Potential for Lung Recruitment Maneuvers Estimated by the Cytokines in Bronchoalveolar Lavage Fluid in Acute Respiratory Distress Syndrome.

IF 0.8 4区 医学 Q3 EMERGENCY MEDICINE
Emergency Medicine International Pub Date : 2025-02-10 eCollection Date: 2025-01-01 DOI:10.1155/emmi/5442038
Minjin Shen, Jiaping Huai
{"title":"Potential for Lung Recruitment Maneuvers Estimated by the Cytokines in Bronchoalveolar Lavage Fluid in Acute Respiratory Distress Syndrome.","authors":"Minjin Shen, Jiaping Huai","doi":"10.1155/emmi/5442038","DOIUrl":null,"url":null,"abstract":"<p><p><b>Objective:</b> Lung recruitment maneuvers (RMs) is an important treatment for acute respiratory distress syndrome (ARDS) patients; however, assessing lung recruitability is imperative to avoid biotrauma and hemodynamic instability. This study aims to investigate whether the cytokine levels in the bronchoalveolar lavage fluid (BALF) of ARDS patients can serve as an indicator of their lung recruitability. <b>Methods:</b> This study included ARDS patients who received mechanical ventilation for over 24 h. Patients were categorized into lung recruitment maneuver effective (RM-E) group and lung recruitment maneuver noneffective (RM-N) group. Interleukin-6 (IL-6), interleukin-8 (IL-8) and interleukin-10 (IL-10) in BALF, lung ultrasound (LUS) scores, and the oxygenation index (P/F) were measured. The differences in cytokine levels between the two groups were compared, and correlations between changes in cytokine levels (ΔIL-6, ΔIL-8, and ΔIL-10), ΔLUS, and ΔP/F were analyzed. <b>Results:</b> Sixty-two patients were included in this study (38 in the RM-E group and 24 in the RM-N group). After the RM, compared with the RM-N group, an increase was observed in ΔIL-6 (<i>p</i>=0.013), ΔIL-8 (<i>p</i>=0.045), ΔIL-10 (<i>p</i>=0.039), and ΔLUS (<i>p</i>=0.045) in the RM-E group. A positive linear correlation was found between ΔIL-6 and ΔLUS (<i>r</i> = 0.504, <i>p</i> < 0.001). The area under the lung recruitment potential curve (AUC) predicted by ΔIL-6 was 0.794, the sensitivity was 94.7%, and the specificity was 70.8%. A positive linear correlation was found between ΔIL-6 and ΔLUS (<i>r</i> = 0.504, <i>p</i> < 0.001). The lung recruitment potential curve's AUC predicted by ΔIL-6 was 0.794, with a sensitivity of 94.7% and specificity of 70.8%. <b>Conclusion:</b> Lower levels of cytokines in BALF were observed in the RM-E group. It is possible that the cytokines in BALF, especially IL-6, could be used to determine the need for RM on the basis of lung recruitability.</p>","PeriodicalId":11528,"journal":{"name":"Emergency Medicine International","volume":"2025 ","pages":"5442038"},"PeriodicalIF":0.8000,"publicationDate":"2025-02-10","publicationTypes":"Journal Article","fieldsOfStudy":null,"isOpenAccess":false,"openAccessPdf":"https://www.ncbi.nlm.nih.gov/pmc/articles/PMC11832253/pdf/","citationCount":"0","resultStr":null,"platform":"Semanticscholar","paperid":null,"PeriodicalName":"Emergency Medicine International","FirstCategoryId":"3","ListUrlMain":"https://doi.org/10.1155/emmi/5442038","RegionNum":4,"RegionCategory":"医学","ArticlePicture":[],"TitleCN":null,"AbstractTextCN":null,"PMCID":null,"EPubDate":"2025/1/1 0:00:00","PubModel":"eCollection","JCR":"Q3","JCRName":"EMERGENCY MEDICINE","Score":null,"Total":0}
引用次数: 0

Abstract

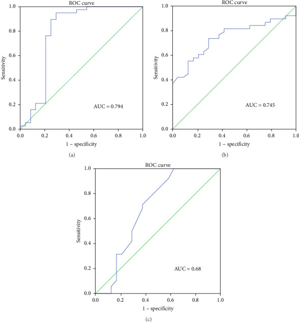
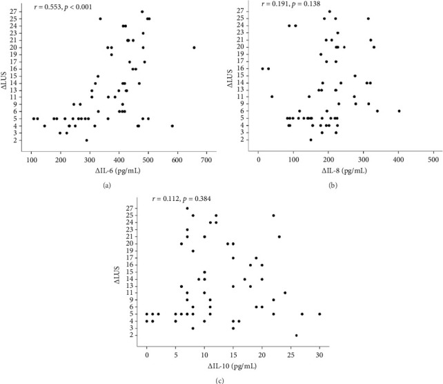
Objective: Lung recruitment maneuvers (RMs) is an important treatment for acute respiratory distress syndrome (ARDS) patients; however, assessing lung recruitability is imperative to avoid biotrauma and hemodynamic instability. This study aims to investigate whether the cytokine levels in the bronchoalveolar lavage fluid (BALF) of ARDS patients can serve as an indicator of their lung recruitability. Methods: This study included ARDS patients who received mechanical ventilation for over 24 h. Patients were categorized into lung recruitment maneuver effective (RM-E) group and lung recruitment maneuver noneffective (RM-N) group. Interleukin-6 (IL-6), interleukin-8 (IL-8) and interleukin-10 (IL-10) in BALF, lung ultrasound (LUS) scores, and the oxygenation index (P/F) were measured. The differences in cytokine levels between the two groups were compared, and correlations between changes in cytokine levels (ΔIL-6, ΔIL-8, and ΔIL-10), ΔLUS, and ΔP/F were analyzed. Results: Sixty-two patients were included in this study (38 in the RM-E group and 24 in the RM-N group). After the RM, compared with the RM-N group, an increase was observed in ΔIL-6 (p=0.013), ΔIL-8 (p=0.045), ΔIL-10 (p=0.039), and ΔLUS (p=0.045) in the RM-E group. A positive linear correlation was found between ΔIL-6 and ΔLUS (r = 0.504, p < 0.001). The area under the lung recruitment potential curve (AUC) predicted by ΔIL-6 was 0.794, the sensitivity was 94.7%, and the specificity was 70.8%. A positive linear correlation was found between ΔIL-6 and ΔLUS (r = 0.504, p < 0.001). The lung recruitment potential curve's AUC predicted by ΔIL-6 was 0.794, with a sensitivity of 94.7% and specificity of 70.8%. Conclusion: Lower levels of cytokines in BALF were observed in the RM-E group. It is possible that the cytokines in BALF, especially IL-6, could be used to determine the need for RM on the basis of lung recruitability.

Abstract Image

Abstract Image

Abstract Image

急性呼吸窘迫综合征患者支气管肺泡灌洗液中细胞因子对肺再募集运动的潜在影响
目的:肺复吸术(RMs)是治疗急性呼吸窘迫综合征(ARDS)的重要手段;然而,评估肺部招募能力是必要的,以避免生物创伤和血流动力学不稳定。本研究旨在探讨急性呼吸窘迫综合征(ARDS)患者支气管肺泡灌洗液(BALF)中细胞因子水平是否可作为肺功能恢复的指标。方法:本研究纳入机械通气超过24 h的ARDS患者。将患者分为肺复吸有效组(RM-E)和肺复吸无效组(RM-N)。测定BALF中白细胞介素-6 (IL-6)、白细胞介素-8 (IL-8)、白细胞介素-10 (IL-10)、肺超声(LUS)评分及氧合指数(P/F)。比较两组细胞因子水平的差异,分析细胞因子水平(ΔIL-6、ΔIL-8、ΔIL-10)、ΔLUS、ΔP/F变化的相关性。结果:本研究共纳入62例患者(RM-E组38例,RM-N组24例)。RM后,与RM- n组相比,RM- e组的ΔIL-6 (p=0.013)、ΔIL-8 (p=0.045)、ΔIL-10 (p=0.039)和ΔLUS (p=0.045)均有所增加。ΔIL-6与ΔLUS呈线性正相关(r = 0.504, p < 0.001)。ΔIL-6预测肺再募集电位曲线下面积(AUC)为0.794,敏感性为94.7%,特异性为70.8%。ΔIL-6与ΔLUS呈线性正相关(r = 0.504, p < 0.001)。ΔIL-6预测肺再募集电位曲线的AUC为0.794,敏感性为94.7%,特异性为70.8%。结论:RM-E组BALF细胞因子水平明显降低。有可能BALF中的细胞因子,特别是IL-6,可以根据肺的招募能力来确定是否需要RM。
本文章由计算机程序翻译,如有差异,请以英文原文为准。
求助全文
约1分钟内获得全文 求助全文
来源期刊
Emergency Medicine International
Emergency Medicine International EMERGENCY MEDICINE-
CiteScore
0.10
自引率
0.00%
发文量
187
审稿时长
17 weeks
期刊介绍: Emergency Medicine International is a peer-reviewed, Open Access journal that provides a forum for doctors, nurses, paramedics and ambulance staff. The journal publishes original research articles, review articles, and clinical studies related to prehospital care, disaster preparedness and response, acute medical and paediatric emergencies, critical care, sports medicine, wound care, and toxicology.
×
引用
GB/T 7714-2015
复制
MLA
复制
APA
复制
导出至
BibTeX EndNote RefMan NoteFirst NoteExpress
×
提示
您的信息不完整,为了账户安全,请先补充。
现在去补充
×
提示
您因"违规操作"
具体请查看互助需知
我知道了
×
提示
确定
请完成安全验证×
copy
已复制链接
快去分享给好友吧!
我知道了
右上角分享
点击右上角分享
0
联系我们:info@booksci.cn Book学术提供免费学术资源搜索服务,方便国内外学者检索中英文文献。致力于提供最便捷和优质的服务体验。 Copyright © 2023 布克学术 All rights reserved.
京ICP备2023020795号-1
ghs 京公网安备 11010802042870号
Book学术文献互助
Book学术文献互助群
群 号:604180095
Book学术官方微信