Adrenal response to competitive singing: glucocorticoid metabolites in male Saltator similis (Aves, Thraupidae).

IF 2.5 3区 环境科学与生态学 Q2 BIODIVERSITY CONSERVATION
Conservation Physiology Pub Date : 2025-02-13 eCollection Date: 2025-01-01 DOI:10.1093/conphys/coaf004
Carolina Lorieri-Vanin, Heriberto Barbosa-Moyano, Claudio de Oliveira Alvarenga, Luís Fábio Silveira
{"title":"Adrenal response to competitive singing: glucocorticoid metabolites in male <i>Saltator similis</i> (Aves, Thraupidae).","authors":"Carolina Lorieri-Vanin, Heriberto Barbosa-Moyano, Claudio de Oliveira Alvarenga, Luís Fábio Silveira","doi":"10.1093/conphys/coaf004","DOIUrl":null,"url":null,"abstract":"<p><p>Song competitions involving passerines, such as the Green-winged Saltator (<i>Saltator similis</i>), are legally permitted in Brazil and attract widespread participation. This study aimed to assess the adrenal response in male <i>S. similis</i> by comparing glucocorticoid metabolite (GCM) levels in uro-faecal extract samples collected during three competitions with those from a rest day (3 days before the competition, D-3), a day before the competition (D-1), the day of the competition (D0) and a day after the competition (D1). Simultaneously, we examined the potential variation in GCM levels among other males not engaged in song competitions but subjected to <i>ex situ</i> conditions much like those of participating males. GCM levels were measured using a direct enzyme immunoassay (EIA, CJM006), which was physiologically (ACTH challenge) and analytically validated (parallelism, accuracy and precision tests) for the species under study. The results indicated that the average GCM concentration was lower in the competition group (33.43 ± 22.09 ng/g) as compared to the control group (70.09 ± 29.45 ng/g; <i>P</i> = 0.01). However, concentrations spiked significantly on competition day (D0: 38.29 ± 26.12 ng/g) as compared to the rest day (D-3: 28.64 ± 17.86  ng/g; <i>P</i> = 0.02), suggesting acute stress response. Given the elevated GCM levels observed during competitions, further research is necessary to confirm the welfare of these birds under competition conditions and to explore the long-term effects of such stressors.</p>","PeriodicalId":54331,"journal":{"name":"Conservation Physiology","volume":"13 1","pages":"coaf004"},"PeriodicalIF":2.5000,"publicationDate":"2025-02-13","publicationTypes":"Journal Article","fieldsOfStudy":null,"isOpenAccess":false,"openAccessPdf":"https://www.ncbi.nlm.nih.gov/pmc/articles/PMC11825695/pdf/","citationCount":"0","resultStr":null,"platform":"Semanticscholar","paperid":null,"PeriodicalName":"Conservation Physiology","FirstCategoryId":"93","ListUrlMain":"https://doi.org/10.1093/conphys/coaf004","RegionNum":3,"RegionCategory":"环境科学与生态学","ArticlePicture":[],"TitleCN":null,"AbstractTextCN":null,"PMCID":null,"EPubDate":"2025/1/1 0:00:00","PubModel":"eCollection","JCR":"Q2","JCRName":"BIODIVERSITY CONSERVATION","Score":null,"Total":0}
引用次数: 0

Abstract

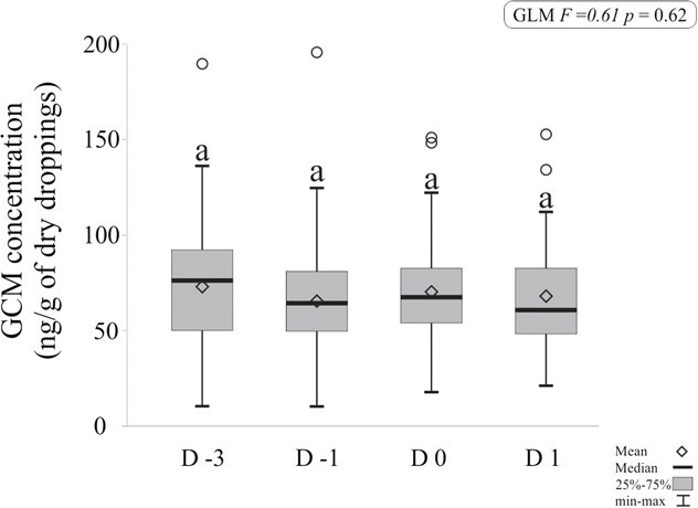
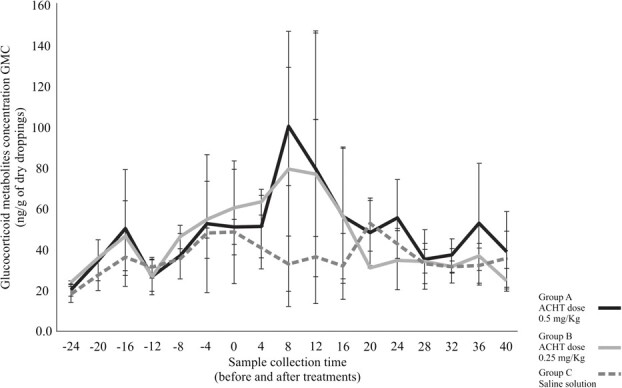
Song competitions involving passerines, such as the Green-winged Saltator (Saltator similis), are legally permitted in Brazil and attract widespread participation. This study aimed to assess the adrenal response in male S. similis by comparing glucocorticoid metabolite (GCM) levels in uro-faecal extract samples collected during three competitions with those from a rest day (3 days before the competition, D-3), a day before the competition (D-1), the day of the competition (D0) and a day after the competition (D1). Simultaneously, we examined the potential variation in GCM levels among other males not engaged in song competitions but subjected to ex situ conditions much like those of participating males. GCM levels were measured using a direct enzyme immunoassay (EIA, CJM006), which was physiologically (ACTH challenge) and analytically validated (parallelism, accuracy and precision tests) for the species under study. The results indicated that the average GCM concentration was lower in the competition group (33.43 ± 22.09 ng/g) as compared to the control group (70.09 ± 29.45 ng/g; P = 0.01). However, concentrations spiked significantly on competition day (D0: 38.29 ± 26.12 ng/g) as compared to the rest day (D-3: 28.64 ± 17.86  ng/g; P = 0.02), suggesting acute stress response. Given the elevated GCM levels observed during competitions, further research is necessary to confirm the welfare of these birds under competition conditions and to explore the long-term effects of such stressors.

Abstract Image

Abstract Image

Abstract Image

肾上腺对竞争性鸣叫的反应:雄性拟鹬的糖皮质激素代谢物。
在巴西,有雀鸟参加的歌唱比赛,如绿翼舞(Saltator)在法律上是允许的,并吸引了广泛的参与。本研究旨在通过比较三场比赛中采集的雄性美洲沙鼠尿粪提取液中糖皮质激素代谢物(GCM)与比赛前3天(D-3)、比赛前1天(D-1)、比赛当天(D0)和比赛后1天(D1)尿液中糖皮质激素代谢物(GCM)的水平,评估雄性美洲沙鼠的肾上腺反应。与此同时,我们还研究了其他没有参加歌唱比赛但受到与参加比赛的雄性相似的迁地条件的雄性之间GCM水平的潜在变化。使用直接酶免疫分析法(EIA, CJM006)测量GCM水平,该方法对所研究物种进行了生理(ACTH挑战)和分析验证(平行度、准确性和精密度测试)。结果表明:竞争组GCM平均浓度(33.43±22.09 ng/g)低于对照组(70.09±29.45 ng/g);p = 0.01)。然而,与休息日(D-3: 28.64±17.86 ng/g; D-3: 28.64±17.86 ng/g;P = 0.02),提示急性应激反应。鉴于在比赛期间观察到的GCM水平升高,有必要进一步研究以确认这些鸟类在比赛条件下的福利,并探讨这种压力源的长期影响。
本文章由计算机程序翻译,如有差异,请以英文原文为准。
求助全文
约1分钟内获得全文 求助全文
来源期刊
Conservation Physiology
Conservation Physiology Environmental Science-Management, Monitoring, Policy and Law
CiteScore
5.10
自引率
3.70%
发文量
71
审稿时长
11 weeks
期刊介绍: Conservation Physiology is an online only, fully open access journal published on behalf of the Society for Experimental Biology. Biodiversity across the globe faces a growing number of threats associated with human activities. Conservation Physiology will publish research on all taxa (microbes, plants and animals) focused on understanding and predicting how organisms, populations, ecosystems and natural resources respond to environmental change and stressors. Physiology is considered in the broadest possible terms to include functional and mechanistic responses at all scales. We also welcome research towards developing and refining strategies to rebuild populations, restore ecosystems, inform conservation policy, and manage living resources. We define conservation physiology broadly and encourage potential authors to contact the editorial team if they have any questions regarding the remit of the journal.
×
引用
GB/T 7714-2015
复制
MLA
复制
APA
复制
导出至
BibTeX EndNote RefMan NoteFirst NoteExpress
×
提示
您的信息不完整,为了账户安全,请先补充。
现在去补充
×
提示
您因"违规操作"
具体请查看互助需知
我知道了
×
提示
确定
请完成安全验证×
copy
已复制链接
快去分享给好友吧!
我知道了
右上角分享
点击右上角分享
0
联系我们:info@booksci.cn Book学术提供免费学术资源搜索服务,方便国内外学者检索中英文文献。致力于提供最便捷和优质的服务体验。 Copyright © 2023 布克学术 All rights reserved.
京ICP备2023020795号-1
ghs 京公网安备 11010802042870号
Book学术文献互助
Book学术文献互助群
群 号:604180095
Book学术官方微信