Nomogram prediction model for overall survival of late-stage lung cancer patients undergoing iodine-125 particle implantation brachytherapy.

IF 1.1 4区 医学 Q4 ONCOLOGY
Journal of Contemporary Brachytherapy Pub Date : 2024-12-01 Epub Date: 2024-12-31 DOI:10.5114/jcb.2024.146836
Tingting Ding, Xiangyan Ge, Shanhu Hao, Zhiguo Wang, Wenwen Zhang, Guoxu Zhang
{"title":"Nomogram prediction model for overall survival of late-stage lung cancer patients undergoing iodine-125 particle implantation brachytherapy.","authors":"Tingting Ding, Xiangyan Ge, Shanhu Hao, Zhiguo Wang, Wenwen Zhang, Guoxu Zhang","doi":"10.5114/jcb.2024.146836","DOIUrl":null,"url":null,"abstract":"<p><strong>Purpose: </strong>The purpose of this study was to explore the overall survival (OS) rate of late-stage lung cancer patients after receiving iodine-125 (<sup>125</sup>I) particle implantation brachytherapy.</p><p><strong>Material and methods: </strong>436 late-stage lung cancer patients who underwent <sup>125</sup>I radioactive particle brachytherapy in the Department of Nuclear Medicine of the General Hospital of Northern Theater Command from December 2013 to June 2019 were retrospectively analyzed. Patients were randomly divided into training set and validation set in a 7 : 3 ratio. Univariate and multivariate Cox proportional hazards models were employed to show independent factors affecting the prognosis of late-stage lung cancer patients. Based on these factors, a nomogram model was constructed to predict OS at 1, 3, and 5 years after <sup>125</sup>I particle implantation brachytherapy for late-stage lung cancer as well as 1-year progression-free survival (PFS).</p><p><strong>Results: </strong>The results of univariate and multivariate Cox proportional hazards model analyses of OS time showed that smoking, lung atelectasis, superior vena cava obstruction syndrome, and surgical time were significantly associated with OS of patients, and were independent influencing factors. The results of univariate and multivariate Cox proportional hazards model analyses of PFS demonstrated that planning target volume, maximum dose, average dose, pre-operative D<sub>90</sub> and V<sub>100</sub> at 1 cm around the lesion, and surgical time were significantly associated with PFS of patients, and were independent influencing factors. Based on these independent prognostic factors, nomogram models were constructed to predict the 1-, 3-, and 5-year OS and 1-year PFS of late-stage lung cancer patients.</p><p><strong>Conclusions: </strong>This study revealed the potential benefits of <sup>125</sup>I particle implantation brachytherapy for the OS rate of late-stage lung cancer patients.</p>","PeriodicalId":51305,"journal":{"name":"Journal of Contemporary Brachytherapy","volume":"16 6","pages":"410-427"},"PeriodicalIF":1.1000,"publicationDate":"2024-12-01","publicationTypes":"Journal Article","fieldsOfStudy":null,"isOpenAccess":false,"openAccessPdf":"https://www.ncbi.nlm.nih.gov/pmc/articles/PMC11812134/pdf/","citationCount":"0","resultStr":null,"platform":"Semanticscholar","paperid":null,"PeriodicalName":"Journal of Contemporary Brachytherapy","FirstCategoryId":"3","ListUrlMain":"https://doi.org/10.5114/jcb.2024.146836","RegionNum":4,"RegionCategory":"医学","ArticlePicture":[],"TitleCN":null,"AbstractTextCN":null,"PMCID":null,"EPubDate":"2024/12/31 0:00:00","PubModel":"Epub","JCR":"Q4","JCRName":"ONCOLOGY","Score":null,"Total":0}
引用次数: 0

Abstract

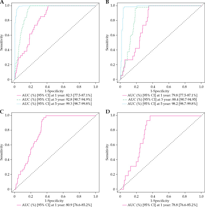
Purpose: The purpose of this study was to explore the overall survival (OS) rate of late-stage lung cancer patients after receiving iodine-125 (125I) particle implantation brachytherapy.

Material and methods: 436 late-stage lung cancer patients who underwent 125I radioactive particle brachytherapy in the Department of Nuclear Medicine of the General Hospital of Northern Theater Command from December 2013 to June 2019 were retrospectively analyzed. Patients were randomly divided into training set and validation set in a 7 : 3 ratio. Univariate and multivariate Cox proportional hazards models were employed to show independent factors affecting the prognosis of late-stage lung cancer patients. Based on these factors, a nomogram model was constructed to predict OS at 1, 3, and 5 years after 125I particle implantation brachytherapy for late-stage lung cancer as well as 1-year progression-free survival (PFS).

Results: The results of univariate and multivariate Cox proportional hazards model analyses of OS time showed that smoking, lung atelectasis, superior vena cava obstruction syndrome, and surgical time were significantly associated with OS of patients, and were independent influencing factors. The results of univariate and multivariate Cox proportional hazards model analyses of PFS demonstrated that planning target volume, maximum dose, average dose, pre-operative D90 and V100 at 1 cm around the lesion, and surgical time were significantly associated with PFS of patients, and were independent influencing factors. Based on these independent prognostic factors, nomogram models were constructed to predict the 1-, 3-, and 5-year OS and 1-year PFS of late-stage lung cancer patients.

Conclusions: This study revealed the potential benefits of 125I particle implantation brachytherapy for the OS rate of late-stage lung cancer patients.

Abstract Image

Abstract Image

Abstract Image

晚期肺癌近距离碘125粒子植入患者总生存的Nomogram预测模型。
目的:探讨晚期肺癌患者接受近距离碘125 (125I)粒子植入治疗后的总生存率(OS)。材料与方法:回顾性分析2013年12月至2019年6月在北方战区总医院核医学科行125I放射性粒子近距离放射治疗的436例晚期肺癌患者。患者按7:3的比例随机分为训练组和验证组。采用单因素和多因素Cox比例风险模型分析影响晚期肺癌患者预后的独立因素。基于这些因素,我们构建了一个nomogram模型来预测晚期肺癌近距离125I粒子植入治疗后1,3,5年的OS以及1年无进展生存期(PFS)。结果:OS时间的单因素和多因素Cox比例风险模型分析结果显示,吸烟、肺不张、上腔静脉阻塞综合征和手术时间与患者OS有显著相关,是独立的影响因素。PFS的单因素和多因素Cox比例风险模型分析结果显示,计划靶体积、最大剂量、平均剂量、术前病变周围1cm处D90和V100、手术时间与患者PFS有显著相关性,是独立的影响因素。基于这些独立的预后因素,构建nomogram模型预测晚期肺癌患者的1年、3年、5年OS和1年PFS。结论:本研究揭示了125I粒子植入近距离放疗对晚期肺癌患者OS率的潜在益处。
本文章由计算机程序翻译,如有差异,请以英文原文为准。
求助全文
约1分钟内获得全文 求助全文
来源期刊
Journal of Contemporary Brachytherapy
Journal of Contemporary Brachytherapy ONCOLOGY-RADIOLOGY, NUCLEAR MEDICINE & MEDICAL IMAGING
CiteScore
2.40
自引率
14.30%
发文量
54
审稿时长
16 weeks
期刊介绍: The “Journal of Contemporary Brachytherapy” is an international and multidisciplinary journal that will publish papers of original research as well as reviews of articles. Main subjects of the journal include: clinical brachytherapy, combined modality treatment, advances in radiobiology, hyperthermia and tumour biology, as well as physical aspects relevant to brachytherapy, particularly in the field of imaging, dosimetry and radiation therapy planning. Original contributions will include experimental studies of combined modality treatment, tumor sensitization and normal tissue protection, molecular radiation biology, and clinical investigations of cancer treatment in brachytherapy. Another field of interest will be the educational part of the journal.
×
引用
GB/T 7714-2015
复制
MLA
复制
APA
复制
导出至
BibTeX EndNote RefMan NoteFirst NoteExpress
×
提示
您的信息不完整,为了账户安全,请先补充。
现在去补充
×
提示
您因"违规操作"
具体请查看互助需知
我知道了
×
提示
确定
请完成安全验证×
copy
已复制链接
快去分享给好友吧!
我知道了
右上角分享
点击右上角分享
0
联系我们:info@booksci.cn Book学术提供免费学术资源搜索服务,方便国内外学者检索中英文文献。致力于提供最便捷和优质的服务体验。 Copyright © 2023 布克学术 All rights reserved.
京ICP备2023020795号-1
ghs 京公网安备 11010802042870号
Book学术文献互助
Book学术文献互助群
群 号:604180095
Book学术官方微信