Comparison of phenotypic and genetic traits of ESBL-producing UPEC strains causing recurrent or single episode UTI in postmenopausal women.

IF 3.6 2区 医学 Q1 MICROBIOLOGY
Michelle Kalu, Peter Jorth, Annie Wong-Beringer
{"title":"Comparison of phenotypic and genetic traits of ESBL-producing UPEC strains causing recurrent or single episode UTI in postmenopausal women.","authors":"Michelle Kalu, Peter Jorth, Annie Wong-Beringer","doi":"10.1186/s12941-025-00779-7","DOIUrl":null,"url":null,"abstract":"<p><strong>Background: </strong>Recurrent urinary tract infections (rUTIs) occur in over 20% of patients, with postmenopausal women (over 50 years old) carrying the highest risk for recurrence compared to younger women. Virulence factors such as type 1 fimbriae adhesin FimH, the outer membrane protease OmpT, and the secreted pore-forming toxin α-hemolysin (HlyA) have been shown to support the formation of intracellular bacterial communities (IBCs) within bladder epithelial cells (BECs), facilitating persistence. This study aims to characterize the virulence expression and intracellular persistence of ESBL-producing uropathogenic E. coli (E-UPEC) strains isolated from postmenopausal women with recurrent or single episode infections.</p><p><strong>Methods: </strong>Study strains included 72 E-UPEC strains collected from patients (36 recurrent; 36 single episode) with a confirmed UTI diagnosis and control UPEC strains (CFT073 and UTI89). Patient demographics and clinical course were collected. Presence of hlyA, ompT, and fimH genes were confirmed by colony PCR, and qRT-PCR was performed using extracted RNA from a subset of 18 strains (12 recurrent; 6 single episode) grown in Luria-Bertani media and isolated from infected BECs to characterize gene expression. Bladder cell line 5637 was infected with study strains at MOI 15 for 2 h, treated with amikacin for 2 h to remove extracellular bacteria, then lysed to enumerate intracellular CFU counts.</p><p><strong>Results: </strong>No differences in clinical characteristics between patient groups were observed. Overall prevalence of fimH, ompT, and hlyA was 99% (71/72), 82% (59/72), and 26% (19/72) respectively; presence of all three genes did not differ between recurrent and single-episode strains. Notably, all recurrent strains had significantly more intracellular CFUs compared to single episode strains (median 16,248 CFU/mL vs. 4,118 CFU/mL, p = 0.018). Intracellular expression ompT was significantly increased (p = 0.0312) in the recurrent group compared to LB media, while fimH was significantly decreased (p = 0.0365) in the single episode group compared to expression in LB media.</p><p><strong>Conclusion: </strong>Our findings indicate strain-specific ability to persist inside BECs with the recurrent strains exhibiting increased ompT expression inside BECs and higher intracellular bacterial burden compared to strains causing single episode UTI. These results emphasize the potential microbial contributions to recurrence in postmenopausal women and warrant future investigations on the impact of antibiotic therapy and host response on IBC-supportive UPEC virulence.</p>","PeriodicalId":8052,"journal":{"name":"Annals of Clinical Microbiology and Antimicrobials","volume":"24 1","pages":"11"},"PeriodicalIF":3.6000,"publicationDate":"2025-02-07","publicationTypes":"Journal Article","fieldsOfStudy":null,"isOpenAccess":false,"openAccessPdf":"https://www.ncbi.nlm.nih.gov/pmc/articles/PMC11806750/pdf/","citationCount":"0","resultStr":null,"platform":"Semanticscholar","paperid":null,"PeriodicalName":"Annals of Clinical Microbiology and Antimicrobials","FirstCategoryId":"3","ListUrlMain":"https://doi.org/10.1186/s12941-025-00779-7","RegionNum":2,"RegionCategory":"医学","ArticlePicture":[],"TitleCN":null,"AbstractTextCN":null,"PMCID":null,"EPubDate":"","PubModel":"","JCR":"Q1","JCRName":"MICROBIOLOGY","Score":null,"Total":0}
引用次数: 0

Abstract

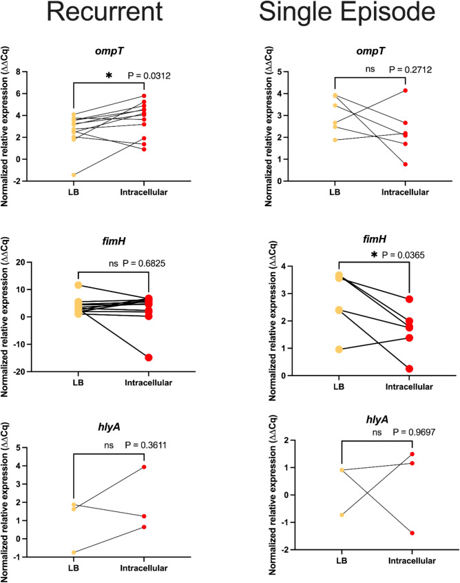
Background: Recurrent urinary tract infections (rUTIs) occur in over 20% of patients, with postmenopausal women (over 50 years old) carrying the highest risk for recurrence compared to younger women. Virulence factors such as type 1 fimbriae adhesin FimH, the outer membrane protease OmpT, and the secreted pore-forming toxin α-hemolysin (HlyA) have been shown to support the formation of intracellular bacterial communities (IBCs) within bladder epithelial cells (BECs), facilitating persistence. This study aims to characterize the virulence expression and intracellular persistence of ESBL-producing uropathogenic E. coli (E-UPEC) strains isolated from postmenopausal women with recurrent or single episode infections.

Methods: Study strains included 72 E-UPEC strains collected from patients (36 recurrent; 36 single episode) with a confirmed UTI diagnosis and control UPEC strains (CFT073 and UTI89). Patient demographics and clinical course were collected. Presence of hlyA, ompT, and fimH genes were confirmed by colony PCR, and qRT-PCR was performed using extracted RNA from a subset of 18 strains (12 recurrent; 6 single episode) grown in Luria-Bertani media and isolated from infected BECs to characterize gene expression. Bladder cell line 5637 was infected with study strains at MOI 15 for 2 h, treated with amikacin for 2 h to remove extracellular bacteria, then lysed to enumerate intracellular CFU counts.

Results: No differences in clinical characteristics between patient groups were observed. Overall prevalence of fimH, ompT, and hlyA was 99% (71/72), 82% (59/72), and 26% (19/72) respectively; presence of all three genes did not differ between recurrent and single-episode strains. Notably, all recurrent strains had significantly more intracellular CFUs compared to single episode strains (median 16,248 CFU/mL vs. 4,118 CFU/mL, p = 0.018). Intracellular expression ompT was significantly increased (p = 0.0312) in the recurrent group compared to LB media, while fimH was significantly decreased (p = 0.0365) in the single episode group compared to expression in LB media.

Conclusion: Our findings indicate strain-specific ability to persist inside BECs with the recurrent strains exhibiting increased ompT expression inside BECs and higher intracellular bacterial burden compared to strains causing single episode UTI. These results emphasize the potential microbial contributions to recurrence in postmenopausal women and warrant future investigations on the impact of antibiotic therapy and host response on IBC-supportive UPEC virulence.

Abstract Image

Abstract Image

Abstract Image

引起绝经后妇女复发性或单期尿路感染的产esbl UPEC菌株的表型和遗传特征比较
背景:复发性尿路感染(rUTIs)发生在超过20%的患者中,与年轻女性相比,绝经后妇女(50岁以上)的复发风险最高。毒力因子如1型菌毛黏附素FimH、外膜蛋白酶OmpT和分泌的成孔毒素α-溶血素(HlyA)已被证明支持膀胱上皮细胞(BECs)内细胞内细菌群落(IBCs)的形成,促进持久性。本研究旨在描述从绝经后复发或单次感染妇女中分离的产esbl尿路致病性大肠杆菌(E-UPEC)菌株的毒力表达和细胞内持久性。方法:研究菌株包括72株E-UPEC患者(36例复发;36例单次发作),确诊为UTI,对照UPEC菌株(CFT073和UTI89)。收集患者人口统计资料和临床病程。通过集落PCR确认hlyA、ompT和fimH基因的存在,并使用从18株(12株复发;在Luria-Bertani培养基中培养,并从受感染的BECs中分离,以表征基因表达。用研究菌株在MOI 15下感染膀胱细胞株5637 2 h,用阿米卡星处理2 h以清除胞外细菌,然后裂解计数胞内CFU计数。结果:两组患者临床特征无明显差异。fimH、ompT和hlyA的总患病率分别为99%(71/72)、82%(59/72)和26% (19/72);所有三种基因的存在在复发株和单发作株之间没有差异。值得注意的是,与单次发作菌株相比,所有复发菌株的细胞内CFU明显更多(中位数16,248 CFU/mL vs. 4,118 CFU/mL, p = 0.018)。与LB培养基相比,复发组细胞内ompT表达显著升高(p = 0.0312),而单发作组细胞内fimH表达显著降低(p = 0.0365)。结论:我们的研究结果表明菌株特异性在BECs内持续存在的能力,与引起单次UTI的菌株相比,复发菌株在BECs内表现出更高的ompT表达和更高的细胞内细菌负荷。这些结果强调了微生物对绝经后妇女复发的潜在贡献,并为未来研究抗生素治疗和宿主反应对ibc支持的UPEC毒力的影响提供了依据。
本文章由计算机程序翻译,如有差异,请以英文原文为准。
求助全文
约1分钟内获得全文 求助全文
来源期刊
CiteScore
8.60
自引率
0.00%
发文量
49
审稿时长
>12 weeks
期刊介绍: Annals of Clinical Microbiology and Antimicrobials considers good quality, novel and international research of more than regional relevance. Research must include epidemiological and/or clinical information about isolates, and the journal covers the clinical microbiology of bacteria, viruses and fungi, as well as antimicrobial treatment of infectious diseases. Annals of Clinical Microbiology and Antimicrobials is an open access, peer-reviewed journal focusing on information concerning clinical microbiology, infectious diseases and antimicrobials. The management of infectious disease is dependent on correct diagnosis and appropriate antimicrobial treatment, and with this in mind, the journal aims to improve the communication between laboratory and clinical science in the field of clinical microbiology and antimicrobial treatment. Furthermore, the journal has no restrictions on space or access; this ensures that the journal can reach the widest possible audience.
×
引用
GB/T 7714-2015
复制
MLA
复制
APA
复制
导出至
BibTeX EndNote RefMan NoteFirst NoteExpress
×
提示
您的信息不完整,为了账户安全,请先补充。
现在去补充
×
提示
您因"违规操作"
具体请查看互助需知
我知道了
×
提示
确定
请完成安全验证×
copy
已复制链接
快去分享给好友吧!
我知道了
右上角分享
点击右上角分享
0
联系我们:info@booksci.cn Book学术提供免费学术资源搜索服务,方便国内外学者检索中英文文献。致力于提供最便捷和优质的服务体验。 Copyright © 2023 布克学术 All rights reserved.
京ICP备2023020795号-1
ghs 京公网安备 11010802042870号
Book学术文献互助
Book学术文献互助群
群 号:604180095
Book学术官方微信