Elexacaftor/Tezacaftor/Ivacaftor for Cystic Fibrosis: Impact on Hospitalizations and Health Care Resource Utilization in a Universal Health Care Setting.

IF 3 Q2 RESPIRATORY SYSTEM
Pulmonary Therapy Pub Date : 2025-06-01 Epub Date: 2025-02-13 DOI:10.1007/s41030-025-00287-1
Hans Kristian Råket, Mikkel Zöllner Ankarfeldt, Joanna Nan Wang, Tacjana Pressler, Søren Jensen-Fangel, Tavs Qvist, Daniel Faurholt-Jepsen, Espen Jimenez-Solem, Janne Petersen, Camilla Bjørn Jensen
{"title":"Elexacaftor/Tezacaftor/Ivacaftor for Cystic Fibrosis: Impact on Hospitalizations and Health Care Resource Utilization in a Universal Health Care Setting.","authors":"Hans Kristian Råket, Mikkel Zöllner Ankarfeldt, Joanna Nan Wang, Tacjana Pressler, Søren Jensen-Fangel, Tavs Qvist, Daniel Faurholt-Jepsen, Espen Jimenez-Solem, Janne Petersen, Camilla Bjørn Jensen","doi":"10.1007/s41030-025-00287-1","DOIUrl":null,"url":null,"abstract":"<p><strong>Introduction: </strong>Elexacaftor/tezacaftor/ivacaftor (ETI) has been shown to substantially improve clinical outcomes among people living with cystic fibrosis (pwCF). The impact of ETI on health care resource utilization in the context of universal health care is largely unknown. We aimed to assess the impact of ETI on hospital and non-hospital health care resource utilization in a national cohort of pwCF up to 2 years after ETI initiation.</p><p><strong>Methods: </strong>We included all pwCF aged 12 years or older in the Danish Cystic Fibrosis Cohort initiating ETI therapy between 1 September 2020 and 31 December 2022. The following health care contacts were reported: acute and elective hospitalizations, acute and elective outpatient contacts, general practitioner (GP) visits, other specialist visits, physiotherapist/chiropractor visits, pharmacy visits, and blood sampling appointments. Pre- and post-ETI data were analyzed using logistic and linear regression models estimating number of visits, days in hospital, and odds ratios (ORs) for one monthly contact.</p><p><strong>Results: </strong>A total of 283 pwCF initiated ETI in the study period. At 24 months post-ETI, utilization of the following health care resources was reduced: elective hospitalizations [OR 0.20 (95% CI: 0.08; 0.50)], elective outpatient hospital contacts [0.70 (0.57; 0.86)], pharmacy visits [0.56 (0.45; 0.71)], and blood sampling appointments [0.61 (0.49; 0.77)]. Number of contacts per month was reduced for the aforementioned outcomes, as well as number of days in hospital for elective hospitalizations. A downward but not statistically significant trend was observed for acute hospitalizations. No significant change was observed for acute outpatient visits, GP visits, other specialist visits, or visits to a physiotherapist/chiropractor.</p><p><strong>Conclusion: </strong>In a national cohort of pwCF, ETI was associated with substantial reductions in elective hospitalizations, elective outpatient contacts, duration of elective hospitalizations, pharmacy visits, and blood sampling appointments, sustained 2 years post-ETI initiation. These findings highlight the real-world effectiveness of ETI in the context of a universal health care system.</p>","PeriodicalId":20919,"journal":{"name":"Pulmonary Therapy","volume":" ","pages":"235-247"},"PeriodicalIF":3.0000,"publicationDate":"2025-06-01","publicationTypes":"Journal Article","fieldsOfStudy":null,"isOpenAccess":false,"openAccessPdf":"https://www.ncbi.nlm.nih.gov/pmc/articles/PMC12102036/pdf/","citationCount":"0","resultStr":null,"platform":"Semanticscholar","paperid":null,"PeriodicalName":"Pulmonary Therapy","FirstCategoryId":"1085","ListUrlMain":"https://doi.org/10.1007/s41030-025-00287-1","RegionNum":0,"RegionCategory":null,"ArticlePicture":[],"TitleCN":null,"AbstractTextCN":null,"PMCID":null,"EPubDate":"2025/2/13 0:00:00","PubModel":"Epub","JCR":"Q2","JCRName":"RESPIRATORY SYSTEM","Score":null,"Total":0}
引用次数: 0

Abstract

Introduction: Elexacaftor/tezacaftor/ivacaftor (ETI) has been shown to substantially improve clinical outcomes among people living with cystic fibrosis (pwCF). The impact of ETI on health care resource utilization in the context of universal health care is largely unknown. We aimed to assess the impact of ETI on hospital and non-hospital health care resource utilization in a national cohort of pwCF up to 2 years after ETI initiation.

Methods: We included all pwCF aged 12 years or older in the Danish Cystic Fibrosis Cohort initiating ETI therapy between 1 September 2020 and 31 December 2022. The following health care contacts were reported: acute and elective hospitalizations, acute and elective outpatient contacts, general practitioner (GP) visits, other specialist visits, physiotherapist/chiropractor visits, pharmacy visits, and blood sampling appointments. Pre- and post-ETI data were analyzed using logistic and linear regression models estimating number of visits, days in hospital, and odds ratios (ORs) for one monthly contact.

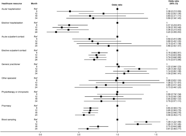
Results: A total of 283 pwCF initiated ETI in the study period. At 24 months post-ETI, utilization of the following health care resources was reduced: elective hospitalizations [OR 0.20 (95% CI: 0.08; 0.50)], elective outpatient hospital contacts [0.70 (0.57; 0.86)], pharmacy visits [0.56 (0.45; 0.71)], and blood sampling appointments [0.61 (0.49; 0.77)]. Number of contacts per month was reduced for the aforementioned outcomes, as well as number of days in hospital for elective hospitalizations. A downward but not statistically significant trend was observed for acute hospitalizations. No significant change was observed for acute outpatient visits, GP visits, other specialist visits, or visits to a physiotherapist/chiropractor.

Conclusion: In a national cohort of pwCF, ETI was associated with substantial reductions in elective hospitalizations, elective outpatient contacts, duration of elective hospitalizations, pharmacy visits, and blood sampling appointments, sustained 2 years post-ETI initiation. These findings highlight the real-world effectiveness of ETI in the context of a universal health care system.

Abstract Image

Abstract Image

Abstract Image

elexaftor /Tezacaftor/Ivacaftor用于囊性纤维化:对住院治疗和卫生保健资源利用的影响
Elexacaftor/tezacaftor/ivacaftor (ETI)已被证明可显著改善囊性纤维化(pwCF)患者的临床结果。在全民卫生保健背景下,ETI对卫生保健资源利用的影响在很大程度上是未知的。我们的目的是评估ETI对医院和非医院医疗资源利用的影响,在一个国家pwCF队列中,ETI开始后长达2年。方法:我们纳入了2020年9月1日至2022年12月31日期间开始ETI治疗的丹麦囊性纤维化队列中所有12岁或以上的pwCF患者。报告了以下卫生保健接触:急性和选择性住院,急性和选择性门诊接触,全科医生(GP)就诊,其他专科就诊,物理治疗师/脊椎指压治疗师就诊,药房就诊和验血预约。使用logistic和线性回归模型对eti前后的数据进行分析,估计就诊次数、住院天数和每月一次就诊的优势比(ORs)。结果:研究期间共有283例pwCF启动ETI。在eti后24个月,以下卫生保健资源的利用率降低:选择性住院[OR 0.20 (95% CI: 0.08;0.50)],选择性门诊医院接触[0.70](0.57;0.86),药房就诊[0.56 (0.45;0.71),血液采样预约[0.61 (0.49;0.77)]。为了上述结果,每月的接触次数减少了,选择性住院的天数也减少了。急性住院率呈下降趋势,但没有统计学意义。急性门诊就诊、全科医生就诊、其他专科就诊或物理治疗师/脊椎指压治疗师就诊均未观察到显著变化。结论:在全国pwCF队列中,ETI与选择性住院、选择性门诊接触、选择性住院时间、药房就诊和采血预约的显著减少有关,持续时间为ETI开始后2年。这些发现突出了ETI在全民医疗保健系统背景下的现实有效性。
本文章由计算机程序翻译,如有差异,请以英文原文为准。
求助全文
约1分钟内获得全文 求助全文
来源期刊
Pulmonary Therapy
Pulmonary Therapy Medicine-Pulmonary and Respiratory Medicine
CiteScore
5.20
自引率
3.30%
发文量
24
审稿时长
6 weeks
期刊介绍: Aims and Scope Pulmonary Therapy is an international, open access, peer-reviewed (single-blind), and rapid publication journal. The scope of the journal is broad and will consider all scientifically sound research from pre-clinical, clinical (all phases), observational, real-world, and health outcomes research around the use of pulmonary therapies, devices, and surgical techniques. Areas of focus include, but are not limited to: asthma; chronic obstructive pulmonary disease; idiopathic pulmonary fibrosis; pulmonary hypertension; cystic fibrosis; lung cancer; respiratory tract disorders; allergic rhinitis and other respiratory allergies; influenza, pneumococcal infection, respiratory syncytial virus and other respiratory infections; and inhalers and other device therapies. The journal is of interest to a broad audience of pharmaceutical and healthcare professionals and publishes original research, reviews, case reports/series, trial protocols and short communications such as commentaries and editorials. Pulmonary Therapy will consider all scientifically sound research be it positive, confirmatory or negative data. Submissions are welcomed whether they relate to an international and/or a country-specific audience, something that is crucially important when researchers are trying to target more specific patient populations. This inclusive approach allows the journal to assist in the dissemination of quality research, which may be considered of insufficient interest by other journals. Rapid Publication The journal’s publication timelines aim for a rapid peer review of 2 weeks. If an article is accepted it will be published 3–4 weeks from acceptance. The rapid timelines are achieved through the combination of a dedicated in-house editorial team, who manage article workflow, and an extensive Editorial and Advisory Board who assist with peer review. This allows the journal to support the rapid dissemination of research, whilst still providing robust peer review. Combined with the journal’s open access model this allows for the rapid, efficient communication of the latest research and reviews, fostering the advancement of pulmonary therapies. Open Access All articles published by Pulmonary Therapy are open access. Personal Service The journal’s dedicated in-house editorial team offer a personal “concierge service” meaning authors will always have an editorial contact able to update them on the status of their manuscript. The editorial team check all manuscripts to ensure that articles conform to the most recent COPE, GPP and ICMJE publishing guidelines. This supports the publication of ethically sound and transparent research. Digital Features and Plain Language Summaries Pulmonary Therapy offers a range of additional features designed to increase the visibility, readership and educational value of the journal’s content. Each article is accompanied by key summary points, giving a time-efficient overview of the content to a wide readership. Articles may be accompanied by plain language summaries to assist readers who have some knowledge of, but not in-depth expertise in, the area to understand the scientific content and overall implications of the article. The journal also provides the option to include various types of digital features including animated abstracts, video abstracts, slide decks, audio slides, instructional videos, infographics, podcasts and animations. All additional features are peer reviewed to the same high standard as the article itself. If you consider that your paper would benefit from the inclusion of a digital feature, please let us know. Our editorial team are able to create high-quality slide decks and infographics in-house, and video abstracts through our partner Research Square, and would be happy to assist in any way we can. For further information about digital features, please contact the journal editor (see ‘Contact the Journal’ for email address), and see the ‘Guidelines for digital features and plain language summaries’ document under ‘Submission guidelines’. For examples of digital features please visit our showcase page https://springerhealthcare.com/expertise/publishing-digital-features/ Publication Fees Upon acceptance of an article, authors will be required to pay the mandatory Rapid Service Fee of €4500/ $5100/ £3650. The journal will consider fee discounts and waivers for developing countries and this is decided on a case by case basis. Peer Review Process Upon submission, manuscripts are assessed by the editorial team to ensure they fit within the aims and scope of the journal and are also checked for plagiarism. All suitable submissions are then subject to a comprehensive single-blind peer review. Reviewers are selected based on their relevant expertise and publication history in the subject area. The journal has an extensive pool of editorial and advisory board members who have been selected to assist with peer review based on the afore-mentioned criteria. At least two extensive reviews are required to make the editorial decision, with the exception of some article types such as Commentaries, Editorials, and Letters which are generally reviewed by one member of the Editorial Board. Where reviewer recommendations are conflicted, the editorial board will be contacted for further advice and a presiding decision. Manuscripts are then either accepted, rejected or authors are required to make major or minor revisions (both reviewer comments and editorial comments may need to be addressed). Once a revised manuscript is re-submitted, it is assessed along with the responses to reviewer comments and if it has been adequately revised it will be accepted for publication. Accepted manuscripts are then copyedited and typeset by the production team before online publication. Appeals against decisions following peer review are considered on a case-by-case basis and should be sent to the journal editor. Preprints We encourage posting of preprints of primary research manuscripts on preprint servers, authors’ or institutional websites, and open communications between researchers whether on community preprint servers or preprint commenting platforms. Posting of preprints is not considered prior publication and will not jeopardize consideration in our journals. Authors should disclose details of preprint posting during the submission process or at any other point during consideration in one of our journals. Once the manuscript is published, it is the author’s responsibility to ensure that the preprint record is updated with a publication reference, including the DOI and a URL link to the published version of the article on the journal website. Please follow the link for further information on preprint sharing: https://www.springer.com/gp/authors-editors/journal-author/journal-author-helpdesk/submission/1302#c16721550 Copyright Pulmonary Therapy''s content is published open access under the Creative Commons Attribution-Noncommercial License, which allows users to read, copy, distribute, and make derivative works for non-commercial purposes from the material, as long as the author of the original work is cited. The author assigns the exclusive right to any commercial use of the article to Springer. For more information about the Creative Commons Attribution-Noncommercial License, click here: http://creativecommons.org/licenses/by-nc/4.0. Contact For more information about the journal, including pre-submission enquiries, please contact christopher.vautrinot@springer.com.
×
引用
GB/T 7714-2015
复制
MLA
复制
APA
复制
导出至
BibTeX EndNote RefMan NoteFirst NoteExpress
×
提示
您的信息不完整,为了账户安全,请先补充。
现在去补充
×
提示
您因"违规操作"
具体请查看互助需知
我知道了
×
提示
确定
请完成安全验证×
copy
已复制链接
快去分享给好友吧!
我知道了
右上角分享
点击右上角分享
0
联系我们:info@booksci.cn Book学术提供免费学术资源搜索服务,方便国内外学者检索中英文文献。致力于提供最便捷和优质的服务体验。 Copyright © 2023 布克学术 All rights reserved.
京ICP备2023020795号-1
ghs 京公网安备 11010802042870号
Book学术文献互助
Book学术文献互助群
群 号:604180095
Book学术官方微信