Early increase in carotid intima-media thickness in women with childhood-onset type 1 diabetes compared with healthy peers: the Norwegian Atherosclerosis and Childhood Diabetes study.

IF 4.1 2区 医学 Q2 ENDOCRINOLOGY & METABOLISM
Aida Simeunovic, Cathrine Brunborg, Martin Heier, Tore Julsrud Berg, Knut Dahl-Jorgensen, Hanna Dis Margeirsdottir
{"title":"Early increase in carotid intima-media thickness in women with childhood-onset type 1 diabetes compared with healthy peers: the Norwegian Atherosclerosis and Childhood Diabetes study.","authors":"Aida Simeunovic, Cathrine Brunborg, Martin Heier, Tore Julsrud Berg, Knut Dahl-Jorgensen, Hanna Dis Margeirsdottir","doi":"10.1136/bmjdrc-2024-004505","DOIUrl":null,"url":null,"abstract":"<p><strong>Introduction: </strong>The risk of cardiovascular disease is increased in individuals with type 1 diabetes, despite good glycemic control. This study aims to evaluate early signs of atherosclerosis and predisposing factors in individuals with childhood-onset type 1 diabetes compared with healthy controls.</p><p><strong>Research design and methods: </strong>The Atherosclerosis and Childhood Diabetes study is a prospective population-based cohort study with follow-up every fifth year. The cohort consists of 329 subjects with type 1 diabetes and 173 controls. Carotid intima-media thickness (cIMT) was measured at baseline and 5 and 10 years of follow-up. Data from the Norwegian Childhood Diabetes Registry were used in assessment of traditional risk factors.</p><p><strong>Results: </strong>Mean cIMT in young women with type 1 diabetes increased significantly over a 10-year period compared with healthy controls (∆0.019 mm (0.001-0.035), p=0.035). At the 10-year follow-up the group with type 1 diabetes had a mean age of 24.2±2.9 years (13.7±2.8 years at baseline), diabetes duration of 15.6±3.4 years (5.4±3.3 years at baseline) and HbA1c of 8.2±3.6% (66±16 mmol/mol) (8.4±3.4% (68±13 mmol/mol) at baseline). Women with type 1 diabetes had significantly higher mean weight, body mass index, waist circumference, diastolic blood pressure (DBP), serum low-density lipoprotein (LDL)-cholesterol and apolipoprotein B, while men with type 1 diabetes had significantly higher mean DBP and urinary albumin-creatinine ratio compared with the control group. Mean cIMT change over time was not associated with long-term HbA1c or LDL-cholesterol burden in childhood and adolescence.</p><p><strong>Conclusion: </strong>Young women with childhood-onset type 1 diabetes of relatively short diabetes duration had a higher mean cIMT over a 10-year period compared with their healthy female controls, with values similar to males.</p>","PeriodicalId":9151,"journal":{"name":"BMJ Open Diabetes Research & Care","volume":"13 1","pages":""},"PeriodicalIF":4.1000,"publicationDate":"2025-02-16","publicationTypes":"Journal Article","fieldsOfStudy":null,"isOpenAccess":false,"openAccessPdf":"https://www.ncbi.nlm.nih.gov/pmc/articles/PMC11831298/pdf/","citationCount":"0","resultStr":null,"platform":"Semanticscholar","paperid":null,"PeriodicalName":"BMJ Open Diabetes Research & Care","FirstCategoryId":"3","ListUrlMain":"https://doi.org/10.1136/bmjdrc-2024-004505","RegionNum":2,"RegionCategory":"医学","ArticlePicture":[],"TitleCN":null,"AbstractTextCN":null,"PMCID":null,"EPubDate":"","PubModel":"","JCR":"Q2","JCRName":"ENDOCRINOLOGY & METABOLISM","Score":null,"Total":0}
引用次数: 0

Abstract

Introduction: The risk of cardiovascular disease is increased in individuals with type 1 diabetes, despite good glycemic control. This study aims to evaluate early signs of atherosclerosis and predisposing factors in individuals with childhood-onset type 1 diabetes compared with healthy controls.

Research design and methods: The Atherosclerosis and Childhood Diabetes study is a prospective population-based cohort study with follow-up every fifth year. The cohort consists of 329 subjects with type 1 diabetes and 173 controls. Carotid intima-media thickness (cIMT) was measured at baseline and 5 and 10 years of follow-up. Data from the Norwegian Childhood Diabetes Registry were used in assessment of traditional risk factors.

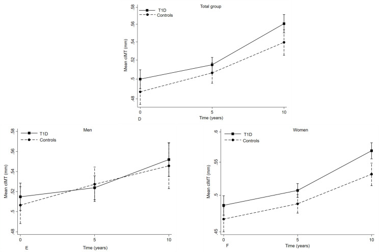
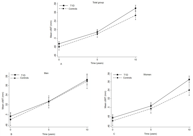
Results: Mean cIMT in young women with type 1 diabetes increased significantly over a 10-year period compared with healthy controls (∆0.019 mm (0.001-0.035), p=0.035). At the 10-year follow-up the group with type 1 diabetes had a mean age of 24.2±2.9 years (13.7±2.8 years at baseline), diabetes duration of 15.6±3.4 years (5.4±3.3 years at baseline) and HbA1c of 8.2±3.6% (66±16 mmol/mol) (8.4±3.4% (68±13 mmol/mol) at baseline). Women with type 1 diabetes had significantly higher mean weight, body mass index, waist circumference, diastolic blood pressure (DBP), serum low-density lipoprotein (LDL)-cholesterol and apolipoprotein B, while men with type 1 diabetes had significantly higher mean DBP and urinary albumin-creatinine ratio compared with the control group. Mean cIMT change over time was not associated with long-term HbA1c or LDL-cholesterol burden in childhood and adolescence.

Conclusion: Young women with childhood-onset type 1 diabetes of relatively short diabetes duration had a higher mean cIMT over a 10-year period compared with their healthy female controls, with values similar to males.

Abstract Image

Abstract Image

Abstract Image

与健康同龄人相比,儿童期发病的1型糖尿病女性颈动脉内膜-中膜厚度早期增加:挪威动脉粥样硬化和儿童糖尿病研究
导论:1型糖尿病患者的心血管疾病风险增加,尽管血糖控制良好。本研究旨在评估儿童期发病的1型糖尿病患者与健康对照者的动脉粥样硬化早期症状和易感因素。研究设计和方法:动脉粥样硬化与儿童糖尿病研究是一项基于人群的前瞻性队列研究,每五年随访一次。该队列包括329名1型糖尿病患者和173名对照组。在基线和5年和10年随访时测量颈动脉内膜-中膜厚度(cIMT)。来自挪威儿童糖尿病登记处的数据被用于评估传统的危险因素。结果:与健康对照组相比,年轻1型糖尿病女性患者的平均cIMT在10年期间显著增加(∆0.019 mm (0.001-0.035), p=0.035)。在10年的随访中,1型糖尿病组的平均年龄为24.2±2.9岁(基线为13.7±2.8岁),糖尿病病程为15.6±3.4年(基线为5.4±3.3年),HbA1c为8.2±3.6%(66±16 mmol/mol)(基线为8.4±3.4%(68±13 mmol/mol))。1型糖尿病女性患者的平均体重、体重指数、腰围、舒张压(DBP)、血清低密度脂蛋白(LDL)-胆固醇和载脂蛋白B显著高于对照组,而1型糖尿病男性患者的平均DBP和尿白蛋白-肌酐比显著高于对照组。平均cIMT随时间的变化与儿童期和青春期长期HbA1c或ldl -胆固醇负担无关。结论:与健康女性对照组相比,儿童期发病的1型糖尿病病程相对较短的年轻女性在10年期间的平均cIMT较高,其值与男性相似。
本文章由计算机程序翻译,如有差异,请以英文原文为准。
求助全文
约1分钟内获得全文 求助全文
来源期刊
BMJ Open Diabetes Research & Care
BMJ Open Diabetes Research & Care Medicine-Endocrinology, Diabetes and Metabolism
CiteScore
9.30
自引率
2.40%
发文量
123
审稿时长
18 weeks
期刊介绍: BMJ Open Diabetes Research & Care is an open access journal committed to publishing high-quality, basic and clinical research articles regarding type 1 and type 2 diabetes, and associated complications. Only original content will be accepted, and submissions are subject to rigorous peer review to ensure the publication of high-quality — and evidence-based — original research articles.
×
引用
GB/T 7714-2015
复制
MLA
复制
APA
复制
导出至
BibTeX EndNote RefMan NoteFirst NoteExpress
×
提示
您的信息不完整,为了账户安全,请先补充。
现在去补充
×
提示
您因"违规操作"
具体请查看互助需知
我知道了
×
提示
确定
请完成安全验证×
copy
已复制链接
快去分享给好友吧!
我知道了
右上角分享
点击右上角分享
0
联系我们:info@booksci.cn Book学术提供免费学术资源搜索服务,方便国内外学者检索中英文文献。致力于提供最便捷和优质的服务体验。 Copyright © 2023 布克学术 All rights reserved.
京ICP备2023020795号-1
ghs 京公网安备 11010802042870号
Book学术文献互助
Book学术文献互助群
群 号:604180095
Book学术官方微信