The relationship between the gastric cancer microbiome and clinicopathological factors: a metagenomic investigation from the 100,000 genomes project and The Cancer Genome Atlas.

IF 5.1 1区 医学 Q1 GASTROENTEROLOGY & HEPATOLOGY
Gastric Cancer Pub Date : 2025-05-01 Epub Date: 2025-02-17 DOI:10.1007/s10120-025-01588-9
Mary E Booth, Henry M Wood, Mark A Travis, Phil Quirke, Heike I Grabsch
{"title":"The relationship between the gastric cancer microbiome and clinicopathological factors: a metagenomic investigation from the 100,000 genomes project and The Cancer Genome Atlas.","authors":"Mary E Booth, Henry M Wood, Mark A Travis, Phil Quirke, Heike I Grabsch","doi":"10.1007/s10120-025-01588-9","DOIUrl":null,"url":null,"abstract":"<p><strong>Background: </strong>Findings from previous gastric cancer microbiome studies have been conflicting, potentially due to patient and/or tumor heterogeneity. The intratumoral gastric cancer microbiome and its relationship with clinicopathological variables have not yet been characterized in detail. We hypothesized that variation in gastric cancer microbial abundance, alpha diversity, and composition is related to clinicopathological characteristics.</p><p><strong>Methods: </strong>Metagenomic analysis of 529 GC samples was performed, including whole exome sequencing data from The Cancer Genome Atlas (TCGA) and whole genome sequencing data from the 100,000 Genomes Project. Microbial abundance, alpha diversity, and composition were compared across patient age, sex, tumor location, geographic origin, pathological depth of invasion, pathological lymph node status, histological phenotype, microsatellite instability status, and TCGA molecular subtype.</p><p><strong>Results: </strong>Gastric cancer microbiomes resembled previous results, with Prevotella, Selenomonas, Stomatobaculum, Streptococcus, Lactobacillus, and Lachnospiraceae commonly seen across both cohorts. Within the TCGA cohort, microbial abundance and alpha diversity were greater in gastric cancers with microsatellite instability, lower pathological depth of invasion, intestinal-type histology, and those originating from Asia. Microsatellite instability status was associated with microbiome composition in both cohorts. Sex and pathological depth of invasion were associated with microbiome composition in the TCGA cohort.</p><p><strong>Conclusion: </strong>The intratumoral gastric cancer microbiome appears to differ according to clinicopathological factors. Certain clinicopathological factors associated with favourable outcomes in gastric cancer were observed to be associated with greater microbial abundance and diversity. This highlights the need for further work to understand the underlying biological mechanisms behind the observed microbiome differences and their potential clinical and therapeutic impact.</p>","PeriodicalId":12684,"journal":{"name":"Gastric Cancer","volume":" ","pages":"358-371"},"PeriodicalIF":5.1000,"publicationDate":"2025-05-01","publicationTypes":"Journal Article","fieldsOfStudy":null,"isOpenAccess":false,"openAccessPdf":"https://www.ncbi.nlm.nih.gov/pmc/articles/PMC11993446/pdf/","citationCount":"0","resultStr":null,"platform":"Semanticscholar","paperid":null,"PeriodicalName":"Gastric Cancer","FirstCategoryId":"3","ListUrlMain":"https://doi.org/10.1007/s10120-025-01588-9","RegionNum":1,"RegionCategory":"医学","ArticlePicture":[],"TitleCN":null,"AbstractTextCN":null,"PMCID":null,"EPubDate":"2025/2/17 0:00:00","PubModel":"Epub","JCR":"Q1","JCRName":"GASTROENTEROLOGY & HEPATOLOGY","Score":null,"Total":0}
引用次数: 0

Abstract

Background: Findings from previous gastric cancer microbiome studies have been conflicting, potentially due to patient and/or tumor heterogeneity. The intratumoral gastric cancer microbiome and its relationship with clinicopathological variables have not yet been characterized in detail. We hypothesized that variation in gastric cancer microbial abundance, alpha diversity, and composition is related to clinicopathological characteristics.

Methods: Metagenomic analysis of 529 GC samples was performed, including whole exome sequencing data from The Cancer Genome Atlas (TCGA) and whole genome sequencing data from the 100,000 Genomes Project. Microbial abundance, alpha diversity, and composition were compared across patient age, sex, tumor location, geographic origin, pathological depth of invasion, pathological lymph node status, histological phenotype, microsatellite instability status, and TCGA molecular subtype.

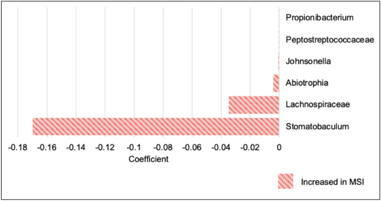
Results: Gastric cancer microbiomes resembled previous results, with Prevotella, Selenomonas, Stomatobaculum, Streptococcus, Lactobacillus, and Lachnospiraceae commonly seen across both cohorts. Within the TCGA cohort, microbial abundance and alpha diversity were greater in gastric cancers with microsatellite instability, lower pathological depth of invasion, intestinal-type histology, and those originating from Asia. Microsatellite instability status was associated with microbiome composition in both cohorts. Sex and pathological depth of invasion were associated with microbiome composition in the TCGA cohort.

Conclusion: The intratumoral gastric cancer microbiome appears to differ according to clinicopathological factors. Certain clinicopathological factors associated with favourable outcomes in gastric cancer were observed to be associated with greater microbial abundance and diversity. This highlights the need for further work to understand the underlying biological mechanisms behind the observed microbiome differences and their potential clinical and therapeutic impact.

Abstract Image

Abstract Image

Abstract Image

胃癌微生物组与临床病理因素的关系:来自10万基因组计划和癌症基因组图谱的宏基因组研究。
背景:先前胃癌微生物组研究的结果相互矛盾,可能是由于患者和/或肿瘤的异质性。胃癌肿瘤内微生物组及其与临床病理变量的关系尚未被详细描述。我们假设胃癌微生物丰度、α多样性和组成的变化与临床病理特征有关。方法:对529份GC样本进行宏基因组分析,包括来自癌症基因组图谱(TCGA)的全外显子组测序数据和来自100,000基因组计划的全基因组测序数据。比较不同年龄、性别、肿瘤位置、地理来源、病理浸润深度、病理淋巴结状态、组织学表型、微卫星不稳定性状态和TCGA分子亚型的微生物丰度、α多样性和组成。结果:胃癌微生物组与先前的结果相似,普雷沃菌、硒单胞菌、口杆菌、链球菌、乳酸杆菌和毛螺科在两个队列中都很常见。在TCGA队列中,微生物丰度和α多样性在微卫星不稳定、病理浸润深度较低、肠型组织学和起源于亚洲的胃癌中更高。在两个队列中,微卫星不稳定状态与微生物组组成有关。在TCGA队列中,性别和病理侵袭深度与微生物组组成有关。结论:胃癌肿瘤内微生物组因临床病理因素而异。某些与胃癌有利预后相关的临床病理因素被观察到与更大的微生物丰度和多样性有关。这突出了需要进一步的工作,以了解观察到的微生物组差异背后的潜在生物学机制及其潜在的临床和治疗影响。
本文章由计算机程序翻译,如有差异,请以英文原文为准。
求助全文
约1分钟内获得全文 求助全文
来源期刊
Gastric Cancer
Gastric Cancer 医学-胃肠肝病学
CiteScore
14.70
自引率
2.70%
发文量
80
审稿时长
6-12 weeks
期刊介绍: Gastric Cancer is an esteemed global forum that focuses on various aspects of gastric cancer research, treatment, and biology worldwide. The journal promotes a diverse range of content, including original articles, case reports, short communications, and technical notes. It also welcomes Letters to the Editor discussing published articles or sharing viewpoints on gastric cancer topics. Review articles are predominantly sought after by the Editor, ensuring comprehensive coverage of the field. With a dedicated and knowledgeable editorial team, the journal is committed to providing exceptional support and ensuring high levels of author satisfaction. In fact, over 90% of published authors have expressed their intent to publish again in our esteemed journal.
×
引用
GB/T 7714-2015
复制
MLA
复制
APA
复制
导出至
BibTeX EndNote RefMan NoteFirst NoteExpress
×
提示
您的信息不完整,为了账户安全,请先补充。
现在去补充
×
提示
您因"违规操作"
具体请查看互助需知
我知道了
×
提示
确定
请完成安全验证×
copy
已复制链接
快去分享给好友吧!
我知道了
右上角分享
点击右上角分享
0
联系我们:info@booksci.cn Book学术提供免费学术资源搜索服务,方便国内外学者检索中英文文献。致力于提供最便捷和优质的服务体验。 Copyright © 2023 布克学术 All rights reserved.
京ICP备2023020795号-1
ghs 京公网安备 11010802042870号
Book学术文献互助
Book学术文献互助群
群 号:604180095
Book学术官方微信