Relationship Among Fragility Fractures and the Overall Cardiovascular Burden in Endogenous Cushing Syndrome.

IF 3.1 Q2 ENDOCRINOLOGY & METABOLISM
Journal of the Endocrine Society Pub Date : 2025-01-17 eCollection Date: 2025-02-04 DOI:10.1210/jendso/bvaf008
Giacomo Voltan, Pierluigi Mazzeo, Michele Cannito, Silvia Pinelli, Mattia Barbot, Carla Scaroni, Filippo Ceccato, Valentina Camozzi
{"title":"Relationship Among Fragility Fractures and the Overall Cardiovascular Burden in Endogenous Cushing Syndrome.","authors":"Giacomo Voltan, Pierluigi Mazzeo, Michele Cannito, Silvia Pinelli, Mattia Barbot, Carla Scaroni, Filippo Ceccato, Valentina Camozzi","doi":"10.1210/jendso/bvaf008","DOIUrl":null,"url":null,"abstract":"<p><strong>Context: </strong>Patients with endogenous Cushing syndrome (CS), in addition to significant cardiovascular morbidity, are burdened by a high prevalence of fragility fractures. Bone mineral density (BMD) alone poorly predicts the risk of fracture, and the implementation of trabecular bone score (TBS) is supported only by scant evidence. Indeed, reliable predictors of fractures in endogenous CS are still lacking.</p><p><strong>Objective: </strong>This work aimed to analyze the prevalence and the potential predictors of fragility fractures in our patients with CS.</p><p><strong>Methods: </strong>A monocentric, retrospective, cross-sectional study. A total of 51 patients with overt CS were enrolled. Main outcome measures included biochemical evaluation, BMD measurement, TBS evaluation, fracture presence, body composition evaluation, and arterial intima-media thickness (IMT) assessment.</p><p><strong>Results: </strong>Fragility fractures were found in 62.7% of patients at diagnosis. Fractured patients exhibited lower spine T-score (<i>P</i> = .03), longer disease duration (<i>P</i> = .025), higher waist circumference (<i>P</i> = .006), and predominantly male sex (<i>P</i> = .008). Increased serum uric acid levels (<i>P</i> = .001), greater IMT (<i>P</i> = .017), and higher prevalence of venous thromboembolism events (31.3% vs 5.3%, <i>P</i> = .037) and atherosclerotic plaques (47% vs 5.3%, <i>P</i> = .002) were described in the fracture group.Multivariable logistic regression identified the presence of atherosclerosis (OR 13.35; 95% CI 1.154-154.34, <i>P</i> = .038) and osteoporosis (OR 11.30; 95% CI 1.55-82.56, <i>P</i> = .017) as independent predictors. TBS values were inversely correlated with body mass index, fat and lean mass, and serum uric acid, and positively correlated with high-density lipoprotein cholesterol.</p><p><strong>Conclusion: </strong>CS patients with higher overall burden of cardiovascular morbidity are more prone to experience fragility fractures.</p>","PeriodicalId":17334,"journal":{"name":"Journal of the Endocrine Society","volume":"9 3","pages":"bvaf008"},"PeriodicalIF":3.1000,"publicationDate":"2025-01-17","publicationTypes":"Journal Article","fieldsOfStudy":null,"isOpenAccess":false,"openAccessPdf":"https://www.ncbi.nlm.nih.gov/pmc/articles/PMC11811415/pdf/","citationCount":"0","resultStr":null,"platform":"Semanticscholar","paperid":null,"PeriodicalName":"Journal of the Endocrine Society","FirstCategoryId":"1085","ListUrlMain":"https://doi.org/10.1210/jendso/bvaf008","RegionNum":0,"RegionCategory":null,"ArticlePicture":[],"TitleCN":null,"AbstractTextCN":null,"PMCID":null,"EPubDate":"2025/2/4 0:00:00","PubModel":"eCollection","JCR":"Q2","JCRName":"ENDOCRINOLOGY & METABOLISM","Score":null,"Total":0}
引用次数: 0

Abstract

Context: Patients with endogenous Cushing syndrome (CS), in addition to significant cardiovascular morbidity, are burdened by a high prevalence of fragility fractures. Bone mineral density (BMD) alone poorly predicts the risk of fracture, and the implementation of trabecular bone score (TBS) is supported only by scant evidence. Indeed, reliable predictors of fractures in endogenous CS are still lacking.

Objective: This work aimed to analyze the prevalence and the potential predictors of fragility fractures in our patients with CS.

Methods: A monocentric, retrospective, cross-sectional study. A total of 51 patients with overt CS were enrolled. Main outcome measures included biochemical evaluation, BMD measurement, TBS evaluation, fracture presence, body composition evaluation, and arterial intima-media thickness (IMT) assessment.

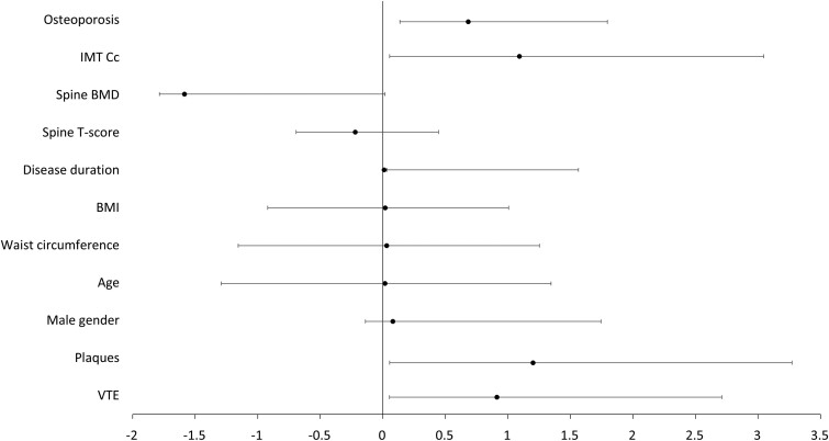
Results: Fragility fractures were found in 62.7% of patients at diagnosis. Fractured patients exhibited lower spine T-score (P = .03), longer disease duration (P = .025), higher waist circumference (P = .006), and predominantly male sex (P = .008). Increased serum uric acid levels (P = .001), greater IMT (P = .017), and higher prevalence of venous thromboembolism events (31.3% vs 5.3%, P = .037) and atherosclerotic plaques (47% vs 5.3%, P = .002) were described in the fracture group.Multivariable logistic regression identified the presence of atherosclerosis (OR 13.35; 95% CI 1.154-154.34, P = .038) and osteoporosis (OR 11.30; 95% CI 1.55-82.56, P = .017) as independent predictors. TBS values were inversely correlated with body mass index, fat and lean mass, and serum uric acid, and positively correlated with high-density lipoprotein cholesterol.

Conclusion: CS patients with higher overall burden of cardiovascular morbidity are more prone to experience fragility fractures.

Abstract Image

Abstract Image

内源性库欣综合征脆性骨折与整体心血管负荷的关系
背景:内源性库欣综合征(CS)患者除了显著的心血管发病率外,还承受着脆性骨折的高患病率。骨矿物质密度(BMD)本身很难预测骨折的风险,而骨小梁评分(TBS)的实施也只有很少的证据支持。事实上,内源性CS骨折的可靠预测因素仍然缺乏。目的:本研究旨在分析CS患者脆性骨折的患病率和潜在的预测因素。方法:单中心、回顾性、横断面研究。共有51例显性CS患者入组。主要观察指标包括生化评价、骨密度测定、TBS评价、骨折存在、体成分评价、动脉内膜-中膜厚度(IMT)评价。结果:62.7%的患者在诊断时发现脆性骨折。骨折患者脊柱t评分较低(P = .03),病程较长(P = .025),腰围较高(P = .006),且以男性为主(P = .008)。骨折组血清尿酸水平升高(P = 0.001), IMT升高(P = 0.017),静脉血栓栓塞事件发生率升高(31.3% vs 5.3%, P = 0.037)和动脉粥样硬化斑块发生率升高(47% vs 5.3%, P = 0.002)。多变量logistic回归确定存在动脉粥样硬化(OR 13.35;95% CI 1.154-154.34, P = 0.038)和骨质疏松症(OR 11.30;95% CI 1.55-82.56, P = 0.017)作为独立预测因子。TBS值与体重指数、脂瘦质量、血清尿酸呈负相关,与高密度脂蛋白胆固醇呈正相关。结论:心血管疾病总负担较高的CS患者更易发生脆性骨折。
本文章由计算机程序翻译,如有差异,请以英文原文为准。
求助全文
约1分钟内获得全文 求助全文
来源期刊
Journal of the Endocrine Society
Journal of the Endocrine Society Medicine-Endocrinology, Diabetes and Metabolism
CiteScore
5.50
自引率
0.00%
发文量
2039
审稿时长
9 weeks
×
引用
GB/T 7714-2015
复制
MLA
复制
APA
复制
导出至
BibTeX EndNote RefMan NoteFirst NoteExpress
×
提示
您的信息不完整,为了账户安全,请先补充。
现在去补充
×
提示
您因"违规操作"
具体请查看互助需知
我知道了
×
提示
确定
请完成安全验证×
copy
已复制链接
快去分享给好友吧!
我知道了
右上角分享
点击右上角分享
0
联系我们:info@booksci.cn Book学术提供免费学术资源搜索服务,方便国内外学者检索中英文文献。致力于提供最便捷和优质的服务体验。 Copyright © 2023 布克学术 All rights reserved.
京ICP备2023020795号-1
ghs 京公网安备 11010802042870号
Book学术文献互助
Book学术文献互助群
群 号:604180095
Book学术官方微信