Hyperferritinemia is Associated with Thrombocytopenia and Increased Mortality Risk in Adult Sepsis Patients: A Retrospective Study of Two Observational Cohorts.

IF 2 4区 医学 Q2 HEMATOLOGY
Dengzhe Li, Xinqiang Li, Bo Wen, Boling Li, Yan Wang, Yuan Zong, Jun Lyu
{"title":"Hyperferritinemia is Associated with Thrombocytopenia and Increased Mortality Risk in Adult Sepsis Patients: A Retrospective Study of Two Observational Cohorts.","authors":"Dengzhe Li, Xinqiang Li, Bo Wen, Boling Li, Yan Wang, Yuan Zong, Jun Lyu","doi":"10.1177/10760296251321314","DOIUrl":null,"url":null,"abstract":"<p><strong>Objective: </strong>Markedly elevated serum ferritin serves as a laboratory marker of macrophage activation syndrome and is associated with increased mortality in sepsis, where hyperinflammation, coagulopathy, and immune dysregulation interplay. Although laboratory studies suggest a relationship between hyperferritinemia and coagulopathy in sepsis, clinical evidence remains limited. This study aims to assess mortality risk and the interplay between hyperferritinemia (ferritin ≥ 500 ng/mL) and thrombocytopenia in two sequential cohorts of adult patients with sepsis.</p><p><strong>Patients: </strong>Patients with sepsis (≥18 years old) admitted to adult ICUs at Beth Israel Deaconess Medical Center between 2001 and 2008, and 2008 to 2019, with at least one ferritin value recorded within a 48-h window preceding or following the initial ICU admission.</p><p><strong>Results: </strong>Among 2339 eligible patients with hyperferritinemic sepsis, 921(39.4%) were categorized into the high ferritin (HF) group (ferritin ≥ 500 ng/mL). Multivariate logistic regression analysis revealed a significant association between the HF group and increased in-hospital mortality (p < .01). Survival analysis revealed significantly lower survival probabilities at 28 and 90 days in the HF group compared to the low ferritin group. The interaction between the HF group and thrombocytopenia revealed a statistically significant association with in-hospital mortality. Furthermore, causal mediation analysis showed that platelet count mediated 12.6% (95% CI: 0.063-0.27; p < .001) of the effect of elevated ferritin levels on in-hospital mortality.</p><p><strong>Conclusions: </strong>Hyperferritinemia is associated with an increased mortality risk in adult septic patients. Thrombocytopenia not only interacts with hyperferritinemia but also serves as a mediating factor in its impact on mortality.</p>","PeriodicalId":10335,"journal":{"name":"Clinical and Applied Thrombosis/Hemostasis","volume":"31 ","pages":"10760296251321314"},"PeriodicalIF":2.0000,"publicationDate":"2025-01-01","publicationTypes":"Journal Article","fieldsOfStudy":null,"isOpenAccess":false,"openAccessPdf":"https://www.ncbi.nlm.nih.gov/pmc/articles/PMC11831685/pdf/","citationCount":"0","resultStr":null,"platform":"Semanticscholar","paperid":null,"PeriodicalName":"Clinical and Applied Thrombosis/Hemostasis","FirstCategoryId":"3","ListUrlMain":"https://doi.org/10.1177/10760296251321314","RegionNum":4,"RegionCategory":"医学","ArticlePicture":[],"TitleCN":null,"AbstractTextCN":null,"PMCID":null,"EPubDate":"","PubModel":"","JCR":"Q2","JCRName":"HEMATOLOGY","Score":null,"Total":0}
引用次数: 0

Abstract

Objective: Markedly elevated serum ferritin serves as a laboratory marker of macrophage activation syndrome and is associated with increased mortality in sepsis, where hyperinflammation, coagulopathy, and immune dysregulation interplay. Although laboratory studies suggest a relationship between hyperferritinemia and coagulopathy in sepsis, clinical evidence remains limited. This study aims to assess mortality risk and the interplay between hyperferritinemia (ferritin ≥ 500 ng/mL) and thrombocytopenia in two sequential cohorts of adult patients with sepsis.

Patients: Patients with sepsis (≥18 years old) admitted to adult ICUs at Beth Israel Deaconess Medical Center between 2001 and 2008, and 2008 to 2019, with at least one ferritin value recorded within a 48-h window preceding or following the initial ICU admission.

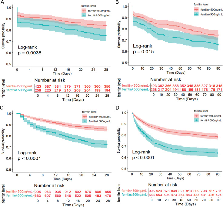
Results: Among 2339 eligible patients with hyperferritinemic sepsis, 921(39.4%) were categorized into the high ferritin (HF) group (ferritin ≥ 500 ng/mL). Multivariate logistic regression analysis revealed a significant association between the HF group and increased in-hospital mortality (p < .01). Survival analysis revealed significantly lower survival probabilities at 28 and 90 days in the HF group compared to the low ferritin group. The interaction between the HF group and thrombocytopenia revealed a statistically significant association with in-hospital mortality. Furthermore, causal mediation analysis showed that platelet count mediated 12.6% (95% CI: 0.063-0.27; p < .001) of the effect of elevated ferritin levels on in-hospital mortality.

Conclusions: Hyperferritinemia is associated with an increased mortality risk in adult septic patients. Thrombocytopenia not only interacts with hyperferritinemia but also serves as a mediating factor in its impact on mortality.

Abstract Image

Abstract Image

Abstract Image

高铁蛋白血症与成年脓毒症患者血小板减少和死亡风险增加有关:两个观察性队列的回顾性研究
目的:血清铁蛋白显著升高是巨噬细胞激活综合征的实验室标志物,与败血症死亡率增加有关,其中高炎症、凝血功能障碍和免疫失调相互作用。虽然实验室研究表明高铁蛋白血症和败血症凝血功能障碍之间的关系,但临床证据仍然有限。本研究旨在评估两组成人脓毒症患者的死亡率风险以及高铁蛋白血症(铁蛋白≥500 ng/mL)与血小板减少症之间的相互作用。患者:2001年至2008年和2008年至2019年在贝斯以色列女执事医疗中心入住成人ICU的脓毒症患者(≥18岁),在首次入住ICU之前或之后的48小时窗内记录至少一个铁蛋白值。结果:2339例符合条件的高铁素血症脓毒症患者中,921例(39.4%)属于高铁蛋白(HF)组(铁蛋白≥500 ng/mL)。多因素logistic回归分析显示HF组与住院死亡率增加之间存在显著关联(p)。结论:高铁素血症与成人脓毒症患者死亡风险增加相关。血小板减少症不仅与高铁蛋白血症相互作用,而且还作为其影响死亡率的中介因素。
本文章由计算机程序翻译,如有差异,请以英文原文为准。
求助全文
约1分钟内获得全文 求助全文
来源期刊
CiteScore
4.40
自引率
3.40%
发文量
150
审稿时长
2 months
期刊介绍: CATH is a peer-reviewed bi-monthly journal that addresses the practical clinical and laboratory issues involved in managing bleeding and clotting disorders, especially those related to thrombosis, hemostasis, and vascular disorders. CATH covers clinical trials, studies on etiology, pathophysiology, diagnosis and treatment of thrombohemorrhagic disorders.
×
引用
GB/T 7714-2015
复制
MLA
复制
APA
复制
导出至
BibTeX EndNote RefMan NoteFirst NoteExpress
×
提示
您的信息不完整,为了账户安全,请先补充。
现在去补充
×
提示
您因"违规操作"
具体请查看互助需知
我知道了
×
提示
确定
请完成安全验证×
copy
已复制链接
快去分享给好友吧!
我知道了
右上角分享
点击右上角分享
0
联系我们:info@booksci.cn Book学术提供免费学术资源搜索服务,方便国内外学者检索中英文文献。致力于提供最便捷和优质的服务体验。 Copyright © 2023 布克学术 All rights reserved.
京ICP备2023020795号-1
ghs 京公网安备 11010802042870号
Book学术文献互助
Book学术文献互助群
群 号:604180095
Book学术官方微信
小红书