Endometrial factors and pregnancy loss frequency in recurrent pregnancy loss patients: comparing RT-PCR microbiology, microbial cultures, and immunohistochemistry of endometrium biopsy.

IF 1.9 3区 生物学 Q3 BIOTECHNOLOGY & APPLIED MICROBIOLOGY
Journal of Applied Genetics Pub Date : 2025-05-01 Epub Date: 2025-02-20 DOI:10.1007/s13353-025-00949-5
K Klimaszyk, P Wirstlein, K Bednarek-Rajewska, M Jankowski, H Svarre Nielsen, E Wender Ożegowska, M Kędzia
{"title":"Endometrial factors and pregnancy loss frequency in recurrent pregnancy loss patients: comparing RT-PCR microbiology, microbial cultures, and immunohistochemistry of endometrium biopsy.","authors":"K Klimaszyk, P Wirstlein, K Bednarek-Rajewska, M Jankowski, H Svarre Nielsen, E Wender Ożegowska, M Kędzia","doi":"10.1007/s13353-025-00949-5","DOIUrl":null,"url":null,"abstract":"<p><p>The objective of this study is to investigate the presence of bacteria in endometrial samples from patients with recurrent pregnancy loss (RPL) and explore potential correlations between bacterial presence, chronic endometritis, and previous pregnancy loss history. Endometrial samples from 90 RPL patients were analysed using RT-PCR to detect 10 specific bacterial species. A subgroup of 65 patients underwent additional microbial culture and immunohistochemistry for plasma cell identification. Correlations between bacterial presence, chronic endometritis, and the number of previous pregnancy losses were evaluated. We detected at least one out of 10 chosen bacteria DNA by RT-PCR in 24.4% (22/90) of endometrial samples. Patients with PCR-identified bacteria had a significantly higher number of previous pregnancy losses (median 3 vs 2, p = 0.01). No correlation was observed between bacterial presence and chronic endometritis diagnosis. A significant correlation was found between bacterial detection by PCR and microbial culture (p = 0.03), though culture methods detected fewer positive cases. In RPL patients, detecting DNA from at least one of 10 selected bacterial species by RT-PCR correlates with a higher number of previous pregnancy losses. However, this bacterial presence does not correlate with chronic endometritis diagnosis based on the CD138 immunohistochemistry-identified plasma cell count. These findings suggest a potential role of endometrial bacteria in RPL that may be independent of the classical inflammatory response associated with chronic endometritis.</p>","PeriodicalId":14891,"journal":{"name":"Journal of Applied Genetics","volume":" ","pages":"459-468"},"PeriodicalIF":1.9000,"publicationDate":"2025-05-01","publicationTypes":"Journal Article","fieldsOfStudy":null,"isOpenAccess":false,"openAccessPdf":"https://www.ncbi.nlm.nih.gov/pmc/articles/PMC12000213/pdf/","citationCount":"0","resultStr":null,"platform":"Semanticscholar","paperid":null,"PeriodicalName":"Journal of Applied Genetics","FirstCategoryId":"99","ListUrlMain":"https://doi.org/10.1007/s13353-025-00949-5","RegionNum":3,"RegionCategory":"生物学","ArticlePicture":[],"TitleCN":null,"AbstractTextCN":null,"PMCID":null,"EPubDate":"2025/2/20 0:00:00","PubModel":"Epub","JCR":"Q3","JCRName":"BIOTECHNOLOGY & APPLIED MICROBIOLOGY","Score":null,"Total":0}
引用次数: 0

Abstract

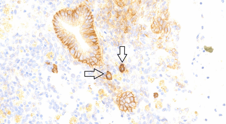
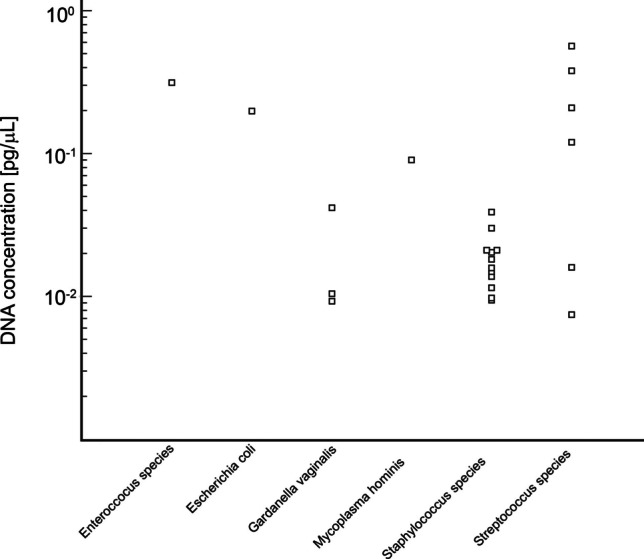
The objective of this study is to investigate the presence of bacteria in endometrial samples from patients with recurrent pregnancy loss (RPL) and explore potential correlations between bacterial presence, chronic endometritis, and previous pregnancy loss history. Endometrial samples from 90 RPL patients were analysed using RT-PCR to detect 10 specific bacterial species. A subgroup of 65 patients underwent additional microbial culture and immunohistochemistry for plasma cell identification. Correlations between bacterial presence, chronic endometritis, and the number of previous pregnancy losses were evaluated. We detected at least one out of 10 chosen bacteria DNA by RT-PCR in 24.4% (22/90) of endometrial samples. Patients with PCR-identified bacteria had a significantly higher number of previous pregnancy losses (median 3 vs 2, p = 0.01). No correlation was observed between bacterial presence and chronic endometritis diagnosis. A significant correlation was found between bacterial detection by PCR and microbial culture (p = 0.03), though culture methods detected fewer positive cases. In RPL patients, detecting DNA from at least one of 10 selected bacterial species by RT-PCR correlates with a higher number of previous pregnancy losses. However, this bacterial presence does not correlate with chronic endometritis diagnosis based on the CD138 immunohistochemistry-identified plasma cell count. These findings suggest a potential role of endometrial bacteria in RPL that may be independent of the classical inflammatory response associated with chronic endometritis.

Abstract Image

Abstract Image

Abstract Image

复发性妊娠丢失患者子宫内膜因素与妊娠丢失频率:子宫内膜活检RT-PCR微生物学、微生物培养和免疫组化的比较
本研究的目的是调查复发性妊娠丢失(RPL)患者子宫内膜样本中细菌的存在,并探讨细菌存在、慢性子宫内膜炎和既往妊娠丢失史之间的潜在相关性。对90例RPL患者的子宫内膜样本进行RT-PCR分析,检测出10种特异性细菌。亚组65名患者接受了额外的微生物培养和免疫组织化学以进行浆细胞鉴定。评估了细菌存在、慢性子宫内膜炎和先前流产次数之间的相关性。我们在24.4%(22/90)的子宫内膜样本中检测到至少10种细菌DNA中的1种。携带pcr鉴定细菌的患者先前流产的数量明显更高(中位数为3 vs 2, p = 0.01)。细菌的存在与慢性子宫内膜炎的诊断没有相关性。PCR检测细菌与微生物培养之间存在显著相关性(p = 0.03),尽管培养方法检测到的阳性病例较少。在RPL患者中,通过RT-PCR检测10种选定细菌中至少一种的DNA与先前流产的数量相关。然而,这种细菌的存在与基于CD138免疫组织化学鉴定的浆细胞计数的慢性子宫内膜炎诊断无关。这些发现表明子宫内膜细菌在RPL中的潜在作用可能独立于与慢性子宫内膜炎相关的经典炎症反应。
本文章由计算机程序翻译,如有差异,请以英文原文为准。
求助全文
约1分钟内获得全文 求助全文
来源期刊
Journal of Applied Genetics
Journal of Applied Genetics 生物-生物工程与应用微生物
CiteScore
4.30
自引率
4.20%
发文量
62
审稿时长
6-12 weeks
期刊介绍: The Journal of Applied Genetics is an international journal on genetics and genomics. It publishes peer-reviewed original papers, short communications (including case reports) and review articles focused on the research of applicative aspects of plant, human, animal and microbial genetics and genomics.
×
引用
GB/T 7714-2015
复制
MLA
复制
APA
复制
导出至
BibTeX EndNote RefMan NoteFirst NoteExpress
×
提示
您的信息不完整,为了账户安全,请先补充。
现在去补充
×
提示
您因"违规操作"
具体请查看互助需知
我知道了
×
提示
确定
请完成安全验证×
copy
已复制链接
快去分享给好友吧!
我知道了
右上角分享
点击右上角分享
0
联系我们:info@booksci.cn Book学术提供免费学术资源搜索服务,方便国内外学者检索中英文文献。致力于提供最便捷和优质的服务体验。 Copyright © 2023 布克学术 All rights reserved.
京ICP备2023020795号-1
ghs 京公网安备 11010802042870号
Book学术文献互助
Book学术文献互助群
群 号:604180095
Book学术官方微信