A validation of machine learning models for the identification of critically ill children presenting to the paediatric emergency room of a tertiary hospital in South Africa: A proof of concept.

M A Pienaar, N Luwes, J B Sempa, E George, S C Brown
{"title":"A validation of machine learning models for the identification of critically ill children presenting to the paediatric emergency room of a tertiary hospital in South Africa: A proof of concept.","authors":"M A Pienaar, N Luwes, J B Sempa, E George, S C Brown","doi":"10.7196/SAJCC.2024.v40i3.1398","DOIUrl":null,"url":null,"abstract":"<p><strong>Background: </strong>Machine learning (ML) refers to computational algorithms designed to learn from patterns in data to provide insights or predictions related to that data.</p><p><strong>Objectives: </strong>Multiple studies report the development of predictive models for triage or identification of critically ill children. In this study, we validate machine learning models developed in South Africa for the identification of critically ill children presenting to a tertiary hospital.</p><p><strong>Results: </strong>The validation sample comprised 267 patients. The event rate for the study outcome was 0.12. All models demonstrated good discrimination but weak calibration. Artificial neural network 1 (ANN1) had the highest area under the receiver operating characteristic curve (AUROC) with a value of 0.84. ANN2 had the highest area under the precision-recall curve (AUPRC) with a value of 0.65. Decision curve analysis demonstrated that all models were superior to standard strategies of treating all patients or treating no patients at a proposed threshold probability of 10%. Confidence intervals for model performance overlapped considerably. Post hoc model explanations demonstrated that models were logically coherent with clinical knowledge.</p><p><strong>Conclusions: </strong>Internal validation of the predictive models correlated with model performance in the development study. The models were able to discriminate between critically ill children and non-critically ill children; however, the superiority of one model over the others could not be demonstrated in this study. Therefore, models such as these still require further refinement and external validation before implementation in clinical practice. Indeed, successful implementation of machine learning in practice within the South African setting will require the development of regulatory and infrastructural frameworks in conjunction with the adoption of alternative approaches to electronic data capture, such as the use of mobile devices.</p>","PeriodicalId":75194,"journal":{"name":"The Southern African journal of critical care : the official journal of the Critical Care Society","volume":"40 3","pages":"e1398"},"PeriodicalIF":0.0000,"publicationDate":"2024-11-25","publicationTypes":"Journal Article","fieldsOfStudy":null,"isOpenAccess":false,"openAccessPdf":"https://www.ncbi.nlm.nih.gov/pmc/articles/PMC11792591/pdf/","citationCount":"0","resultStr":null,"platform":"Semanticscholar","paperid":null,"PeriodicalName":"The Southern African journal of critical care : the official journal of the Critical Care Society","FirstCategoryId":"1085","ListUrlMain":"https://doi.org/10.7196/SAJCC.2024.v40i3.1398","RegionNum":0,"RegionCategory":null,"ArticlePicture":[],"TitleCN":null,"AbstractTextCN":null,"PMCID":null,"EPubDate":"2024/1/1 0:00:00","PubModel":"eCollection","JCR":"","JCRName":"","Score":null,"Total":0}
引用次数: 0

Abstract

Background: Machine learning (ML) refers to computational algorithms designed to learn from patterns in data to provide insights or predictions related to that data.

Objectives: Multiple studies report the development of predictive models for triage or identification of critically ill children. In this study, we validate machine learning models developed in South Africa for the identification of critically ill children presenting to a tertiary hospital.

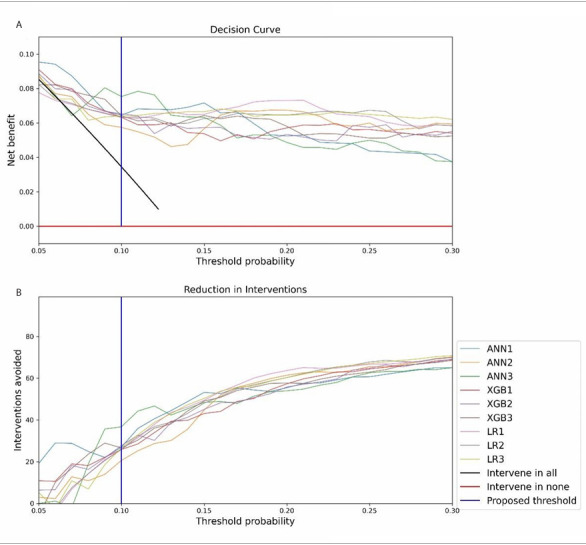
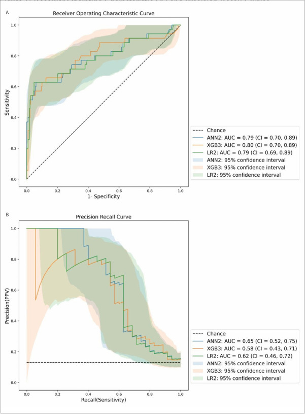
Results: The validation sample comprised 267 patients. The event rate for the study outcome was 0.12. All models demonstrated good discrimination but weak calibration. Artificial neural network 1 (ANN1) had the highest area under the receiver operating characteristic curve (AUROC) with a value of 0.84. ANN2 had the highest area under the precision-recall curve (AUPRC) with a value of 0.65. Decision curve analysis demonstrated that all models were superior to standard strategies of treating all patients or treating no patients at a proposed threshold probability of 10%. Confidence intervals for model performance overlapped considerably. Post hoc model explanations demonstrated that models were logically coherent with clinical knowledge.

Conclusions: Internal validation of the predictive models correlated with model performance in the development study. The models were able to discriminate between critically ill children and non-critically ill children; however, the superiority of one model over the others could not be demonstrated in this study. Therefore, models such as these still require further refinement and external validation before implementation in clinical practice. Indeed, successful implementation of machine learning in practice within the South African setting will require the development of regulatory and infrastructural frameworks in conjunction with the adoption of alternative approaches to electronic data capture, such as the use of mobile devices.

Abstract Image

Abstract Image

Abstract Image

对南非某三级医院儿科急诊室重症儿童识别的机器学习模型的验证:概念验证。
背景:机器学习(ML)是指旨在从数据模式中学习以提供与该数据相关的见解或预测的计算算法。目的:多项研究报告了危重儿童分诊或鉴定预测模型的发展。在这项研究中,我们验证了在南非开发的机器学习模型,用于识别到三级医院就诊的危重儿童。结果:验证样本包括267例患者。研究结果的事件率为0.12。所有模型均具有良好的判别性,但标定能力较弱。人工神经网络1 (ANN1)的受试者工作特征曲线下面积最大,为0.84。ANN2在精密度召回曲线(AUPRC)下的面积最大,为0.65。决策曲线分析表明,所有模型都优于在10%的阈值概率下治疗所有患者或不治疗患者的标准策略。模型性能的置信区间有很大的重叠。事后模型解释表明模型与临床知识在逻辑上是一致的。结论:在发展研究中,预测模型的内部验证与模型性能相关。这些模型能够区分危重儿童和非危重儿童;然而,在本研究中无法证明其中一种模型优于其他模型。因此,这些模型在临床应用前仍需要进一步完善和外部验证。事实上,在南非环境中成功实施机器学习将需要制定监管和基础设施框架,同时采用电子数据捕获的替代方法,例如使用移动设备。
本文章由计算机程序翻译,如有差异,请以英文原文为准。
求助全文
约1分钟内获得全文 求助全文
来源期刊
自引率
0.00%
发文量
0
×
引用
GB/T 7714-2015
复制
MLA
复制
APA
复制
导出至
BibTeX EndNote RefMan NoteFirst NoteExpress
×
提示
您的信息不完整,为了账户安全,请先补充。
现在去补充
×
提示
您因"违规操作"
具体请查看互助需知
我知道了
×
提示
确定
请完成安全验证×
copy
已复制链接
快去分享给好友吧!
我知道了
右上角分享
点击右上角分享
0
联系我们:info@booksci.cn Book学术提供免费学术资源搜索服务,方便国内外学者检索中英文文献。致力于提供最便捷和优质的服务体验。 Copyright © 2023 布克学术 All rights reserved.
京ICP备2023020795号-1
ghs 京公网安备 11010802042870号
Book学术文献互助
Book学术文献互助群
群 号:604180095
Book学术官方微信