Validation of a clinical prediction model for falls in community-dwelling older adults with COPD: A preliminary analysis.

IF 2.3 3区 医学 Q2 RESPIRATORY SYSTEM
Khang T Nguyen, Cindy Ellerton, Joshua Wald, Natya Raghavan, Luciana G Macedo, Dina Brooks, Roger Goldstein, Marla K Beauchamp
{"title":"Validation of a clinical prediction model for falls in community-dwelling older adults with COPD: A preliminary analysis.","authors":"Khang T Nguyen, Cindy Ellerton, Joshua Wald, Natya Raghavan, Luciana G Macedo, Dina Brooks, Roger Goldstein, Marla K Beauchamp","doi":"10.1177/14799731251321494","DOIUrl":null,"url":null,"abstract":"<p><strong>Background: </strong>People with chronic obstructive pulmonary disease (COPD) are at a higher risk of falls. This preliminary study aims to externally validate a previously developed clinical prediction model for falls in community-dwelling older adults with COPD.</p><p><strong>Methods: </strong>This was a secondary analysis of a 12-month prospective cohort study. Older adults (≥60 years) with COPD, who reported a fall in the past year and/or had balance concerns, were tracked for 12-month future falls. Baseline predictors included 12-month history of ≥2 falls, total chronic conditions, and Timed Up and Go Dual-Task (TUG-DT) test scores. Model performance was assessed for discrimination (c-statistic), calibration (E:O, CITL, and calibration slope), and clinical value (decision curve analysis).</p><p><strong>Results: </strong>The study included 89 participants (average age 73 ± 9 years; 83 females; FEV<sub>1</sub>%predicted = 47%). Of these, 35 (39%) reported ≥1 future fall, totaling 89 falls. The model demonstrated acceptable discrimination (c-statistic = 0.62, CI [0.51,0.72]), and calibration (E:O = 1, CITL = 0, and a calibration slope = 1). Decision curve analysis showed greater clinical value when using the prediction model compared to screening for fall history alone.</p><p><strong>Conclusions: </strong>A 12-month history of ≥2 falls, higher total chronic conditions, and worse TUG-DT test scores, predicts falls in community-dwelling older adults with COPD. Larger studies are needed before clinical application.</p>","PeriodicalId":10217,"journal":{"name":"Chronic Respiratory Disease","volume":"22 ","pages":"14799731251321494"},"PeriodicalIF":2.3000,"publicationDate":"2025-01-01","publicationTypes":"Journal Article","fieldsOfStudy":null,"isOpenAccess":false,"openAccessPdf":"https://www.ncbi.nlm.nih.gov/pmc/articles/PMC11831686/pdf/","citationCount":"0","resultStr":null,"platform":"Semanticscholar","paperid":null,"PeriodicalName":"Chronic Respiratory Disease","FirstCategoryId":"3","ListUrlMain":"https://doi.org/10.1177/14799731251321494","RegionNum":3,"RegionCategory":"医学","ArticlePicture":[],"TitleCN":null,"AbstractTextCN":null,"PMCID":null,"EPubDate":"","PubModel":"","JCR":"Q2","JCRName":"RESPIRATORY SYSTEM","Score":null,"Total":0}
引用次数: 0

Abstract

Background: People with chronic obstructive pulmonary disease (COPD) are at a higher risk of falls. This preliminary study aims to externally validate a previously developed clinical prediction model for falls in community-dwelling older adults with COPD.

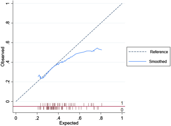
Methods: This was a secondary analysis of a 12-month prospective cohort study. Older adults (≥60 years) with COPD, who reported a fall in the past year and/or had balance concerns, were tracked for 12-month future falls. Baseline predictors included 12-month history of ≥2 falls, total chronic conditions, and Timed Up and Go Dual-Task (TUG-DT) test scores. Model performance was assessed for discrimination (c-statistic), calibration (E:O, CITL, and calibration slope), and clinical value (decision curve analysis).

Results: The study included 89 participants (average age 73 ± 9 years; 83 females; FEV1%predicted = 47%). Of these, 35 (39%) reported ≥1 future fall, totaling 89 falls. The model demonstrated acceptable discrimination (c-statistic = 0.62, CI [0.51,0.72]), and calibration (E:O = 1, CITL = 0, and a calibration slope = 1). Decision curve analysis showed greater clinical value when using the prediction model compared to screening for fall history alone.

Conclusions: A 12-month history of ≥2 falls, higher total chronic conditions, and worse TUG-DT test scores, predicts falls in community-dwelling older adults with COPD. Larger studies are needed before clinical application.

Abstract Image

Abstract Image

Abstract Image

社区老年COPD患者跌倒的临床预测模型的验证:初步分析。
背景:慢性阻塞性肺疾病(COPD)患者发生跌倒的风险较高。这项初步研究旨在从外部验证先前开发的社区居住老年COPD患者跌倒的临床预测模型。方法:这是一项为期12个月的前瞻性队列研究的二次分析。在过去一年中报告跌倒和/或有平衡问题的COPD老年人(≥60岁)在未来12个月内进行追踪。基线预测指标包括12个月≥2次跌倒史、总慢性疾病和Timed Up and Go双任务(tag - dt)测试分数。对模型性能进行判别(c统计量)、校准(E:O、CITL和校准斜率)和临床价值(决策曲线分析)评估。结果:共纳入89例受试者(平均年龄73±9岁;83女性;fev1 %预测= 47%)。其中35例(39%)报告未来跌倒≥1次,共计89例。该模型具有可接受的鉴别(c-statistic = 0.62, CI[0.51,0.72])和校准(E:O = 1, CITL = 0,校准斜率= 1)。与单独筛查跌倒史相比,使用预测模型时决策曲线分析显示更大的临床价值。结论:12个月≥2次跌倒史、较高的总慢性疾病和较差的TUG-DT测试分数预示着社区居住的老年COPD患者的跌倒。在临床应用前需要更大规模的研究。
本文章由计算机程序翻译,如有差异,请以英文原文为准。
求助全文
约1分钟内获得全文 求助全文
来源期刊
Chronic Respiratory Disease
Chronic Respiratory Disease RESPIRATORY SYSTEM-
CiteScore
5.90
自引率
7.30%
发文量
47
审稿时长
11 weeks
期刊介绍: Chronic Respiratory Disease is a peer-reviewed, open access, scholarly journal, created in response to the rising incidence of chronic respiratory diseases worldwide. It publishes high quality research papers and original articles that have immediate relevance to clinical practice and its multi-disciplinary perspective reflects the nature of modern treatment. The journal provides a high quality, multi-disciplinary focus for the publication of original papers, reviews and commentary in the broad area of chronic respiratory disease, particularly its treatment and management.
×
引用
GB/T 7714-2015
复制
MLA
复制
APA
复制
导出至
BibTeX EndNote RefMan NoteFirst NoteExpress
×
提示
您的信息不完整,为了账户安全,请先补充。
现在去补充
×
提示
您因"违规操作"
具体请查看互助需知
我知道了
×
提示
确定
请完成安全验证×
copy
已复制链接
快去分享给好友吧!
我知道了
右上角分享
点击右上角分享
0
联系我们:info@booksci.cn Book学术提供免费学术资源搜索服务,方便国内外学者检索中英文文献。致力于提供最便捷和优质的服务体验。 Copyright © 2023 布克学术 All rights reserved.
京ICP备2023020795号-1
ghs 京公网安备 11010802042870号
Book学术文献互助
Book学术文献互助群
群 号:604180095
Book学术官方微信