Heart Rate Variability during Nostril-Regulated Yoga Breathing: A Randomized Crossover Study.

IF 1.1 Q3 INTEGRATIVE & COMPLEMENTARY MEDICINE
International Journal of Yoga Pub Date : 2024-09-01 Epub Date: 2024-12-14 DOI:10.4103/ijoy.ijoy_119_24
Shirley Telles, Alok Singh, Sachin Kumar Sharma, Acharya Balkrishna
{"title":"Heart Rate Variability during Nostril-Regulated Yoga Breathing: A Randomized Crossover Study.","authors":"Shirley Telles, Alok Singh, Sachin Kumar Sharma, Acharya Balkrishna","doi":"10.4103/ijoy.ijoy_119_24","DOIUrl":null,"url":null,"abstract":"<p><strong>Background: </strong>Previous studies of nostril-regulated yoga breathing have focused on unilateral breathing with both inspiration and expiration through a specified nostril. However, traditionally described yoga breathing involves inspiration through one nostril and expiration through the other, called <i>suryabhedan pranayama</i> (SBP) (right nostril inspiration) and <i>chandrabhedan pranayama</i> (CBP) (left nostril inspiration). The effects of these practices were investigated here.</p><p><strong>Methods: </strong>Forty-seven healthy male participants (group mean age ± standard deviation [SD]; 26.34 ± 6.38 years) with prior experience of yoga breathing (group mean age ± SD; 43.64 ± 32.84 months) were randomly assigned to four sessions on separate days: (i) SBP, (ii) CBP, (iii) Breath awareness, and (iv) Quiet rest. The heart rate variability (HRV) and breath rate were recorded pre, during, and post each practice.</p><p><strong>Results: </strong>There was a significant increase in low frequency (LF) power and SD of NN intervals during SBP and CBP in comparison to the respective preceding (<i>P</i> < 0.05; repeated measures analyses of variance with Bonferroni adjusted <i>post hoc</i> analysis), while LF increased post-CBP alone. During both interventions, there were significant reductions in respiration rate.</p><p><strong>Conclusion: </strong>The changes in HRV suggest common rather than distinct changes in SBP and CBP suggestive of respiration-related increased cardiac parasympathetic activity. The involvement of both nostrils in SBP and CBP may have contributed to the comparable effects of the two practices.</p>","PeriodicalId":14436,"journal":{"name":"International Journal of Yoga","volume":"17 3","pages":"203-210"},"PeriodicalIF":1.1000,"publicationDate":"2024-09-01","publicationTypes":"Journal Article","fieldsOfStudy":null,"isOpenAccess":false,"openAccessPdf":"https://www.ncbi.nlm.nih.gov/pmc/articles/PMC11823553/pdf/","citationCount":"0","resultStr":null,"platform":"Semanticscholar","paperid":null,"PeriodicalName":"International Journal of Yoga","FirstCategoryId":"1085","ListUrlMain":"https://doi.org/10.4103/ijoy.ijoy_119_24","RegionNum":0,"RegionCategory":null,"ArticlePicture":[],"TitleCN":null,"AbstractTextCN":null,"PMCID":null,"EPubDate":"2024/12/14 0:00:00","PubModel":"Epub","JCR":"Q3","JCRName":"INTEGRATIVE & COMPLEMENTARY MEDICINE","Score":null,"Total":0}
引用次数: 0

Abstract

Background: Previous studies of nostril-regulated yoga breathing have focused on unilateral breathing with both inspiration and expiration through a specified nostril. However, traditionally described yoga breathing involves inspiration through one nostril and expiration through the other, called suryabhedan pranayama (SBP) (right nostril inspiration) and chandrabhedan pranayama (CBP) (left nostril inspiration). The effects of these practices were investigated here.

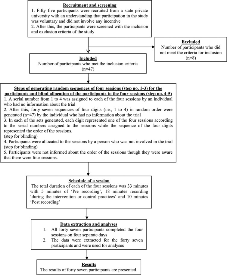
Methods: Forty-seven healthy male participants (group mean age ± standard deviation [SD]; 26.34 ± 6.38 years) with prior experience of yoga breathing (group mean age ± SD; 43.64 ± 32.84 months) were randomly assigned to four sessions on separate days: (i) SBP, (ii) CBP, (iii) Breath awareness, and (iv) Quiet rest. The heart rate variability (HRV) and breath rate were recorded pre, during, and post each practice.

Results: There was a significant increase in low frequency (LF) power and SD of NN intervals during SBP and CBP in comparison to the respective preceding (P < 0.05; repeated measures analyses of variance with Bonferroni adjusted post hoc analysis), while LF increased post-CBP alone. During both interventions, there were significant reductions in respiration rate.

Conclusion: The changes in HRV suggest common rather than distinct changes in SBP and CBP suggestive of respiration-related increased cardiac parasympathetic activity. The involvement of both nostrils in SBP and CBP may have contributed to the comparable effects of the two practices.

Abstract Image

Abstract Image

Abstract Image

在鼻孔调节瑜伽呼吸中的心率变异性:一项随机交叉研究。
背景:先前关于鼻孔调节瑜伽呼吸的研究主要集中在通过特定的鼻孔吸气和呼气的单侧呼吸。然而,传统上描述的瑜伽呼吸包括通过一个鼻孔吸气和通过另一个鼻孔呼气,称为右鼻孔吸气(SBP)和左鼻孔吸气(CBP)。本文对这些做法的影响进行了研究。方法:47名健康男性受试者(组平均年龄±标准差[SD];26.34±6.38岁),既往有瑜伽呼吸经验(组平均年龄±SD;43.64±32.84个月),随机分为四个疗程,分别在不同的日子进行:(i)收缩压,(ii) CBP, (iii)呼吸意识,(iv)安静休息。心率变异性(HRV)和呼吸频率记录在每次练习前、中、后。结果:收缩压组和CBP组神经网络间隔低频功率和SD均显著高于对照组(P < 0.05;使用Bonferroni调整后的方差分析进行重复测量分析),而单独cbp后LF增加。在两种干预措施中,呼吸速率均显著降低。结论:HRV的变化提示收缩压和CBP的共同变化,而不是明显的变化,提示呼吸相关的心脏副交感神经活动增加。参与收缩压和CBP的两个鼻孔可能有助于两种做法的可比效果。
本文章由计算机程序翻译,如有差异,请以英文原文为准。
求助全文
约1分钟内获得全文 求助全文
来源期刊
International Journal of Yoga
International Journal of Yoga INTEGRATIVE & COMPLEMENTARY MEDICINE-
自引率
12.50%
发文量
37
审稿时长
24 weeks
×
引用
GB/T 7714-2015
复制
MLA
复制
APA
复制
导出至
BibTeX EndNote RefMan NoteFirst NoteExpress
×
提示
您的信息不完整,为了账户安全,请先补充。
现在去补充
×
提示
您因"违规操作"
具体请查看互助需知
我知道了
×
提示
确定
请完成安全验证×
copy
已复制链接
快去分享给好友吧!
我知道了
右上角分享
点击右上角分享
0
联系我们:info@booksci.cn Book学术提供免费学术资源搜索服务,方便国内外学者检索中英文文献。致力于提供最便捷和优质的服务体验。 Copyright © 2023 布克学术 All rights reserved.
京ICP备2023020795号-1
ghs 京公网安备 11010802042870号
Book学术文献互助
Book学术文献互助群
群 号:604180095
Book学术官方微信