Evaluation of the resistome and gut microbiome composition of hospitalized patients in a health unit of southern Brazil coming from a high animal husbandry production region.

Frontiers in antibiotics Pub Date : 2025-01-17 eCollection Date: 2024-01-01 DOI:10.3389/frabi.2024.1489356
Elisa Pires Coltro, Lucas Cafferati Beltrame, Caroline Ribeiro da Cunha, Caetana Paes Zamparette, Clarissa Feltrin, Vilmar Benetti Filho, Patrícia de Almeida Vanny, Sérgio Beduschi Filho, Taíse Costa Ribeiro Klein, Mara Cristina Scheffer, Jussara Kasuko Palmeiro, Glauber Wagner, Thaís Cristine Marques Sincero, Carlos Rodrigo Zárate-Bladés
{"title":"Evaluation of the resistome and gut microbiome composition of hospitalized patients in a health unit of southern Brazil coming from a high animal husbandry production region.","authors":"Elisa Pires Coltro, Lucas Cafferati Beltrame, Caroline Ribeiro da Cunha, Caetana Paes Zamparette, Clarissa Feltrin, Vilmar Benetti Filho, Patrícia de Almeida Vanny, Sérgio Beduschi Filho, Taíse Costa Ribeiro Klein, Mara Cristina Scheffer, Jussara Kasuko Palmeiro, Glauber Wagner, Thaís Cristine Marques Sincero, Carlos Rodrigo Zárate-Bladés","doi":"10.3389/frabi.2024.1489356","DOIUrl":null,"url":null,"abstract":"<p><strong>Introduction: </strong>Antimicrobial resistance (AMR) poses a significant threat to global public health. The One Health approach, which integrates human, animal, and environmental health, highlights the roles of agricultural and hospital settings in the propagation of AMR. This study aimed to analyze the resistome and gut microbiome composition of individuals from a high-intensity animal husbandry area in the western region of Santa Catarina, Southern Brazil, who were subsequently admitted to the University Hospital in the city of Florianopolis, located in the eastern part of the same state.</p><p><strong>Methods: </strong>Rectal swab samples were collected upon admission and discharge. Metagenomic sequencing and resistome analysis were employed to identify antimicrobial resistance genes (ARGs) and their associated bacterial taxa. Additionally, the impact of the hospital environment on the resistome and microbiome profiles of these patients was assessed.</p><p><strong>Results: </strong>A total of 247 genetic elements related to AMR were identified, with 66.4% of these elements present in both admission and discharge samples. Aminoglycoside resistance genes were the most prevalent, followed by resistance genes for tetracyclines and lincosamides. Notably, unique resistance genes, including <i>dfrF</i> and mutations in <i>gyrB</i>, were identified at discharge. ARGs were associated with 55 bacterial species, with <i>Lactobacillus fermentum</i>, harboring the ermB gene. (MLSB), detected in both admission and discharge samples. The most prevalent bacterial families included <i>Mycobacteriaceae</i>, Enterobacteriaceae, and <i>Bacteroidaceae</i>. Among these, <i>Mycobacteriaceae</i> was the most abundant, with ARGs primarily associated with mutations in the 16S rRNA gene, RNA polymerase subunits, and gyrases.</p><p><strong>Discussion: </strong>The study revealed a high prevalence of genes related to aminoglycoside and tetracycline resistance, with a notable increase in certain resistance determinants at discharge, likely influenced by extended antimicrobial use. The presence of <i>mcr</i> genes, associated with colistin resistance, in both admission and discharge samples from a single patient highlights a concerning trend in AMR, particularly in relation to animal husbandry. These findings underscore the substantial impact of antimicrobial use on resistance development and the complex dynamics of the resistome in hospital settings. They also emphasize the influence of local factors, such as intensive animal production, on resistance patterns and advocate for ongoing surveillance and policy development to manage multidrug-resistant bacteria eVectively.</p>","PeriodicalId":73065,"journal":{"name":"Frontiers in antibiotics","volume":"3 ","pages":"1489356"},"PeriodicalIF":0.0000,"publicationDate":"2025-01-17","publicationTypes":"Journal Article","fieldsOfStudy":null,"isOpenAccess":false,"openAccessPdf":"https://www.ncbi.nlm.nih.gov/pmc/articles/PMC11782142/pdf/","citationCount":"0","resultStr":null,"platform":"Semanticscholar","paperid":null,"PeriodicalName":"Frontiers in antibiotics","FirstCategoryId":"1085","ListUrlMain":"https://doi.org/10.3389/frabi.2024.1489356","RegionNum":0,"RegionCategory":null,"ArticlePicture":[],"TitleCN":null,"AbstractTextCN":null,"PMCID":null,"EPubDate":"2024/1/1 0:00:00","PubModel":"eCollection","JCR":"","JCRName":"","Score":null,"Total":0}
引用次数: 0

Abstract

Introduction: Antimicrobial resistance (AMR) poses a significant threat to global public health. The One Health approach, which integrates human, animal, and environmental health, highlights the roles of agricultural and hospital settings in the propagation of AMR. This study aimed to analyze the resistome and gut microbiome composition of individuals from a high-intensity animal husbandry area in the western region of Santa Catarina, Southern Brazil, who were subsequently admitted to the University Hospital in the city of Florianopolis, located in the eastern part of the same state.

Methods: Rectal swab samples were collected upon admission and discharge. Metagenomic sequencing and resistome analysis were employed to identify antimicrobial resistance genes (ARGs) and their associated bacterial taxa. Additionally, the impact of the hospital environment on the resistome and microbiome profiles of these patients was assessed.

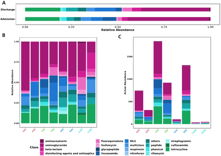
Results: A total of 247 genetic elements related to AMR were identified, with 66.4% of these elements present in both admission and discharge samples. Aminoglycoside resistance genes were the most prevalent, followed by resistance genes for tetracyclines and lincosamides. Notably, unique resistance genes, including dfrF and mutations in gyrB, were identified at discharge. ARGs were associated with 55 bacterial species, with Lactobacillus fermentum, harboring the ermB gene. (MLSB), detected in both admission and discharge samples. The most prevalent bacterial families included Mycobacteriaceae, Enterobacteriaceae, and Bacteroidaceae. Among these, Mycobacteriaceae was the most abundant, with ARGs primarily associated with mutations in the 16S rRNA gene, RNA polymerase subunits, and gyrases.

Discussion: The study revealed a high prevalence of genes related to aminoglycoside and tetracycline resistance, with a notable increase in certain resistance determinants at discharge, likely influenced by extended antimicrobial use. The presence of mcr genes, associated with colistin resistance, in both admission and discharge samples from a single patient highlights a concerning trend in AMR, particularly in relation to animal husbandry. These findings underscore the substantial impact of antimicrobial use on resistance development and the complex dynamics of the resistome in hospital settings. They also emphasize the influence of local factors, such as intensive animal production, on resistance patterns and advocate for ongoing surveillance and policy development to manage multidrug-resistant bacteria eVectively.

Abstract Image

Abstract Image

Abstract Image

巴西南部某卫生单位来自畜牧高产地区住院患者的抵抗组和肠道微生物组组成评估
抗菌素耐药性(AMR)对全球公共卫生构成重大威胁。“同一个健康”方法整合了人类、动物和环境卫生,强调了农业和医院环境在抗生素耐药性传播中的作用。本研究旨在分析来自巴西南部圣卡塔琳娜州西部地区高强度畜牧业地区的个体的抵抗组和肠道微生物组组成,这些个体随后被送入位于同一州东部的弗洛里亚诺波利斯市的大学医院。方法:在入院和出院时采集直肠拭子标本。采用宏基因组测序和抗药组分析鉴定耐药基因(ARGs)及其相关细菌分类群。此外,还评估了医院环境对这些患者的抵抗组和微生物组的影响。结果:共鉴定出与AMR相关的遗传因子247个,其中66.4%的遗传因子在入院和出院样本中均存在。氨基糖苷类耐药基因最多,四环素类耐药基因次之,lincoln lincoln耐药基因次之。值得注意的是,在放电时发现了独特的抗性基因,包括dfrF和gyrB突变。ARGs与55种细菌相关,其中发酵乳杆菌携带ermB基因。(MLSB),在入院和出院样品中均检测到。最常见的细菌科包括分枝杆菌科、肠杆菌科和拟杆菌科。其中分枝杆菌科最为丰富,ARGs主要与16S rRNA基因、RNA聚合酶亚基和旋切酶的突变相关。讨论:该研究揭示了氨基糖苷和四环素耐药相关基因的高流行率,出院时某些耐药决定因素显著增加,可能受到长期使用抗菌素的影响。在一名患者的入院和出院样本中均存在与粘菌素耐药性相关的mcr基因,这突出了抗菌素耐药性的一个令人担忧的趋势,特别是与畜牧业有关。这些发现强调了抗菌素使用对耐药性发展的重大影响以及医院环境中抵抗组的复杂动态。他们还强调当地因素,如集约化动物生产,对耐药模式的影响,并倡导持续监测和制定政策,以有效地管理耐多药细菌。
本文章由计算机程序翻译,如有差异,请以英文原文为准。
求助全文
约1分钟内获得全文 求助全文
来源期刊
自引率
0.00%
发文量
0
×
引用
GB/T 7714-2015
复制
MLA
复制
APA
复制
导出至
BibTeX EndNote RefMan NoteFirst NoteExpress
×
提示
您的信息不完整,为了账户安全,请先补充。
现在去补充
×
提示
您因"违规操作"
具体请查看互助需知
我知道了
×
提示
确定
请完成安全验证×
copy
已复制链接
快去分享给好友吧!
我知道了
右上角分享
点击右上角分享
0
联系我们:info@booksci.cn Book学术提供免费学术资源搜索服务,方便国内外学者检索中英文文献。致力于提供最便捷和优质的服务体验。 Copyright © 2023 布克学术 All rights reserved.
京ICP备2023020795号-1
ghs 京公网安备 11010802042870号
Book学术文献互助
Book学术文献互助群
群 号:604180095
Book学术官方微信