Intraoperative hemodynamic management in abdominal aortic surgery guided by the Hypotension Prediction Index: the Hemas multicentric observational study.

IF 3.1
Enrico Giustiniano, Fulvio Nisi, Federica Ferrod, Giulia Lionetti, Cristina Viscido, Antonio Reda, Federico Piccioni, Gabriella Buono, Maurizio Cecconi
{"title":"Intraoperative hemodynamic management in abdominal aortic surgery guided by the Hypotension Prediction Index: the Hemas multicentric observational study.","authors":"Enrico Giustiniano, Fulvio Nisi, Federica Ferrod, Giulia Lionetti, Cristina Viscido, Antonio Reda, Federico Piccioni, Gabriella Buono, Maurizio Cecconi","doi":"10.1186/s44158-024-00222-x","DOIUrl":null,"url":null,"abstract":"<p><strong>Background: </strong>Intraoperative hypotension (IOH) during non-cardiac surgery is closely associated with postoperative complications. Hypotensive events are more likely during major open vascular surgery. We prospectively investigated whether our institutional algorithm of cardiocirculatory management, which included the Hypotension Prediction Index (HPI), a predictive model of hypotension of the Hemosphere™ platform (Edwards Lifescience, Irwin, CA, USA), was able to reduce the incidence and severity of intraoperative hypotension during open abdominal aortic aneurysm repair.</p><p><strong>Methods: </strong>A multi-center observational study was conducted at IRCCS-Humanitas Research Hospital (Milan) and AO Mauriziano Umberto I Hospital (Turin) between July 2022 and September 2023, enrolling patients undergoing elective open abdominal aortic aneurysm repair. A hemodynamic protocol based on the Acumen-HPI Hemosphere™ platform was employed, integrating advanced parameters (e.g., HPI, Ea-dyn, dP/dt) and tailored interventions to minimize intraoperative hypotension. The primary endpoint was cumulative intraoperative hypotension time < 10% of surgical time, with secondary endpoints including incidence of hypotensive events, time-weighted averages of MAP < 65 mmHg (TWA65) and < 50 mmHg (TWA50), and postoperative complications.</p><p><strong>Results: </strong>We enrolled 53 patients submitted to open abdominal aortic repair. The primary endpoint (time in hypotension < 10%) was successfully reached: 5 [1-10] %. The targeted time-weighted average (< 0.40 mmHg) both for MAP < 65 mmHg (TWA65) and MAP < 50 mmHg (severe hypotension; TWA50) were reached: TWA65 = 0.26 [0.04-0.65] mmHg and TWA50 = 0.00 [0.00-0.01].</p><p><strong>Conclusions: </strong>Our hemodynamic management algorithm based on the HPI and other parameters of the Hemosphere™ platform was able to limit the incidence and severity of intraoperative hypotension during open abdominal aortic repair.</p><p><strong>Trial registration: </strong>NCT05478564.</p>","PeriodicalId":73597,"journal":{"name":"Journal of Anesthesia, Analgesia and Critical Care (Online)","volume":"5 1","pages":"7"},"PeriodicalIF":3.1000,"publicationDate":"2025-02-13","publicationTypes":"Journal Article","fieldsOfStudy":null,"isOpenAccess":false,"openAccessPdf":"https://www.ncbi.nlm.nih.gov/pmc/articles/PMC11823129/pdf/","citationCount":"0","resultStr":null,"platform":"Semanticscholar","paperid":null,"PeriodicalName":"Journal of Anesthesia, Analgesia and Critical Care (Online)","FirstCategoryId":"1085","ListUrlMain":"https://doi.org/10.1186/s44158-024-00222-x","RegionNum":0,"RegionCategory":null,"ArticlePicture":[],"TitleCN":null,"AbstractTextCN":null,"PMCID":null,"EPubDate":"","PubModel":"","JCR":"","JCRName":"","Score":null,"Total":0}
引用次数: 0

Abstract

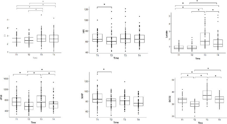
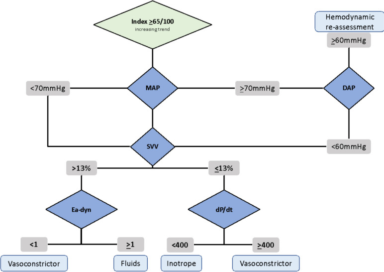
Background: Intraoperative hypotension (IOH) during non-cardiac surgery is closely associated with postoperative complications. Hypotensive events are more likely during major open vascular surgery. We prospectively investigated whether our institutional algorithm of cardiocirculatory management, which included the Hypotension Prediction Index (HPI), a predictive model of hypotension of the Hemosphere™ platform (Edwards Lifescience, Irwin, CA, USA), was able to reduce the incidence and severity of intraoperative hypotension during open abdominal aortic aneurysm repair.

Methods: A multi-center observational study was conducted at IRCCS-Humanitas Research Hospital (Milan) and AO Mauriziano Umberto I Hospital (Turin) between July 2022 and September 2023, enrolling patients undergoing elective open abdominal aortic aneurysm repair. A hemodynamic protocol based on the Acumen-HPI Hemosphere™ platform was employed, integrating advanced parameters (e.g., HPI, Ea-dyn, dP/dt) and tailored interventions to minimize intraoperative hypotension. The primary endpoint was cumulative intraoperative hypotension time < 10% of surgical time, with secondary endpoints including incidence of hypotensive events, time-weighted averages of MAP < 65 mmHg (TWA65) and < 50 mmHg (TWA50), and postoperative complications.

Results: We enrolled 53 patients submitted to open abdominal aortic repair. The primary endpoint (time in hypotension < 10%) was successfully reached: 5 [1-10] %. The targeted time-weighted average (< 0.40 mmHg) both for MAP < 65 mmHg (TWA65) and MAP < 50 mmHg (severe hypotension; TWA50) were reached: TWA65 = 0.26 [0.04-0.65] mmHg and TWA50 = 0.00 [0.00-0.01].

Conclusions: Our hemodynamic management algorithm based on the HPI and other parameters of the Hemosphere™ platform was able to limit the incidence and severity of intraoperative hypotension during open abdominal aortic repair.

Trial registration: NCT05478564.

Abstract Image

Abstract Image

Abstract Image

低血压预测指数指导下腹主动脉手术的术中血流动力学管理:Hemas多中心观察研究
背景:非心脏手术中术中低血压(IOH)与术后并发症密切相关。在大的开放血管手术中更容易发生低血压事件。我们前瞻性地研究了我们的机构循环管理算法,包括低血压预测指数(HPI),一个血球™平台(Edwards Lifescience, Irwin, CA, USA)的低血压预测模型,是否能够降低开放式腹主动脉瘤修复术中低血压的发生率和严重程度。方法:2022年7月至2023年9月,在ircc - humanitas研究医院(米兰)和AO Mauriziano Umberto I医院(都灵)进行了一项多中心观察性研究,纳入了选择性腹主动脉瘤切开修复术的患者。采用了基于Acumen-HPI haemsphere™平台的血流动力学方案,整合了先进的参数(如HPI、Ea-dyn、dP/dt)和量身定制的干预措施,以尽量减少术中低血压。主要终点是术中累计降压时间。结果:我们纳入了53例接受腹主动脉切开修复的患者。结论:我们基于HPI和haemsphere™平台的其他参数的血流动力学管理算法能够限制腹主动脉切开修复术中低血压的发生率和严重程度。试验注册:NCT05478564。
本文章由计算机程序翻译,如有差异,请以英文原文为准。
求助全文
约1分钟内获得全文 求助全文
来源期刊
CiteScore
1.40
自引率
0.00%
发文量
0
×
引用
GB/T 7714-2015
复制
MLA
复制
APA
复制
导出至
BibTeX EndNote RefMan NoteFirst NoteExpress
×
提示
您的信息不完整,为了账户安全,请先补充。
现在去补充
×
提示
您因"违规操作"
具体请查看互助需知
我知道了
×
提示
确定
请完成安全验证×
copy
已复制链接
快去分享给好友吧!
我知道了
右上角分享
点击右上角分享
0
联系我们:info@booksci.cn Book学术提供免费学术资源搜索服务,方便国内外学者检索中英文文献。致力于提供最便捷和优质的服务体验。 Copyright © 2023 布克学术 All rights reserved.
京ICP备2023020795号-1
ghs 京公网安备 11010802042870号
Book学术文献互助
Book学术文献互助群
群 号:604180095
Book学术官方微信