartiles based on their TyG index. The primary outcome was AKI incidence, and the secondary outcome was renal replacement therapy (RRT). Scatterplot histograms, cox proportional hazards models, Kaplan-Meier survival curves, and restricted cubic splines were employed to investigate the association between the TyG index and the risk of AKI in patients with CAD.</p><p><strong>Results: </strong>A total of 1,501 patients were enrolled in this study, predominantly male (61.56%), with a median age of 69.80 years. The AKI incidence was 67.22% among all patients, with the AKI stages increased with higher TyG levels (<i>P</i> for trend <0.001). The Kaplan-Meier survival analyses demonstrated statistically significant differences in AKI incidence and RRT application throughout the entire cohort, stratified by the TyG index quartiles (<i>p</i> < 0.001). Additionally, the restricted cubic spline analysis revealed a non-linear association between the TyG index and the risk of AKI (<i>P</i> for non-linear =0.637). Both multivariate Cox proportional hazards analyses (HR 1.62; 95% CI 1.15-2.27; <i>p</i> = 0.005) and multivariate logistic regression analyses (OR 2.16; 95% CI 1.18-3.94; <i>p</i> = 0.012) showed that the elevated TyG index was significantly related to AKI incidence. The association between TyG index and the risk of AKI is more significant in patients without diabetes (HR 1.27; 95% CI 1.14-1.42; <i>p</i> < 0.001), compared to patients with diabetes (<i>P</i> for interaction =0.013).</p><p><strong>Conclusions: </strong>In summary, the TyG index emerged as a reliable predictor for the occurrence of AKI in CAD patients during ICU stay. Furthermore, it is also anticipated to serve as a valuable indicator for non-diabetic patients in predicting the incidence of AKI.</p>","PeriodicalId":20839,"journal":{"name":"Renal Failure","volume":"47 1","pages":"2466818"},"PeriodicalIF":3.0000,"publicationDate":"2025-12-01","publicationTypes":"Journal Article","fieldsOfStudy":null,"isOpenAccess":false,"openAccessPdf":"https://www.ncbi.nlm.nih.gov/pmc/articles/PMC11843639/pdf/","citationCount":"0","resultStr":null,"platform":"Semanticscholar","paperid":null,"PeriodicalName":"Renal Failure","FirstCategoryId":"3","ListUrlMain":"https://doi.org/10.1080/0886022X.2025.2466818","RegionNum":3,"RegionCategory":"医学","ArticlePicture":[],"TitleCN":null,"AbstractTextCN":null,"PMCID":null,"EPubDate":"2025/2/19 0:00:00","PubModel":"Epub","JCR":"Q1","JCRName":"UROLOGY & NEPHROLOGY","Score":null,"Total":0}
引用次数: 0

Abstract

Background: The triglyceride-glucose (TyG) index, proven a reliable and simple surrogate of insulin resistance, has shown potential associations with cardiovascular outcomes and renal diseases. This research delved into the utility of the TyG index in predicting the risk of acute kidney injury (AKI) in patients with coronary artery disease (CAD), an area not extensively covered in existing literature.

Methods: A cohort of patients with CAD was recruited from the Medical Information Mart for Intensive Care-IV database, and categorized into quartiles based on their TyG index. The primary outcome was AKI incidence, and the secondary outcome was renal replacement therapy (RRT). Scatterplot histograms, cox proportional hazards models, Kaplan-Meier survival curves, and restricted cubic splines were employed to investigate the association between the TyG index and the risk of AKI in patients with CAD.

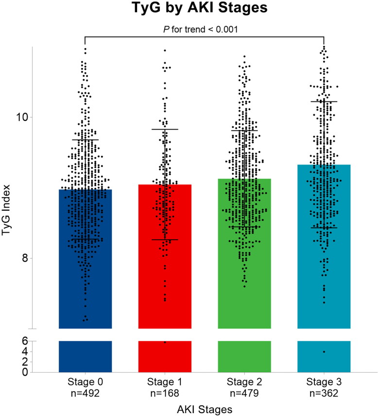
Results: A total of 1,501 patients were enrolled in this study, predominantly male (61.56%), with a median age of 69.80 years. The AKI incidence was 67.22% among all patients, with the AKI stages increased with higher TyG levels (P for trend <0.001). The Kaplan-Meier survival analyses demonstrated statistically significant differences in AKI incidence and RRT application throughout the entire cohort, stratified by the TyG index quartiles (p < 0.001). Additionally, the restricted cubic spline analysis revealed a non-linear association between the TyG index and the risk of AKI (P for non-linear =0.637). Both multivariate Cox proportional hazards analyses (HR 1.62; 95% CI 1.15-2.27; p = 0.005) and multivariate logistic regression analyses (OR 2.16; 95% CI 1.18-3.94; p = 0.012) showed that the elevated TyG index was significantly related to AKI incidence. The association between TyG index and the risk of AKI is more significant in patients without diabetes (HR 1.27; 95% CI 1.14-1.42; p < 0.001), compared to patients with diabetes (P for interaction =0.013).

Conclusions: In summary, the TyG index emerged as a reliable predictor for the occurrence of AKI in CAD patients during ICU stay. Furthermore, it is also anticipated to serve as a valuable indicator for non-diabetic patients in predicting the incidence of AKI.

Abstract Image

Abstract Image

Abstract Image

危重冠心病患者甘油三酯-葡萄糖指数与急性肾损伤风险的关系
背景:甘油三酯-葡萄糖(TyG)指数被证明是胰岛素抵抗的可靠和简单的替代指标,已显示出与心血管结局和肾脏疾病的潜在关联。本研究深入探讨了TyG指数在预测冠状动脉疾病(CAD)患者急性肾损伤(AKI)风险中的应用,这一领域在现有文献中未被广泛覆盖。方法:从重症监护医疗信息市场- iv数据库中招募CAD患者,并根据其TyG指数将其分为四分位数。主要终点是AKI发生率,次要终点是肾脏替代治疗(RRT)。采用散点直方图、cox比例风险模型、Kaplan-Meier生存曲线和限制性三次样条来研究冠心病患者TyG指数与AKI风险之间的关系。结果:共有1501例患者入组,以男性为主(61.56%),中位年龄69.80岁。所有患者的AKI发生率为67.22%,随着TyG水平的升高,AKI分期增加(P为趋势P为非线性P =0.637)。两项多变量Cox比例风险分析(HR 1.62;95% ci 1.15-2.27;p = 0.005)和多因素logistic回归分析(OR 2.16;95% ci 1.18-3.94;p = 0.012)表明TyG指数升高与AKI发生率显著相关。TyG指数与AKI风险的相关性在非糖尿病患者中更为显著(HR 1.27;95% ci 1.14-1.42;p为相互作用=0.013)。结论:综上所述,TyG指数是CAD患者在ICU住院期间AKI发生的可靠预测指标。此外,它也有望作为非糖尿病患者预测AKI发生率的一个有价值的指标。
本文章由计算机程序翻译,如有差异,请以英文原文为准。
求助全文
约1分钟内获得全文 求助全文
来源期刊
Renal Failure
Renal Failure 医学-泌尿学与肾脏学
CiteScore
3.90
自引率
13.30%
发文量
374
审稿时长
1 months
期刊介绍: Renal Failure primarily concentrates on acute renal injury and its consequence, but also addresses advances in the fields of chronic renal failure, hypertension, and renal transplantation. Bringing together both clinical and experimental aspects of renal failure, this publication presents timely, practical information on pathology and pathophysiology of acute renal failure; nephrotoxicity of drugs and other substances; prevention, treatment, and therapy of renal failure; renal failure in association with transplantation, hypertension, and diabetes mellitus.
×
引用
GB/T 7714-2015
复制
MLA
复制
APA
复制
导出至
BibTeX EndNote RefMan NoteFirst NoteExpress
×
提示
您的信息不完整,为了账户安全,请先补充。
现在去补充
×
提示
您因"违规操作"
具体请查看互助需知
我知道了
×
提示
确定
请完成安全验证×
copy
已复制链接
快去分享给好友吧!
我知道了
右上角分享
点击右上角分享
0
联系我们:info@booksci.cn Book学术提供免费学术资源搜索服务,方便国内外学者检索中英文文献。致力于提供最便捷和优质的服务体验。 Copyright © 2023 布克学术 All rights reserved.
京ICP备2023020795号-1
ghs 京公网安备 11010802042870号
Book学术文献互助
Book学术文献互助群
群 号:604180095
Book学术官方微信