Association of Sedentary Lifestyle With Skeletal Muscle Strength and Mass in US Adolescents: Results From the National Health and Nutrition Examination Survey (2011-2014).

IF 2.1 Q2 PUBLIC, ENVIRONMENTAL & OCCUPATIONAL HEALTH
Kun-Hee Oh, Jin-Young Min, Kang Seo, Kyoung-Bok Min
{"title":"Association of Sedentary Lifestyle With Skeletal Muscle Strength and Mass in US Adolescents: Results From the National Health and Nutrition Examination Survey (2011-2014).","authors":"Kun-Hee Oh, Jin-Young Min, Kang Seo, Kyoung-Bok Min","doi":"10.3961/jpmph.24.614","DOIUrl":null,"url":null,"abstract":"<p><strong>Objectives: </strong>Excessive sedentary behavior in youth is a major global issue, contributing to the rise in childhood obesity and metabolic diseases. International public health authorities have issued guidelines recommending that children and adolescents limit their daily sedentary time, including screen time. However, to date, no studies have explored the relationship between sedentary behavior as an exposure factor and skeletal muscle strength and mass as outcomes in this population. The present study investigated the association of sedentary behavior with handgrip strength (HGS) and appendicular lean mass (ALM) among United States adolescents.</p><p><strong>Methods: </strong>A total of 1449 adolescent participants from the National Health and Nutrition Examination Survey (2011-2014) were included. Information on sedentary behavior, specifically daily sedentary time, was obtained through a self-reported questionnaire. Muscular parameters, including HGS and ALM, were measured. To adjust for differences in body size, these parameters were divided by body mass index (BMI) and weight. Linear regression analyses were performed to evaluate the associations between daily sedentary time and each muscular parameter, adjusting for age, sex, ethnicity, annual family income, and moderate-to-vigorous physical activity (MVPA).</p><p><strong>Results: </strong>The linear regression analyses revealed negative associations between daily sedentary time and all muscular parameters, apart from absolute ALM. These included HGS (β, -0.265; standard error [SE], 0.074; p=0.001), HGS/BMI (β, -0.021; SE, 0.004; p&lt;0.001), HGS/weight (β, -0.008; SE, 0.002; p&lt;0.001), ALM/BMI (β, -0.008; SE, 0.003; p=0.010), and ALM/weight (β, -0.003; SE, 0.001; p=0.005).</p><p><strong>Conclusions: </strong>After adjusting for MVPA, daily sedentary time was inversely associated with HGS, HGS/BMI, HGS/weight, ALM/BMI, and ALM/weight in United States adolescents.</p>","PeriodicalId":16893,"journal":{"name":"Journal of Preventive Medicine and Public Health","volume":" ","pages":"278-288"},"PeriodicalIF":2.1000,"publicationDate":"2025-05-01","publicationTypes":"Journal Article","fieldsOfStudy":null,"isOpenAccess":false,"openAccessPdf":"https://www.ncbi.nlm.nih.gov/pmc/articles/PMC12149856/pdf/","citationCount":"0","resultStr":null,"platform":"Semanticscholar","paperid":null,"PeriodicalName":"Journal of Preventive Medicine and Public Health","FirstCategoryId":"1085","ListUrlMain":"https://doi.org/10.3961/jpmph.24.614","RegionNum":0,"RegionCategory":null,"ArticlePicture":[],"TitleCN":null,"AbstractTextCN":null,"PMCID":null,"EPubDate":"2025/1/30 0:00:00","PubModel":"Epub","JCR":"Q2","JCRName":"PUBLIC, ENVIRONMENTAL & OCCUPATIONAL HEALTH","Score":null,"Total":0}
引用次数: 0

Abstract

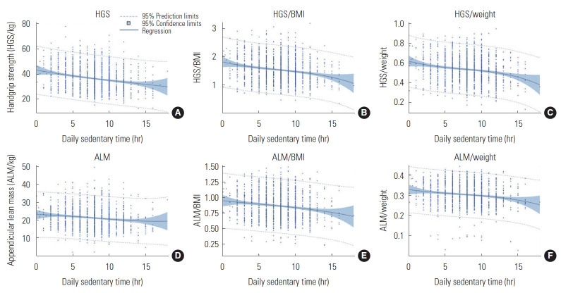
Objectives: Excessive sedentary behavior in youth is a major global issue, contributing to the rise in childhood obesity and metabolic diseases. International public health authorities have issued guidelines recommending that children and adolescents limit their daily sedentary time, including screen time. However, to date, no studies have explored the relationship between sedentary behavior as an exposure factor and skeletal muscle strength and mass as outcomes in this population. The present study investigated the association of sedentary behavior with handgrip strength (HGS) and appendicular lean mass (ALM) among United States adolescents.

Methods: A total of 1449 adolescent participants from the National Health and Nutrition Examination Survey (2011-2014) were included. Information on sedentary behavior, specifically daily sedentary time, was obtained through a self-reported questionnaire. Muscular parameters, including HGS and ALM, were measured. To adjust for differences in body size, these parameters were divided by body mass index (BMI) and weight. Linear regression analyses were performed to evaluate the associations between daily sedentary time and each muscular parameter, adjusting for age, sex, ethnicity, annual family income, and moderate-to-vigorous physical activity (MVPA).

Results: The linear regression analyses revealed negative associations between daily sedentary time and all muscular parameters, apart from absolute ALM. These included HGS (β, -0.265; standard error [SE], 0.074; p=0.001), HGS/BMI (β, -0.021; SE, 0.004; p<0.001), HGS/weight (β, -0.008; SE, 0.002; p<0.001), ALM/BMI (β, -0.008; SE, 0.003; p=0.010), and ALM/weight (β, -0.003; SE, 0.001; p=0.005).

Conclusions: After adjusting for MVPA, daily sedentary time was inversely associated with HGS, HGS/BMI, HGS/weight, ALM/BMI, and ALM/weight in United States adolescents.

Abstract Image

Abstract Image

美国青少年久坐生活方式与骨骼肌力量和质量的关系:来自国家健康和营养检查调查的结果(2011-2014)。
目的:青少年过度的久坐行为是一个重大的全球性问题,导致儿童肥胖和代谢性疾病的增加。国际公共卫生当局发布了指导方针,建议儿童和青少年限制每天久坐的时间,包括看屏幕的时间。然而,到目前为止,还没有研究探索作为暴露因素的久坐行为与骨骼肌力量和质量之间的关系。本研究调查了美国青少年久坐行为与握力(HGS)和阑尾瘦质量(ALM)的关系。方法:选取2011-2014年全国健康与营养调查青少年1449人。关于久坐行为的信息,特别是每天久坐的时间,是通过一份自我报告的问卷获得的。测量肌肉参数,包括HGS和ALM。为了调整体型差异,将这些参数除以体重指数(BMI)和体重。采用线性回归分析评估每日久坐时间与各肌肉参数之间的关系,并对年龄、性别、种族、家庭年收入和中高强度体育活动(MVPA)进行调整。结果:线性回归分析显示,除了绝对ALM外,日常久坐时间与所有肌肉参数呈负相关。包括HGS (β=-0.2652,标准误差[SE]=0.0740;p=0.0011), HGS/BMI (β=-0.0215, SE=0.0044;结论:在调整MVPA后,美国青少年每日久坐时间与HGS、HGS/BMI、HGS/体重、ALM/BMI和ALM/体重呈负相关。
本文章由计算机程序翻译,如有差异,请以英文原文为准。
求助全文
约1分钟内获得全文 求助全文
来源期刊
Journal of Preventive Medicine and Public Health
Journal of Preventive Medicine and Public Health Medicine-Public Health, Environmental and Occupational Health
CiteScore
6.40
自引率
0.00%
发文量
60
审稿时长
8 weeks
×
引用
GB/T 7714-2015
复制
MLA
复制
APA
复制
导出至
BibTeX EndNote RefMan NoteFirst NoteExpress
×
提示
您的信息不完整,为了账户安全,请先补充。
现在去补充
×
提示
您因"违规操作"
具体请查看互助需知
我知道了
×
提示
确定
请完成安全验证×
copy
已复制链接
快去分享给好友吧!
我知道了
右上角分享
点击右上角分享
0
联系我们:info@booksci.cn Book学术提供免费学术资源搜索服务,方便国内外学者检索中英文文献。致力于提供最便捷和优质的服务体验。 Copyright © 2023 布克学术 All rights reserved.
京ICP备2023020795号-1
ghs 京公网安备 11010802042870号
Book学术文献互助
Book学术文献互助群
群 号:604180095
Book学术官方微信