Molecular classification using Lund University algorithm and clinical correlations in muscle-invasive bladder cancer: Insights from a retrospective study.

Bladder (San Francisco, Calif.) Pub Date : 2024-11-27 eCollection Date: 2024-01-01 DOI:10.14440/bladder.2024.0031
Davide Campobasso, Simone Vezzini, Sebastiano Buti, Annalisa Patera, Nicoletta Campanini, Francesco Ziglioli, Elena Thai, Livia Ruffini, Umberto Maestroni, Enrico Maria Silini
{"title":"Molecular classification using Lund University algorithm and clinical correlations in muscle-invasive bladder cancer: Insights from a retrospective study.","authors":"Davide Campobasso, Simone Vezzini, Sebastiano Buti, Annalisa Patera, Nicoletta Campanini, Francesco Ziglioli, Elena Thai, Livia Ruffini, Umberto Maestroni, Enrico Maria Silini","doi":"10.14440/bladder.2024.0031","DOIUrl":null,"url":null,"abstract":"<p><strong>Background: </strong>Muscle-invasive bladder cancer (MIBC) is universally classified as high-grade urothelial carcinoma, precluding the use of histological grading alone for prognostication. However, specific morphological features of MIBC may provide useful information to guide treatment decisions. In the last decade, there has been increasing interest in genetic profiling of MIBC.</p><p><strong>Objective: </strong>The aim of the study is to validate the use of Lund Classification in attributing phenotype to large series with extreme reliability and reproducibility compared to all histological sections in the clinical practice.</p><p><strong>Methods: </strong>We performed a molecular profiling study on a large, consecutive cohort of MIBC cases using a straightforward immunohistochemical algorithm aligned with the Lund Classification.</p><p><strong>Results: </strong>We evaluated 450 MIBC cases. In a subgroup of 103 patients, we assessed the concordance between transurethral resection of bladder tumor (TURBT) specimens and cystectomy on paired samples. Luminal tumor types showed a statistically significant association with the usual histotype, while basal and NULL types were more frequently associated with variant histotypes (<i>p</i> < 0.0001). A stromal lymphocytic infiltrate ≥10% was more commonly observed in basal types (<i>p</i> < 0.0001). Basal types also exhibited higher positive rates of human epidermal growth factor receptor-2 (HER2/neu) positivity, while luminal types were more likely to be positive for tumor suppressor protein p53. Luminal types have demonstrated longer survival compared to their basal and NULL counterparts. In the concordance analysis, tumor type assignment based on TURBT showed sensitivity, specificity, and both positive and negative predictive values of 100% for basal and NULL types. The predictive accuracy for luminal types on TURBT ranged between 89.5% and 98.2%.</p><p><strong>Conclusion: </strong>Our findings demonstrate the feasibility of applying the Lund Classification for molecular subtyping of MIBC in routine diagnostics. The consistency in tumor type assignment between TURBT and cystectomy samples further supports the clinical utility of this approach. Tumor types significantly influenced survival outcomes, underscoring its relevance in patient stratification and personalized treatment strategies.</p>","PeriodicalId":72421,"journal":{"name":"Bladder (San Francisco, Calif.)","volume":"11 4","pages":"e21200019"},"PeriodicalIF":0.0000,"publicationDate":"2024-11-27","publicationTypes":"Journal Article","fieldsOfStudy":null,"isOpenAccess":false,"openAccessPdf":"https://www.ncbi.nlm.nih.gov/pmc/articles/PMC11810687/pdf/","citationCount":"0","resultStr":null,"platform":"Semanticscholar","paperid":null,"PeriodicalName":"Bladder (San Francisco, Calif.)","FirstCategoryId":"1085","ListUrlMain":"https://doi.org/10.14440/bladder.2024.0031","RegionNum":0,"RegionCategory":null,"ArticlePicture":[],"TitleCN":null,"AbstractTextCN":null,"PMCID":null,"EPubDate":"2024/1/1 0:00:00","PubModel":"eCollection","JCR":"","JCRName":"","Score":null,"Total":0}
引用次数: 0

Abstract

Background: Muscle-invasive bladder cancer (MIBC) is universally classified as high-grade urothelial carcinoma, precluding the use of histological grading alone for prognostication. However, specific morphological features of MIBC may provide useful information to guide treatment decisions. In the last decade, there has been increasing interest in genetic profiling of MIBC.

Objective: The aim of the study is to validate the use of Lund Classification in attributing phenotype to large series with extreme reliability and reproducibility compared to all histological sections in the clinical practice.

Methods: We performed a molecular profiling study on a large, consecutive cohort of MIBC cases using a straightforward immunohistochemical algorithm aligned with the Lund Classification.

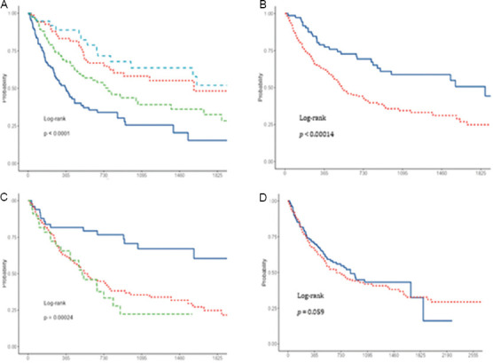
Results: We evaluated 450 MIBC cases. In a subgroup of 103 patients, we assessed the concordance between transurethral resection of bladder tumor (TURBT) specimens and cystectomy on paired samples. Luminal tumor types showed a statistically significant association with the usual histotype, while basal and NULL types were more frequently associated with variant histotypes (p < 0.0001). A stromal lymphocytic infiltrate ≥10% was more commonly observed in basal types (p < 0.0001). Basal types also exhibited higher positive rates of human epidermal growth factor receptor-2 (HER2/neu) positivity, while luminal types were more likely to be positive for tumor suppressor protein p53. Luminal types have demonstrated longer survival compared to their basal and NULL counterparts. In the concordance analysis, tumor type assignment based on TURBT showed sensitivity, specificity, and both positive and negative predictive values of 100% for basal and NULL types. The predictive accuracy for luminal types on TURBT ranged between 89.5% and 98.2%.

Conclusion: Our findings demonstrate the feasibility of applying the Lund Classification for molecular subtyping of MIBC in routine diagnostics. The consistency in tumor type assignment between TURBT and cystectomy samples further supports the clinical utility of this approach. Tumor types significantly influenced survival outcomes, underscoring its relevance in patient stratification and personalized treatment strategies.

Abstract Image

使用隆德大学算法的分子分类和肌肉浸润性膀胱癌的临床相关性:来自回顾性研究的见解。
背景:肌肉浸润性膀胱癌(MIBC)被普遍归类为高级别尿路上皮癌,排除了单独使用组织学分级进行预后的可能性。然而,特定的形态学特征可以为指导治疗决策提供有用的信息。在过去的十年中,人们对MIBC的基因图谱越来越感兴趣。目的:本研究的目的是验证隆德分类在将表型归因于临床实践中与所有组织学切片相比具有极高可靠性和可重复性的大系列中的使用。方法:我们使用与Lund分类一致的直接免疫组织化学算法对大量连续的MIBC病例进行了分子分析研究。结果:我们评估了450例MIBC病例。在103例患者的亚组中,我们评估了经尿道膀胱肿瘤切除术(turt)标本与配对标本膀胱切除术之间的一致性。腔内肿瘤类型与常规组织型的相关性有统计学意义,而基底型和NULL型与变异组织型的相关性更大(p < 0.0001)。基质淋巴细胞浸润≥10%在基础型中更为常见(p < 0.0001)。基底型也表现出较高的人表皮生长因子受体2 (HER2/neu)阳性率,而腔型更可能呈肿瘤抑制蛋白p53阳性。与基础型和NULL型相比,Luminal型表现出更长的生存期。在一致性分析中,基于TURBT的肿瘤类型分配显示出敏感性和特异性,对基础型和NULL型的阳性和阴性预测值均为100%。TURBT对腔型的预测准确率在89.5% ~ 98.2%之间。结论:我们的研究结果证明了在常规诊断中应用Lund分类进行MIBC分子分型的可行性。TURBT和膀胱切除术样本之间肿瘤类型分配的一致性进一步支持了该方法的临床应用。肿瘤类型显著影响生存结果,强调其与患者分层和个性化治疗策略的相关性。
本文章由计算机程序翻译,如有差异,请以英文原文为准。
求助全文
约1分钟内获得全文 求助全文
来源期刊
自引率
0.00%
发文量
0
×
引用
GB/T 7714-2015
复制
MLA
复制
APA
复制
导出至
BibTeX EndNote RefMan NoteFirst NoteExpress
×
提示
您的信息不完整,为了账户安全,请先补充。
现在去补充
×
提示
您因"违规操作"
具体请查看互助需知
我知道了
×
提示
确定
请完成安全验证×
copy
已复制链接
快去分享给好友吧!
我知道了
右上角分享
点击右上角分享
0
联系我们:info@booksci.cn Book学术提供免费学术资源搜索服务,方便国内外学者检索中英文文献。致力于提供最便捷和优质的服务体验。 Copyright © 2023 布克学术 All rights reserved.
京ICP备2023020795号-1
ghs 京公网安备 11010802042870号
Book学术文献互助
Book学术文献互助群
群 号:604180095
Book学术官方微信