Effects of hydrazone-based G-quadruplex ligands on FANCJ/BRIP1-depleted cancer cells and a Caenorhabditis elegans dog-1-/- strain.

IF 3.2 Q2 BIOCHEMISTRY & MOLECULAR BIOLOGY
NAR cancer Pub Date : 2025-02-08 eCollection Date: 2025-03-01 DOI:10.1093/narcan/zcaf004
Marcello Germoglio, Federica D'Aria, Giuseppe Cortone, Antonello Prodomo, Mohammad Mahtab, Rita Morigi, Jussara Amato, Francesca M Pisani, Concetta Giancola
{"title":"Effects of hydrazone-based G-quadruplex ligands on <i>FANCJ/BRIP1</i>-depleted cancer cells and a <i>Caenorhabditis elegans dog-1<sup>-/-</sup></i> strain.","authors":"Marcello Germoglio, Federica D'Aria, Giuseppe Cortone, Antonello Prodomo, Mohammad Mahtab, Rita Morigi, Jussara Amato, Francesca M Pisani, Concetta Giancola","doi":"10.1093/narcan/zcaf004","DOIUrl":null,"url":null,"abstract":"<p><p>G-quadruplex (G4) DNAs are alternative nucleic acid structures, proposed to play important roles in regulating DNA replication, gene transcription, and translation. Several specialized DNA helicases are involved in cellular G4 metabolism, in some cases with redundant functions. Among them, human FANCJ/BRIP1, which has orthologs in all metazoans, is one of the most powerful G4 resolvases, believed to act mainly at DNA replication forks. Here, we tested the effects of a set of hydrazone-derivative G4 ligands in a <i>FANCJ</i>-knocked-out HeLa cell line and in a <i>Caenorhabditis elegans</i> strain, where DOG-1, a FANCJ ortholog, was disrupted, as a whole organism model system. Our results revealed that loss of FANCJ specifically sensitized cancer cells to FIM-15, a mono-guanylhydrazone derivative bearing the diimidazopyrimidine core, among the tested hydrazone-based compounds and induced enhanced DNA damage in different chromosomal sites including telomeric ends. Moreover, dietary administration of FIM-15 to <i>dog-1</i> <sup>-/-</sup> nematodes stabilized G4 structures in gonadal cell nuclei and resulted in compromised embryonic development in the first-generation post-treatment. Collectively, our findings unveil a specific vulnerability of <i>FANCJ</i>-knocked-out cancer cells (and DOG-1-lacking worms) to G4 stabilization by the FIM-15 compound. This study provides an important proof-of-principle for use of G4 ligands in synthetic lethality-based therapeutic approaches targeting FANCJ-defective cancer cells.</p>","PeriodicalId":94149,"journal":{"name":"NAR cancer","volume":"7 1","pages":"zcaf004"},"PeriodicalIF":3.2000,"publicationDate":"2025-02-08","publicationTypes":"Journal Article","fieldsOfStudy":null,"isOpenAccess":false,"openAccessPdf":"https://www.ncbi.nlm.nih.gov/pmc/articles/PMC11806260/pdf/","citationCount":"0","resultStr":null,"platform":"Semanticscholar","paperid":null,"PeriodicalName":"NAR cancer","FirstCategoryId":"1085","ListUrlMain":"https://doi.org/10.1093/narcan/zcaf004","RegionNum":0,"RegionCategory":null,"ArticlePicture":[],"TitleCN":null,"AbstractTextCN":null,"PMCID":null,"EPubDate":"2025/3/1 0:00:00","PubModel":"eCollection","JCR":"Q2","JCRName":"BIOCHEMISTRY & MOLECULAR BIOLOGY","Score":null,"Total":0}
引用次数: 0

Abstract

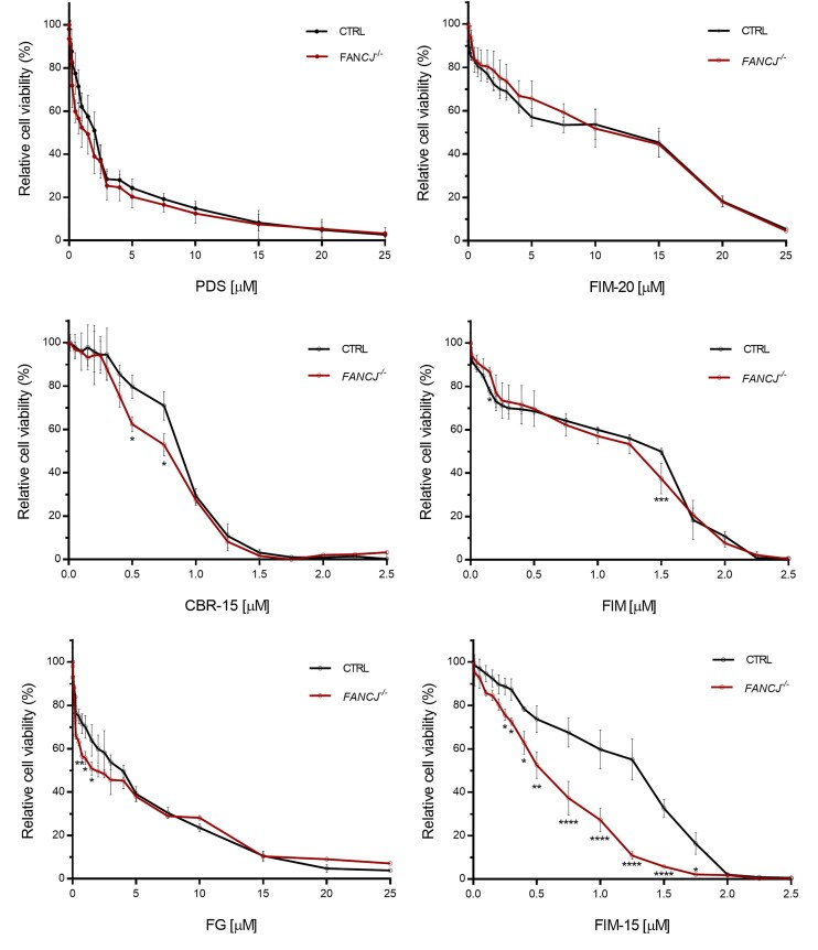
G-quadruplex (G4) DNAs are alternative nucleic acid structures, proposed to play important roles in regulating DNA replication, gene transcription, and translation. Several specialized DNA helicases are involved in cellular G4 metabolism, in some cases with redundant functions. Among them, human FANCJ/BRIP1, which has orthologs in all metazoans, is one of the most powerful G4 resolvases, believed to act mainly at DNA replication forks. Here, we tested the effects of a set of hydrazone-derivative G4 ligands in a FANCJ-knocked-out HeLa cell line and in a Caenorhabditis elegans strain, where DOG-1, a FANCJ ortholog, was disrupted, as a whole organism model system. Our results revealed that loss of FANCJ specifically sensitized cancer cells to FIM-15, a mono-guanylhydrazone derivative bearing the diimidazopyrimidine core, among the tested hydrazone-based compounds and induced enhanced DNA damage in different chromosomal sites including telomeric ends. Moreover, dietary administration of FIM-15 to dog-1 -/- nematodes stabilized G4 structures in gonadal cell nuclei and resulted in compromised embryonic development in the first-generation post-treatment. Collectively, our findings unveil a specific vulnerability of FANCJ-knocked-out cancer cells (and DOG-1-lacking worms) to G4 stabilization by the FIM-15 compound. This study provides an important proof-of-principle for use of G4 ligands in synthetic lethality-based therapeutic approaches targeting FANCJ-defective cancer cells.

Abstract Image

Abstract Image

Abstract Image

基于腙的g-四联体配体对FANCJ/ brip1缺失癌细胞和秀丽隐杆线虫狗-1-/-菌株的影响
g -四重体(G4) DNA是另一种核酸结构,在调节DNA复制、基因转录和翻译中发挥重要作用。几种特殊的DNA解旋酶参与细胞G4代谢,在某些情况下具有冗余功能。其中,人类FANCJ/BRIP1在所有后生动物中都有同源物,是最强大的G4分解酶之一,据信主要作用于DNA复制叉。在这里,我们测试了一组腙衍生物G4配体在FANCJ敲除的HeLa细胞系和秀丽隐杆线虫菌株中的作用,其中FANCJ同源物DOG-1被破坏,作为整个生物体模型系统。我们的研究结果显示,FANCJ的缺失特异性地使癌细胞对FIM-15(一种带有双咪唑嘧啶核心的单鸟酰腙衍生物)敏感,并在包括端粒末端在内的不同染色体位点诱导DNA损伤。此外,在狗-1 -/-线虫中添加FIM-15可以稳定生殖腺细胞核中的G4结构,并导致第一代处理后的胚胎发育受到损害。总的来说,我们的发现揭示了fancj敲除的癌细胞(和缺乏dog -1的蠕虫)对FIM-15化合物稳定G4的特异性脆弱性。该研究为G4配体用于针对fancj缺陷癌细胞的合成致死性治疗方法提供了重要的原理证明。
本文章由计算机程序翻译,如有差异,请以英文原文为准。
求助全文
约1分钟内获得全文 求助全文
来源期刊
CiteScore
6.90
自引率
0.00%
发文量
0
审稿时长
13 weeks
期刊介绍:
×
引用
GB/T 7714-2015
复制
MLA
复制
APA
复制
导出至
BibTeX EndNote RefMan NoteFirst NoteExpress
×
提示
您的信息不完整,为了账户安全,请先补充。
现在去补充
×
提示
您因"违规操作"
具体请查看互助需知
我知道了
×
提示
确定
请完成安全验证×
copy
已复制链接
快去分享给好友吧!
我知道了
右上角分享
点击右上角分享
0
联系我们:info@booksci.cn Book学术提供免费学术资源搜索服务,方便国内外学者检索中英文文献。致力于提供最便捷和优质的服务体验。 Copyright © 2023 布克学术 All rights reserved.
京ICP备2023020795号-1
ghs 京公网安备 11010802042870号
Book学术文献互助
Book学术文献互助群
群 号:604180095
Book学术官方微信