Donor-specific anti-HLA antibodies (DSAs) in patients undergoing allogeneic hematopoietic stem cell transplantation from mismatched donors on behalf of GITMO and AIBT.

IF 2.3 3区 医学 Q2 HEMATOLOGY
Blood Transfusion Pub Date : 2025-03-01 Epub Date: 2025-01-28 DOI:10.2450/BloodTransfus.790
Ursula La Rocca, Roberto Ricci, Alfonso Piciocchi, Walter Barberi, Elena Oldani, Alida Dominietto, Raffaella Cerretti, Alessandra Picardi, Francesca Bonifazi, Riccardo Saccardi, Maura Faraci, Giovanni Grillo, Lucia Farina, Benedetto Bruno, Anna Grassi, Anna Proia, Elena Tagliaferri, Giuseppina De Simone, Michele Malagola, Michela Cerno, Simone Cesaro, Paolo Bernasconi, Lucia Prezioso, Paola Carluccio, Nicola Mordini, Matteo Pelosini, Attilio Olivieri, Patrizia Chiusolo, Stella Santarone, Michele Cimminiello, Roberto Crocchiolo, Franco Papola, Gianni Rombolà, Nicoletta Sacchi, Valeria Miotti, Lia Mele, Benedetta Mazzi, Fabio Ciceri, Massimo Martino, Anna Paola Iori
{"title":"Donor-specific anti-HLA antibodies (DSAs) in patients undergoing allogeneic hematopoietic stem cell transplantation from mismatched donors on behalf of GITMO and AIBT.","authors":"Ursula La Rocca, Roberto Ricci, Alfonso Piciocchi, Walter Barberi, Elena Oldani, Alida Dominietto, Raffaella Cerretti, Alessandra Picardi, Francesca Bonifazi, Riccardo Saccardi, Maura Faraci, Giovanni Grillo, Lucia Farina, Benedetto Bruno, Anna Grassi, Anna Proia, Elena Tagliaferri, Giuseppina De Simone, Michele Malagola, Michela Cerno, Simone Cesaro, Paolo Bernasconi, Lucia Prezioso, Paola Carluccio, Nicola Mordini, Matteo Pelosini, Attilio Olivieri, Patrizia Chiusolo, Stella Santarone, Michele Cimminiello, Roberto Crocchiolo, Franco Papola, Gianni Rombolà, Nicoletta Sacchi, Valeria Miotti, Lia Mele, Benedetta Mazzi, Fabio Ciceri, Massimo Martino, Anna Paola Iori","doi":"10.2450/BloodTransfus.790","DOIUrl":null,"url":null,"abstract":"<p><strong>Background: </strong>Antibodies directed against donor-specific HLA allele(s)/antigen(s) (DSAs) represent a known risk factor for hematopoietic stem cell transplantation (HSCT) engraftment. Still, the overall management needs to be standardized.</p><p><strong>Material and methods: </strong>GITMO and AIBT ran a survey on DSAs in Italian Transplant Programs including mismatched HSCT performed between January 2014 and June 2017.</p><p><strong>Results: </strong>One-thousand-thirty-three patients were proposed for the study, 804 were evaluable. Overall, 355 (44%) were screened: 91/355 (25.6%) showed anti-HLA antibodies, 23 DSAs (6.5%). Female gender and at least 4 previous pregnancies showed an impact on alloimmunization. Eleven patients with DSAs underwent desensitization. In seven cases no desensitization was employed. An alternative donor was selected for five patients. Neutrophil and platelet engraftment were obtained in 93.6% and 86.6% of the whole population, respectively, and were statistically associated with the absence of anti-HLA antibodies, ABO match, a higher number of infused nucleated cells and lack of a-GvHD. In addition, significant factors for platelet engraftment were the use of leuco-depleted transfusions, HLA match, younger age of the patient. Graft failure (GF) was associated with bone marrow stem cell source, and a lower number of infused CD34+. The detection of antibodies directed against both HLA classes, donor and patient age, the hematologic and molecular remission at HSCT, HLA match, ANC and PLTS engraftment, full donor engraftment within 28 days after HSCT, early and late GF, grade>II a-GVHD showed an impact on OS.</p><p><strong>Discussion: </strong>Anti-HLA antibodies and DSAs were confirmed as risk factors affecting OS. DSAs were managed with various approaches resulting in stable engraftment in 81.9% of patients. Our study supports the clinical relevance of DSAs detection and management in mmHSCT. A standardized approach of DS is warranted.</p>","PeriodicalId":49260,"journal":{"name":"Blood Transfusion","volume":" ","pages":"176-185"},"PeriodicalIF":2.3000,"publicationDate":"2025-03-01","publicationTypes":"Journal Article","fieldsOfStudy":null,"isOpenAccess":false,"openAccessPdf":"https://www.ncbi.nlm.nih.gov/pmc/articles/PMC11925252/pdf/","citationCount":"0","resultStr":null,"platform":"Semanticscholar","paperid":null,"PeriodicalName":"Blood Transfusion","FirstCategoryId":"3","ListUrlMain":"https://doi.org/10.2450/BloodTransfus.790","RegionNum":3,"RegionCategory":"医学","ArticlePicture":[],"TitleCN":null,"AbstractTextCN":null,"PMCID":null,"EPubDate":"2025/1/28 0:00:00","PubModel":"Epub","JCR":"Q2","JCRName":"HEMATOLOGY","Score":null,"Total":0}
引用次数: 0

Abstract

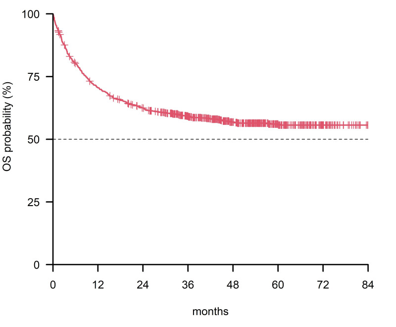
Background: Antibodies directed against donor-specific HLA allele(s)/antigen(s) (DSAs) represent a known risk factor for hematopoietic stem cell transplantation (HSCT) engraftment. Still, the overall management needs to be standardized.

Material and methods: GITMO and AIBT ran a survey on DSAs in Italian Transplant Programs including mismatched HSCT performed between January 2014 and June 2017.

Results: One-thousand-thirty-three patients were proposed for the study, 804 were evaluable. Overall, 355 (44%) were screened: 91/355 (25.6%) showed anti-HLA antibodies, 23 DSAs (6.5%). Female gender and at least 4 previous pregnancies showed an impact on alloimmunization. Eleven patients with DSAs underwent desensitization. In seven cases no desensitization was employed. An alternative donor was selected for five patients. Neutrophil and platelet engraftment were obtained in 93.6% and 86.6% of the whole population, respectively, and were statistically associated with the absence of anti-HLA antibodies, ABO match, a higher number of infused nucleated cells and lack of a-GvHD. In addition, significant factors for platelet engraftment were the use of leuco-depleted transfusions, HLA match, younger age of the patient. Graft failure (GF) was associated with bone marrow stem cell source, and a lower number of infused CD34+. The detection of antibodies directed against both HLA classes, donor and patient age, the hematologic and molecular remission at HSCT, HLA match, ANC and PLTS engraftment, full donor engraftment within 28 days after HSCT, early and late GF, grade>II a-GVHD showed an impact on OS.

Discussion: Anti-HLA antibodies and DSAs were confirmed as risk factors affecting OS. DSAs were managed with various approaches resulting in stable engraftment in 81.9% of patients. Our study supports the clinical relevance of DSAs detection and management in mmHSCT. A standardized approach of DS is warranted.

Abstract Image

Abstract Image

异体造血干细胞移植患者的供体特异性抗hla抗体(dsa)
背景:针对供体特异性HLA等位基因/抗原(dsa)的抗体是造血干细胞移植(HSCT)植入的已知危险因素。然而,整体管理需要规范化。材料和方法:GITMO和AIBT对意大利移植项目的dsa进行了调查,包括2014年1月至2017年6月间进行的不匹配HSCT。结果:共纳入1333例患者,其中804例可评估。总共筛选355例(44%),其中91/355例(25.6%)显示抗hla抗体,23例(6.5%)显示dsa。女性和至少4次怀孕对同种异体免疫有影响。11例dsa患者进行了脱敏治疗。7例未进行脱敏治疗。为5名患者选择了替代供体。中性粒细胞和血小板的着床率分别为93.6%和86.6%,与抗hla抗体缺失、ABO匹配、输注有核细胞数量较高、缺乏a- gvhd具有统计学意义。此外,血小板植入的重要因素是使用去白细胞输血,HLA匹配,患者年龄较小。移植物衰竭(GF)与骨髓干细胞来源和注入的CD34+数量减少有关。针对HLA两种类型、供者和患者年龄的抗体检测、造血干细胞移植时的血液学和分子缓解、HLA配型、ANC和PLTS移植、造血干细胞移植后28天内的全供者移植、早期和晚期GF、>级a-GVHD均对OS有影响。讨论:确认hla抗体和dsa是影响OS的危险因素。采用多种方法处理dsa, 81.9%的患者植入稳定。我们的研究支持在mmHSCT中dsa检测和管理的临床意义。DS的标准化方法是必要的。
本文章由计算机程序翻译,如有差异,请以英文原文为准。
求助全文
约1分钟内获得全文 求助全文
来源期刊
Blood Transfusion
Blood Transfusion HEMATOLOGY-
CiteScore
6.10
自引率
2.70%
发文量
91
审稿时长
2 months
期刊介绍: Blood Transfusion welcomes international submissions of Original Articles, Review Articles, Case Reports and Letters on all the fields related to Transfusion Medicine.
×
引用
GB/T 7714-2015
复制
MLA
复制
APA
复制
导出至
BibTeX EndNote RefMan NoteFirst NoteExpress
×
提示
您的信息不完整,为了账户安全,请先补充。
现在去补充
×
提示
您因"违规操作"
具体请查看互助需知
我知道了
×
提示
确定
请完成安全验证×
copy
已复制链接
快去分享给好友吧!
我知道了
右上角分享
点击右上角分享
0
联系我们:info@booksci.cn Book学术提供免费学术资源搜索服务,方便国内外学者检索中英文文献。致力于提供最便捷和优质的服务体验。 Copyright © 2023 布克学术 All rights reserved.
京ICP备2023020795号-1
ghs 京公网安备 11010802042870号
Book学术文献互助
Book学术文献互助群
群 号:604180095
Book学术官方微信