Differential effects of dietary and physical activity interventions on adiposity of children with obesity.

IF 3.6 Q1 PEDIATRICS
Clinical and Experimental Pediatrics Pub Date : 2025-05-01 Epub Date: 2025-02-03 DOI:10.3345/cep.2024.01347
Anekchoke Tangtongsoong, Chonnikant Visuthranukul, Yuda Chongpison, Sirinuch Chomtho
{"title":"Differential effects of dietary and physical activity interventions on adiposity of children with obesity.","authors":"Anekchoke Tangtongsoong, Chonnikant Visuthranukul, Yuda Chongpison, Sirinuch Chomtho","doi":"10.3345/cep.2024.01347","DOIUrl":null,"url":null,"abstract":"<p><strong>Background: </strong>Managing obesity in children remains challenging. In addition to body mass index (BMI), incorporating body composition into evaluations of postobesity interventions would help assess changes in adiposity.</p><p><strong>Purpose: </strong>This study aimed to identify the relationship between dietary intake, physical activity, and changes in BMI z scores and adiposity among children with obesity.</p><p><strong>Methods: </strong>Children aged 7-15 years with obesity received monthly dietary and physical activity instructions for 6 months. Three-day dietary records and physical activity questionnaires were collected at 0, 3, and 6 months. Body composition was measured using bioelectrical impedance analysis. These relationships were analyzed using uni- and multivariate linear regression analyses.</p><p><strong>Results: </strong>A total of 155 children with obesity completed the 6-month study. A higher total protein intake per ideal weight for height was significantly correlated with a decrease in BMI z score and trunk fat mass index (trunk fat mass [FM] in kg/height in m2). Mean dietary fiber intake was negatively correlated with BMI z score, FM, FM index (FMI, FM in kg/height in m2), and visceral fat area (VFA) at 6 months. Each 1 g/kg/day increase in protein intake and additional 1 g/day of dietary fiber intake led to a 0.191 kg/m2 (95% confidence interval [CI], -0.309 to -0.072) and 0.028 kg/m2 (-0.05 to -0.005) reduction in BMI z score. Each 1 g/day increase in protein intake led to a reduction of 0.009 kg/m² in trunk FMI (-0.016 to -0.002) and 0.21 cm² in VFA (-0.418 to -0.002). The outcomes observed at 6 months were consistent with the overall 6-month findings, reinforcing the efficacy of the intervention.</p><p><strong>Conclusion: </strong>Our study showed beneficial effects of high dietary protein and fiber intakes on BMI z scores and adiposity of children with obesity. Fine-tuning dietary interventions that emphasize appropriate protein and fiber intakes may be more practical for managing childhood obesity.</p>","PeriodicalId":36018,"journal":{"name":"Clinical and Experimental Pediatrics","volume":" ","pages":"370-378"},"PeriodicalIF":3.6000,"publicationDate":"2025-05-01","publicationTypes":"Journal Article","fieldsOfStudy":null,"isOpenAccess":false,"openAccessPdf":"https://www.ncbi.nlm.nih.gov/pmc/articles/PMC12062386/pdf/","citationCount":"0","resultStr":null,"platform":"Semanticscholar","paperid":null,"PeriodicalName":"Clinical and Experimental Pediatrics","FirstCategoryId":"1085","ListUrlMain":"https://doi.org/10.3345/cep.2024.01347","RegionNum":0,"RegionCategory":null,"ArticlePicture":[],"TitleCN":null,"AbstractTextCN":null,"PMCID":null,"EPubDate":"2025/2/3 0:00:00","PubModel":"Epub","JCR":"Q1","JCRName":"PEDIATRICS","Score":null,"Total":0}
引用次数: 0

Abstract

Background: Managing obesity in children remains challenging. In addition to body mass index (BMI), incorporating body composition into evaluations of postobesity interventions would help assess changes in adiposity.

Purpose: This study aimed to identify the relationship between dietary intake, physical activity, and changes in BMI z scores and adiposity among children with obesity.

Methods: Children aged 7-15 years with obesity received monthly dietary and physical activity instructions for 6 months. Three-day dietary records and physical activity questionnaires were collected at 0, 3, and 6 months. Body composition was measured using bioelectrical impedance analysis. These relationships were analyzed using uni- and multivariate linear regression analyses.

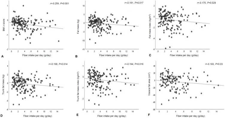
Results: A total of 155 children with obesity completed the 6-month study. A higher total protein intake per ideal weight for height was significantly correlated with a decrease in BMI z score and trunk fat mass index (trunk fat mass [FM] in kg/height in m2). Mean dietary fiber intake was negatively correlated with BMI z score, FM, FM index (FMI, FM in kg/height in m2), and visceral fat area (VFA) at 6 months. Each 1 g/kg/day increase in protein intake and additional 1 g/day of dietary fiber intake led to a 0.191 kg/m2 (95% confidence interval [CI], -0.309 to -0.072) and 0.028 kg/m2 (-0.05 to -0.005) reduction in BMI z score. Each 1 g/day increase in protein intake led to a reduction of 0.009 kg/m² in trunk FMI (-0.016 to -0.002) and 0.21 cm² in VFA (-0.418 to -0.002). The outcomes observed at 6 months were consistent with the overall 6-month findings, reinforcing the efficacy of the intervention.

Conclusion: Our study showed beneficial effects of high dietary protein and fiber intakes on BMI z scores and adiposity of children with obesity. Fine-tuning dietary interventions that emphasize appropriate protein and fiber intakes may be more practical for managing childhood obesity.

Abstract Image

Abstract Image

Abstract Image

饮食和体育活动干预对肥胖儿童肥胖的不同影响。
背景:管理儿童肥胖仍然具有挑战性。除了身体质量指数(BMI)外,将身体成分纳入肥胖后干预措施的评估将有助于评估肥胖的变化。目的:本研究旨在确定肥胖儿童饮食摄入、身体活动和BMI z-score变化与肥胖之间的关系。方法:7-15岁肥胖儿童每月接受6个月的饮食和身体活动指导。在0、3和6个月时收集三天的饮食记录和身体活动问卷。采用生物电阻抗分析法测定体成分。使用单变量和多变量线性回归分析分析这些关系。结果:共有155名肥胖儿童完成了为期6个月的研究。较高的每理想体重/身高总蛋白质摄入量与BMI z-score和躯干脂肪质量指数(躯干脂肪质量[FM],单位kg/身高,单位m2)的降低显著相关。6个月时,平均膳食纤维摄入量与BMI z-score、FM、FM指数(FMI, FM单位kg/height单位m2)和内脏脂肪面积(VFA)呈负相关。蛋白质摄入量每增加1 g/kg/天,膳食纤维摄入量每增加1 g/kg/天,BMI z-score分别减少0.191 kg/m2(95%可信区间[CI], -0.309至-0.072)和0.028 kg/m2(-0.05至-0.005)。蛋白质摄入量每增加1克/天,躯干FMI减少0.009 kg/m²(-0.016至-0.002),VFA减少0.21 cm²(-0.418至-0.002)。6个月观察到的结果与6个月的总体结果一致,加强了干预的有效性。结论:我们的研究表明,高膳食蛋白质和纤维摄入量对肥胖儿童的BMI z-score和肥胖有有益的影响。强调适当的蛋白质和纤维摄入的微调饮食干预对于控制儿童肥胖可能更为实际。
本文章由计算机程序翻译,如有差异,请以英文原文为准。
求助全文
约1分钟内获得全文 求助全文
来源期刊
CiteScore
8.00
自引率
2.40%
发文量
88
审稿时长
60 weeks
×
引用
GB/T 7714-2015
复制
MLA
复制
APA
复制
导出至
BibTeX EndNote RefMan NoteFirst NoteExpress
×
提示
您的信息不完整,为了账户安全,请先补充。
现在去补充
×
提示
您因"违规操作"
具体请查看互助需知
我知道了
×
提示
确定
请完成安全验证×
copy
已复制链接
快去分享给好友吧!
我知道了
右上角分享
点击右上角分享
0
联系我们:info@booksci.cn Book学术提供免费学术资源搜索服务,方便国内外学者检索中英文文献。致力于提供最便捷和优质的服务体验。 Copyright © 2023 布克学术 All rights reserved.
京ICP备2023020795号-1
ghs 京公网安备 11010802042870号
Book学术文献互助
Book学术文献互助群
群 号:604180095
Book学术官方微信