Association of ethylene oxide exposure and obstructive sleep apnea.

IF 2.5 3区 医学 Q1 PUBLIC, ENVIRONMENTAL & OCCUPATIONAL HEALTH
Shanni Ma, Shangfen Xie
{"title":"Association of ethylene oxide exposure and obstructive sleep apnea.","authors":"Shanni Ma, Shangfen Xie","doi":"10.1265/ehpm.24-00248","DOIUrl":null,"url":null,"abstract":"<p><strong>Background: </strong>Ethylene oxide (EO) is a widely utilized industrial compound known to pose health hazards. Although its carcinogenic characteristics have been thoroughly investigated, recent findings indicate possible links to respiratory disease. The correlation between EO exposure and the likelihood of developing obstructive sleep apnea (OSA) in individuals remains unclear. The study aimed to explore the association between EO exposure and OSA within the broader US population.</p><p><strong>Methods: </strong>From 2015 to 2020, 4355 participants were analyzed cross-sectionally in the National Health and Nutrition Examination Survey (NHANES). As the primary indicator of EO exposure, hemoglobin adducts of EO (HbEO) were used in this study. The relationship between EO exposure and OSA prevalence was assessed using weighted multivariable regression analysis and smoothing curve fitting. Using subgroup analysis and interaction tests, we investigated whether this association remained consistent across populations.</p><p><strong>Results: </strong>According to the study, higher HbEO level was positively correlated with a higher prevalence of OSA. Compared to the first HbEO quartile (Q1), participants within the highest quartile (Q4) presented a higher OSA prevalence in the fully model (OR = 1.32, 95% CI: 1.08-1.62, P = 0.01, P for trend = 0.001). This correlation was particularly evident among females and individuals who are insufficiently physically active.</p><p><strong>Conclusions: </strong>This research found a positive relationship between the extent of exposure to EO and OSA prevalence among a representative sample of Americans.</p>","PeriodicalId":11707,"journal":{"name":"Environmental Health and Preventive Medicine","volume":"30 ","pages":"9"},"PeriodicalIF":2.5000,"publicationDate":"2025-01-01","publicationTypes":"Journal Article","fieldsOfStudy":null,"isOpenAccess":false,"openAccessPdf":"https://www.ncbi.nlm.nih.gov/pmc/articles/PMC11839282/pdf/","citationCount":"0","resultStr":null,"platform":"Semanticscholar","paperid":null,"PeriodicalName":"Environmental Health and Preventive Medicine","FirstCategoryId":"3","ListUrlMain":"https://doi.org/10.1265/ehpm.24-00248","RegionNum":3,"RegionCategory":"医学","ArticlePicture":[],"TitleCN":null,"AbstractTextCN":null,"PMCID":null,"EPubDate":"","PubModel":"","JCR":"Q1","JCRName":"PUBLIC, ENVIRONMENTAL & OCCUPATIONAL HEALTH","Score":null,"Total":0}
引用次数: 0

Abstract

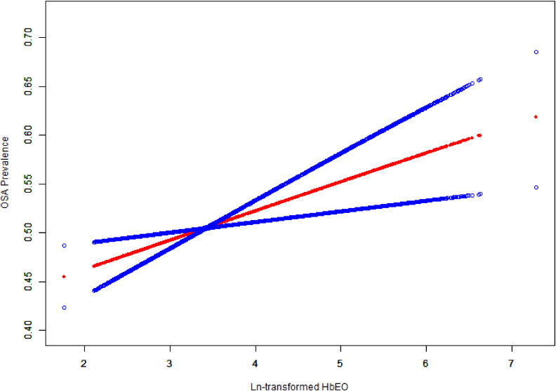
Background: Ethylene oxide (EO) is a widely utilized industrial compound known to pose health hazards. Although its carcinogenic characteristics have been thoroughly investigated, recent findings indicate possible links to respiratory disease. The correlation between EO exposure and the likelihood of developing obstructive sleep apnea (OSA) in individuals remains unclear. The study aimed to explore the association between EO exposure and OSA within the broader US population.

Methods: From 2015 to 2020, 4355 participants were analyzed cross-sectionally in the National Health and Nutrition Examination Survey (NHANES). As the primary indicator of EO exposure, hemoglobin adducts of EO (HbEO) were used in this study. The relationship between EO exposure and OSA prevalence was assessed using weighted multivariable regression analysis and smoothing curve fitting. Using subgroup analysis and interaction tests, we investigated whether this association remained consistent across populations.

Results: According to the study, higher HbEO level was positively correlated with a higher prevalence of OSA. Compared to the first HbEO quartile (Q1), participants within the highest quartile (Q4) presented a higher OSA prevalence in the fully model (OR = 1.32, 95% CI: 1.08-1.62, P = 0.01, P for trend = 0.001). This correlation was particularly evident among females and individuals who are insufficiently physically active.

Conclusions: This research found a positive relationship between the extent of exposure to EO and OSA prevalence among a representative sample of Americans.

Abstract Image

Abstract Image

Abstract Image

环氧乙烷暴露与阻塞性睡眠呼吸暂停的关系。
背景:环氧乙烷(EO)是一种广泛使用的工业化合物,已知会对健康造成危害。虽然对其致癌特性进行了彻底的调查,但最近的研究结果表明,它可能与呼吸系统疾病有关。EO暴露与个体发生阻塞性睡眠呼吸暂停(OSA)的可能性之间的相关性尚不清楚。这项研究的目的是在更广泛的美国人群中探索EO暴露与阻塞性睡眠呼吸暂停之间的关系。方法:对2015 - 2020年全国健康与营养调查(NHANES) 4355名参与者进行横断面分析。本研究采用血红蛋白加合物(HbEO)作为EO暴露的主要指标。使用加权多变量回归分析和平滑曲线拟合评估EO暴露与OSA患病率之间的关系。通过亚组分析和相互作用测试,我们调查了这种关联是否在人群中保持一致。结果:研究表明,较高的HbEO水平与较高的OSA患病率呈正相关。与第一个HbEO四分位数(Q1)相比,在完整模型中,最高四分位数(Q4)的参与者表现出更高的OSA患病率(OR = 1.32, 95% CI: 1.08-1.62, P = 0.01,趋势P = 0.001)。这种相关性在女性和身体活动不足的个体中尤为明显。结论:本研究发现,在具有代表性的美国人样本中,暴露于EO的程度与OSA患病率呈正相关。
本文章由计算机程序翻译,如有差异,请以英文原文为准。
求助全文
约1分钟内获得全文 求助全文
来源期刊
Environmental Health and Preventive Medicine
Environmental Health and Preventive Medicine PUBLIC, ENVIRONMENTAL & OCCUPATIONAL HEALTH -
CiteScore
7.90
自引率
2.10%
发文量
44
审稿时长
10 weeks
期刊介绍: The official journal of the Japanese Society for Hygiene, Environmental Health and Preventive Medicine (EHPM) brings a comprehensive approach to prevention and environmental health related to medical, biological, molecular biological, genetic, physical, psychosocial, chemical, and other environmental factors. Environmental Health and Preventive Medicine features definitive studies on human health sciences and provides comprehensive and unique information to a worldwide readership.
×
引用
GB/T 7714-2015
复制
MLA
复制
APA
复制
导出至
BibTeX EndNote RefMan NoteFirst NoteExpress
×
提示
您的信息不完整,为了账户安全,请先补充。
现在去补充
×
提示
您因"违规操作"
具体请查看互助需知
我知道了
×
提示
确定
请完成安全验证×
copy
已复制链接
快去分享给好友吧!
我知道了
右上角分享
点击右上角分享
0
联系我们:info@booksci.cn Book学术提供免费学术资源搜索服务,方便国内外学者检索中英文文献。致力于提供最便捷和优质的服务体验。 Copyright © 2023 布克学术 All rights reserved.
京ICP备2023020795号-1
ghs 京公网安备 11010802042870号
Book学术文献互助
Book学术文献互助群
群 号:604180095
Book学术官方微信