Serum High-Density Lipoprotein Cholesterol Concentrations in Pancreatic Ductal Adenocarcinoma and Its Association With Histological Grade in a Chinese Population.

IF 2.6 4区 医学 Q3 ONCOLOGY
Ying-Ying Cao, Xiao-Jing Lv, Hui Li, Li-Chao Qian, Hai-Peng Si, Yuan Li, Kai Guo, Shuai Ren, Zhong-Qiu Wang
{"title":"Serum High-Density Lipoprotein Cholesterol Concentrations in Pancreatic Ductal Adenocarcinoma and Its Association With Histological Grade in a Chinese Population.","authors":"Ying-Ying Cao, Xiao-Jing Lv, Hui Li, Li-Chao Qian, Hai-Peng Si, Yuan Li, Kai Guo, Shuai Ren, Zhong-Qiu Wang","doi":"10.1177/10732748251316602","DOIUrl":null,"url":null,"abstract":"<p><strong>Background: </strong>Serum high-density lipoprotein cholesterol (HDL-c) may influence cancer development. However, its relationship with the histological grade of pancreatic ductal adenocarcinoma (PDAC) is not well understood. This study aims to explore the potential associations between serum HDL-c levels and different histological grades of PDAC.</p><p><strong>Methods: </strong>This retrospective study included 181 patients with pathologically confirmed PDAC who underwent radical surgery. Clinical data, blood biochemical results, imaging features, and pathological details of the patients were collected, such as age, gender, diabetes, hypertension, tumor grade, tumor size and location, high-density lipoprotein (HDL-c), low-density lipoprotein (LDL), total cholesterol (TC), triglycerides (TG), carbohydrate antigen 19-9 (CA19-9), and carcinoembryonic antigen (CEA).</p><p><strong>Results: </strong>Patients with high-grade PDAC had significantly lower HDL-c levels compared to those with low-grade PDAC across both training and validation cohorts (<i>P</i> < 0.05). Significant associations were found between HDL-c levels and high-grade PDAC in the training (<i>P</i> < 0.001) and validation (<i>P</i> = 0.044) groups. Moreover, HDL-c levels were inversely related to lymph node metastasis in the training (<i>P</i> = 0.001) and validation (<i>P</i> = 0.012) sets.</p><p><strong>Conclusions: </strong>Lower HDL-c levels are associated with high-grade PDAC and lymph node metastasis, suggesting that HDL-c may play a protective role in the progression of PDAC.</p>","PeriodicalId":49093,"journal":{"name":"Cancer Control","volume":"32 ","pages":"10732748251316602"},"PeriodicalIF":2.6000,"publicationDate":"2025-01-01","publicationTypes":"Journal Article","fieldsOfStudy":null,"isOpenAccess":false,"openAccessPdf":"https://www.ncbi.nlm.nih.gov/pmc/articles/PMC11811967/pdf/","citationCount":"0","resultStr":null,"platform":"Semanticscholar","paperid":null,"PeriodicalName":"Cancer Control","FirstCategoryId":"3","ListUrlMain":"https://doi.org/10.1177/10732748251316602","RegionNum":4,"RegionCategory":"医学","ArticlePicture":[],"TitleCN":null,"AbstractTextCN":null,"PMCID":null,"EPubDate":"","PubModel":"","JCR":"Q3","JCRName":"ONCOLOGY","Score":null,"Total":0}
引用次数: 0

Abstract

Background: Serum high-density lipoprotein cholesterol (HDL-c) may influence cancer development. However, its relationship with the histological grade of pancreatic ductal adenocarcinoma (PDAC) is not well understood. This study aims to explore the potential associations between serum HDL-c levels and different histological grades of PDAC.

Methods: This retrospective study included 181 patients with pathologically confirmed PDAC who underwent radical surgery. Clinical data, blood biochemical results, imaging features, and pathological details of the patients were collected, such as age, gender, diabetes, hypertension, tumor grade, tumor size and location, high-density lipoprotein (HDL-c), low-density lipoprotein (LDL), total cholesterol (TC), triglycerides (TG), carbohydrate antigen 19-9 (CA19-9), and carcinoembryonic antigen (CEA).

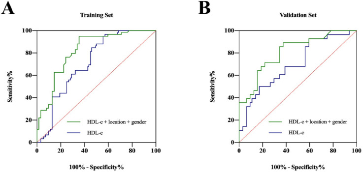
Results: Patients with high-grade PDAC had significantly lower HDL-c levels compared to those with low-grade PDAC across both training and validation cohorts (P < 0.05). Significant associations were found between HDL-c levels and high-grade PDAC in the training (P < 0.001) and validation (P = 0.044) groups. Moreover, HDL-c levels were inversely related to lymph node metastasis in the training (P = 0.001) and validation (P = 0.012) sets.

Conclusions: Lower HDL-c levels are associated with high-grade PDAC and lymph node metastasis, suggesting that HDL-c may play a protective role in the progression of PDAC.

Abstract Image

Abstract Image

Abstract Image

中国人群胰腺导管腺癌患者血清高密度脂蛋白胆固醇浓度及其与组织学分级的关系
背景:血清高密度脂蛋白胆固醇(HDL-c)可能影响癌症的发展。然而,其与胰腺导管腺癌(PDAC)组织学分级的关系尚不清楚。本研究旨在探讨血清HDL-c水平与PDAC不同组织学分级之间的潜在关联。方法:本回顾性研究纳入181例病理证实的PDAC患者,并行根治性手术。收集患者的年龄、性别、糖尿病、高血压、肿瘤分级、肿瘤大小及部位、高密度脂蛋白(HDL-c)、低密度脂蛋白(LDL)、总胆固醇(TC)、甘油三酯(TG)、碳水化合物抗原19-9 (CA19-9)、癌胚抗原(CEA)等临床资料、血液生化结果、影像学特征及病理细节。结果:在训练组和验证组中,高级别PDAC患者的HDL-c水平明显低于低级别PDAC患者(P < 0.05)。在训练组(P < 0.001)和验证组(P = 0.044)中发现HDL-c水平与高级别PDAC之间存在显著关联。此外,在训练组(P = 0.001)和验证组(P = 0.012), HDL-c水平与淋巴结转移呈负相关。结论:较低的HDL-c水平与高级别PDAC和淋巴结转移相关,提示HDL-c可能在PDAC的进展中起保护作用。
本文章由计算机程序翻译,如有差异,请以英文原文为准。
求助全文
约1分钟内获得全文 求助全文
来源期刊
Cancer Control
Cancer Control ONCOLOGY-
CiteScore
3.80
自引率
0.00%
发文量
148
审稿时长
>12 weeks
期刊介绍: Cancer Control is a JCR-ranked, peer-reviewed open access journal whose mission is to advance the prevention, detection, diagnosis, treatment, and palliative care of cancer by enabling researchers, doctors, policymakers, and other healthcare professionals to freely share research along the cancer control continuum. Our vision is a world where gold-standard cancer care is the norm, not the exception.
×
引用
GB/T 7714-2015
复制
MLA
复制
APA
复制
导出至
BibTeX EndNote RefMan NoteFirst NoteExpress
×
提示
您的信息不完整,为了账户安全,请先补充。
现在去补充
×
提示
您因"违规操作"
具体请查看互助需知
我知道了
×
提示
确定
请完成安全验证×
copy
已复制链接
快去分享给好友吧!
我知道了
右上角分享
点击右上角分享
0
联系我们:info@booksci.cn Book学术提供免费学术资源搜索服务,方便国内外学者检索中英文文献。致力于提供最便捷和优质的服务体验。 Copyright © 2023 布克学术 All rights reserved.
京ICP备2023020795号-1
ghs 京公网安备 11010802042870号
Book学术文献互助
Book学术文献互助群
群 号:604180095
Book学术官方微信