Commuting time and musculoskeletal pain in the relationship with working time: a cross-sectional study.

IF 1.8 Q4 PUBLIC, ENVIRONMENTAL & OCCUPATIONAL HEALTH
Hoje Ryu, Seong-Sik Cho, Jung Il Kim, Sun-Haeng Choi, Nathan Kim
{"title":"Commuting time and musculoskeletal pain in the relationship with working time: a cross-sectional study.","authors":"Hoje Ryu, Seong-Sik Cho, Jung Il Kim, Sun-Haeng Choi, Nathan Kim","doi":"10.35371/aoem.2025.37.e4","DOIUrl":null,"url":null,"abstract":"<p><strong>Background: </strong>Commuting is essential for working life; however, prolonged travel times can negatively affect health, particularly musculoskeletal pain. This study aims to examine the relationship between commuting time and musculoskeletal pain (back, upper extremity, and lower extremity pain), in the context of working time.</p><p><strong>Methods: </strong>This cross-sectional study used data from the Sixth Korean Working Conditions Survey conducted in Korea between October 2020 and April 2021. Variables such as commuting time, weekly working hours, and shift work were assessed using the survey questions. Musculoskeletal pain was determined based on self-reported pains in the previous year. The covariates included demographics, employment status, ergonomic risks, and job stress. The association between commuting time and musculoskeletal pain stratified by weekly working hours or shift work was analyzed by survey-weighted logistic regression analysis.</p><p><strong>Results: </strong>This study found a significant association between longer commuting times and increased prevalence of musculoskeletal pain, particularly back, upper extremity, and lower extremity pain. When commuting time was ≤60, 61-120, >120 minutes, the odds ratio was 1.00, 1.33 (95% confidence interval [CI]: 1.16-1.52), and 2.41 (95% CI: 1.77-3.29) for back pain; 1.00, 1.29 (95% CI: 1.13-1.46), and 2.27 (95% CI: 1.71-3.00) for upper extremity pain; and 1.00, 1.24 (95% CI: 1.05-1.45), and 1.53 (95% CI: 1.13-2.08) for lower extremity pain, respectively. Furthermore, except for upper extremity pain, this trend was amplified when participants were concurrently exposed to long working hours, and for lower extremity pain, this trend was aggravated among shift workers.</p><p><strong>Conclusions: </strong>Long commuting time may be a risk factor for musculoskeletal pain, and its' effects could be aggravated when combined with long working hours or shift work. This study observed the detrimental impact of prolonged commuting on musculoskeletal health, particularly among employees with extended working hours or shift work.</p>","PeriodicalId":46631,"journal":{"name":"Annals of Occupational and Environmental Medicine","volume":"37 ","pages":"e4"},"PeriodicalIF":1.8000,"publicationDate":"2025-01-01","publicationTypes":"Journal Article","fieldsOfStudy":null,"isOpenAccess":false,"openAccessPdf":"https://www.ncbi.nlm.nih.gov/pmc/articles/PMC11849991/pdf/","citationCount":"0","resultStr":null,"platform":"Semanticscholar","paperid":null,"PeriodicalName":"Annals of Occupational and Environmental Medicine","FirstCategoryId":"1085","ListUrlMain":"https://doi.org/10.35371/aoem.2025.37.e4","RegionNum":0,"RegionCategory":null,"ArticlePicture":[],"TitleCN":null,"AbstractTextCN":null,"PMCID":null,"EPubDate":"2025/2/19 0:00:00","PubModel":"Epub","JCR":"Q4","JCRName":"PUBLIC, ENVIRONMENTAL & OCCUPATIONAL HEALTH","Score":null,"Total":0}
引用次数: 0

Abstract

Background: Commuting is essential for working life; however, prolonged travel times can negatively affect health, particularly musculoskeletal pain. This study aims to examine the relationship between commuting time and musculoskeletal pain (back, upper extremity, and lower extremity pain), in the context of working time.

Methods: This cross-sectional study used data from the Sixth Korean Working Conditions Survey conducted in Korea between October 2020 and April 2021. Variables such as commuting time, weekly working hours, and shift work were assessed using the survey questions. Musculoskeletal pain was determined based on self-reported pains in the previous year. The covariates included demographics, employment status, ergonomic risks, and job stress. The association between commuting time and musculoskeletal pain stratified by weekly working hours or shift work was analyzed by survey-weighted logistic regression analysis.

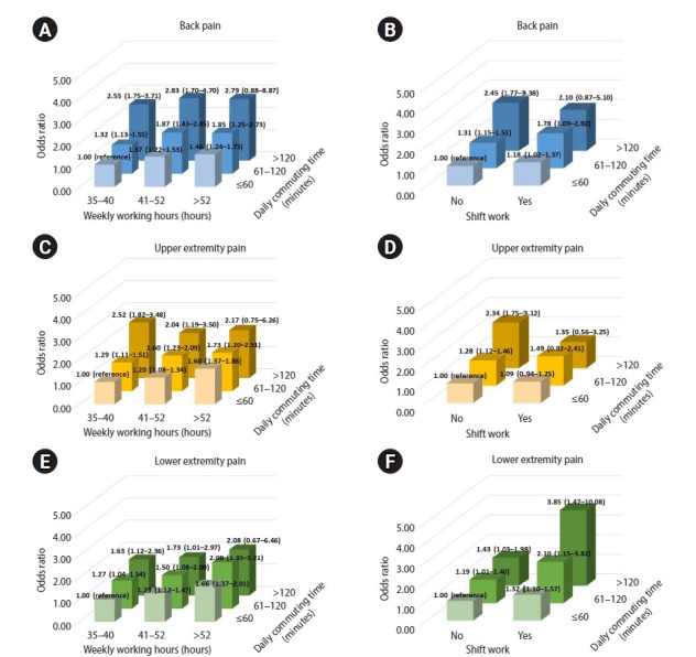
Results: This study found a significant association between longer commuting times and increased prevalence of musculoskeletal pain, particularly back, upper extremity, and lower extremity pain. When commuting time was ≤60, 61-120, >120 minutes, the odds ratio was 1.00, 1.33 (95% confidence interval [CI]: 1.16-1.52), and 2.41 (95% CI: 1.77-3.29) for back pain; 1.00, 1.29 (95% CI: 1.13-1.46), and 2.27 (95% CI: 1.71-3.00) for upper extremity pain; and 1.00, 1.24 (95% CI: 1.05-1.45), and 1.53 (95% CI: 1.13-2.08) for lower extremity pain, respectively. Furthermore, except for upper extremity pain, this trend was amplified when participants were concurrently exposed to long working hours, and for lower extremity pain, this trend was aggravated among shift workers.

Conclusions: Long commuting time may be a risk factor for musculoskeletal pain, and its' effects could be aggravated when combined with long working hours or shift work. This study observed the detrimental impact of prolonged commuting on musculoskeletal health, particularly among employees with extended working hours or shift work.

Abstract Image

通勤时间和肌肉骨骼疼痛与工作时间的关系:一项横断面研究。
背景:通勤是工作生活的必需品;然而,长时间的旅行会对健康产生负面影响,尤其是肌肉骨骼疼痛。本研究旨在探讨通勤时间与工作时间背景下肌肉骨骼疼痛(背部、上肢和下肢疼痛)之间的关系。方法:本横断面研究使用了2020年10月至2021年4月在韩国进行的第六次韩国工作条件调查的数据。诸如通勤时间、每周工作时间和轮班工作等变量使用调查问题进行评估。肌肉骨骼疼痛是根据前一年自我报告的疼痛来确定的。协变量包括人口统计、就业状况、人体工程学风险和工作压力。采用调查加权logistic回归分析,对通勤时间与肌肉骨骼疼痛之间的关系按每周工作时间或轮班工作分层进行分析。结果:本研究发现通勤时间延长与肌肉骨骼疼痛患病率增加之间存在显著关联,尤其是背部、上肢和下肢疼痛。当通勤时间≤60分钟、61 ~ 120分钟、60 ~ 120分钟时,腰痛的比值比分别为1.00、1.33(95%可信区间[CI]: 1.16 ~ 1.52)、2.41 (95% CI: 1.77 ~ 3.29);上肢疼痛分别为1.00、1.29 (95% CI: 1.13-1.46)和2.27 (95% CI: 1.71-3.00);下肢疼痛分别为1.00、1.24 (95% CI: 1.05-1.45)和1.53 (95% CI: 1.13-2.08)。此外,除了上肢疼痛外,当参与者同时暴露于长时间工作时,这种趋势被放大,而对于下肢疼痛,倒班工人的这种趋势被加剧。结论:长时间的通勤可能是肌肉骨骼疼痛的危险因素,并且当长时间工作或轮班工作时,其影响可能会加剧。这项研究观察到长时间的通勤对肌肉骨骼健康的有害影响,特别是在长时间工作或轮班工作的员工中。
本文章由计算机程序翻译,如有差异,请以英文原文为准。
求助全文
约1分钟内获得全文 求助全文
来源期刊
Annals of Occupational and Environmental Medicine
Annals of Occupational and Environmental Medicine PUBLIC, ENVIRONMENTAL & OCCUPATIONAL HEALTH-
CiteScore
1.90
自引率
0.00%
发文量
25
审稿时长
16 weeks
期刊介绍: Annals of Occupational and Environmental Medicine (AOEM) is an open access journal that considers original contributions relevant to occupational and environmental medicine and related fields, in the form of original articles, review articles, short letters and case reports. AOEM is aimed at clinicians and researchers working in the wide-ranging discipline of occupational and environmental medicine. Topic areas focus on, but are not limited to, interactions between work and health, covering occupational and environmental epidemiology, toxicology, hygiene, diagnosis and treatment of diseases, management, organization and policy. As the official journal of the Korean Society of Occupational and Environmental Medicine (KSOEM), members and authors based in the Republic of Korea are entitled to a discounted article-processing charge when they publish in AOEM.
×
引用
GB/T 7714-2015
复制
MLA
复制
APA
复制
导出至
BibTeX EndNote RefMan NoteFirst NoteExpress
×
提示
您的信息不完整,为了账户安全,请先补充。
现在去补充
×
提示
您因"违规操作"
具体请查看互助需知
我知道了
×
提示
确定
请完成安全验证×
copy
已复制链接
快去分享给好友吧!
我知道了
右上角分享
点击右上角分享
0
联系我们:info@booksci.cn Book学术提供免费学术资源搜索服务,方便国内外学者检索中英文文献。致力于提供最便捷和优质的服务体验。 Copyright © 2023 布克学术 All rights reserved.
京ICP备2023020795号-1
ghs 京公网安备 11010802042870号
Book学术文献互助
Book学术文献互助群
群 号:604180095
Book学术官方微信