Opioid Prescribing Trends by Croatian Dentists - Is there a Reason for Concern?

IF 1.8 Q3 DENTISTRY, ORAL SURGERY & MEDICINE
Lara Vranić, Krešimir Bašić, Ivana Šutej
{"title":"Opioid Prescribing Trends by Croatian Dentists - Is there a Reason for Concern?","authors":"Lara Vranić, Krešimir Bašić, Ivana Šutej","doi":"10.15644/asc58/4/6","DOIUrl":null,"url":null,"abstract":"<p><strong>Objective: </strong>Prescription opioid abuse, associated with numerous opioids, is a well-established public health problem in developed countries such as the UK, US and Australia. Opioids have a limited role in general dental practice; hence the aim of this study was to assess prescribing rates of opioids in dentistry from 2013 to 2023 in Croatia.</p><p><strong>Materials and methods: </strong>Data on opioid prescribing practices for this study were provided by the Croatian Health Insurance Fund. The analysis included the number of prescriptions, cost, and the number of packages prescribed.</p><p><strong>Results: </strong>Over the 11 years, dentists in Croatia have prescribed a total of 9132 opioid prescriptions, representing annually on average 1,1% of all analgesic prescriptions, and 0,2% of all dental prescriptions. The number of opioid prescriptions per 1,000 dental patients was on average 0, 19. Tramadol/paracetamol and tramadol were the most prescribed opioids, with average annual number of prescriptions amounting to 622, 7 (64% of opioids prescriptions) and 114, 5 (1, 1% of analgesic prescriptions), respectively. Trends in opioid prescription varied, especially during pandemic years (2020-2022), when tramadol rates decreased while fixed combination medications tramadol/paracetamol and tramadol/dexketoprofen increased. But an overall increasing trend was observed during that period.</p><p><strong>Conclusion: </strong>Dentists in Croatia are restrictive and conservative in prescribing opioids, and there is no need for intervention, but because of increasing trends, observing the prescribing pattern in the future is highly recommended.</p>","PeriodicalId":7154,"journal":{"name":"Acta Stomatologica Croatica","volume":"58 4","pages":"373-381"},"PeriodicalIF":1.8000,"publicationDate":"2024-12-01","publicationTypes":"Journal Article","fieldsOfStudy":null,"isOpenAccess":false,"openAccessPdf":"https://www.ncbi.nlm.nih.gov/pmc/articles/PMC11801261/pdf/","citationCount":"0","resultStr":null,"platform":"Semanticscholar","paperid":null,"PeriodicalName":"Acta Stomatologica Croatica","FirstCategoryId":"1085","ListUrlMain":"https://doi.org/10.15644/asc58/4/6","RegionNum":0,"RegionCategory":null,"ArticlePicture":[],"TitleCN":null,"AbstractTextCN":null,"PMCID":null,"EPubDate":"","PubModel":"","JCR":"Q3","JCRName":"DENTISTRY, ORAL SURGERY & MEDICINE","Score":null,"Total":0}
引用次数: 0

Abstract

Objective: Prescription opioid abuse, associated with numerous opioids, is a well-established public health problem in developed countries such as the UK, US and Australia. Opioids have a limited role in general dental practice; hence the aim of this study was to assess prescribing rates of opioids in dentistry from 2013 to 2023 in Croatia.

Materials and methods: Data on opioid prescribing practices for this study were provided by the Croatian Health Insurance Fund. The analysis included the number of prescriptions, cost, and the number of packages prescribed.

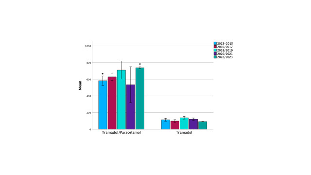
Results: Over the 11 years, dentists in Croatia have prescribed a total of 9132 opioid prescriptions, representing annually on average 1,1% of all analgesic prescriptions, and 0,2% of all dental prescriptions. The number of opioid prescriptions per 1,000 dental patients was on average 0, 19. Tramadol/paracetamol and tramadol were the most prescribed opioids, with average annual number of prescriptions amounting to 622, 7 (64% of opioids prescriptions) and 114, 5 (1, 1% of analgesic prescriptions), respectively. Trends in opioid prescription varied, especially during pandemic years (2020-2022), when tramadol rates decreased while fixed combination medications tramadol/paracetamol and tramadol/dexketoprofen increased. But an overall increasing trend was observed during that period.

Conclusion: Dentists in Croatia are restrictive and conservative in prescribing opioids, and there is no need for intervention, but because of increasing trends, observing the prescribing pattern in the future is highly recommended.

Abstract Image

Abstract Image

克罗地亚牙医开具阿片类药物处方的趋势——是否有值得关注的理由?
目的:处方阿片类药物滥用与多种阿片类药物相关,是英国、美国和澳大利亚等发达国家公认的公共卫生问题。阿片类药物在一般牙科实践中的作用有限;因此,本研究的目的是评估2013年至2023年克罗地亚牙科阿片类药物的处方率。材料和方法:本研究的阿片类药物处方做法数据由克罗地亚健康保险基金提供。分析包括处方数量、成本和处方包装数量。结果:11年来,克罗地亚牙医共开出9132张阿片类药物处方,平均每年占所有镇痛药处方的1.1%,占所有牙科处方的0.2%。每1000名牙科患者的阿片类药物处方数量平均为0.19张。曲马多/扑热息痛和曲马多是处方最多的阿片类药物,年平均处方量分别为622 7张(占阿片类药物处方的64%)和114 5张(占镇痛药处方的1.1%)。阿片类药物处方的趋势各不相同,特别是在大流行年份(2020-2022年),曲马多用量下降,而曲马多/扑热息痛和曲马多/右酮洛芬固定联合用药增加。但在此期间观察到总体呈上升趋势。结论:克罗地亚牙医对阿片类药物的处方限制和保守,不需要干预,但由于有增加的趋势,强烈建议观察未来的处方模式。
本文章由计算机程序翻译,如有差异,请以英文原文为准。
求助全文
约1分钟内获得全文 求助全文
来源期刊
Acta Stomatologica Croatica
Acta Stomatologica Croatica DENTISTRY, ORAL SURGERY & MEDICINE-
CiteScore
2.40
自引率
28.60%
发文量
32
审稿时长
12 weeks
期刊介绍: The Acta Stomatologica Croatica (ASCRO) is a leading scientific non-profit journal in the field of dental, oral and cranio-facial sciences during the past 44 years in Croatia. ASCRO publishes original scientific and clinical papers, preliminary communications, case reports, book reviews, letters to the editor and news. Review articles are published by invitation from the Editor-in-Chief by acclaimed professionals in distinct fields of dental medicine. All manuscripts are subjected to peer review process.
×
引用
GB/T 7714-2015
复制
MLA
复制
APA
复制
导出至
BibTeX EndNote RefMan NoteFirst NoteExpress
×
提示
您的信息不完整,为了账户安全,请先补充。
现在去补充
×
提示
您因"违规操作"
具体请查看互助需知
我知道了
×
提示
确定
请完成安全验证×
copy
已复制链接
快去分享给好友吧!
我知道了
右上角分享
点击右上角分享
0
联系我们:info@booksci.cn Book学术提供免费学术资源搜索服务,方便国内外学者检索中英文文献。致力于提供最便捷和优质的服务体验。 Copyright © 2023 布克学术 All rights reserved.
京ICP备2023020795号-1
ghs 京公网安备 11010802042870号
Book学术文献互助
Book学术文献互助群
群 号:604180095
Book学术官方微信