Evaluating the World Health Organization's Hearts Model for Hypertension and Diabetes Management: A Pilot Implementation Study in Guatemala.

IF 3.1 3区 医学 Q2 CARDIAC & CARDIOVASCULAR SYSTEMS
Global Heart Pub Date : 2025-01-31 eCollection Date: 2025-01-01 DOI:10.5334/gh.1397
Irmgardt Alicia Wellmann, Luis Fernando Ayala, Taryn M Valley, Vilma Irazola, Mark D Huffman, Michele Heisler, Peter Rohloff, Rocío Donis, Eduardo Palacios, Manuel Ramírez-Zea, David Flood
{"title":"Evaluating the World Health Organization's Hearts Model for Hypertension and Diabetes Management: A Pilot Implementation Study in Guatemala.","authors":"Irmgardt Alicia Wellmann, Luis Fernando Ayala, Taryn M Valley, Vilma Irazola, Mark D Huffman, Michele Heisler, Peter Rohloff, Rocío Donis, Eduardo Palacios, Manuel Ramírez-Zea, David Flood","doi":"10.5334/gh.1397","DOIUrl":null,"url":null,"abstract":"<p><strong>Background: </strong>The World Health Organization HEARTS Technical Package is a widely implemented global initiative to improve the primary care management of cardiovascular disease risk factors. The study's objective is to report outcomes from a pilot implementation trial of integrated hypertension and diabetes management based on the HEARTS model in Guatemala.</p><p><strong>Methods: </strong>We conducted a single-arm pilot implementation trial over six months from October 2023 to May 2024 in 11 Guatemalan Ministry of Health primary care facilities in two districts. The pilot evaluated a package of five HEARTS-aligned implementation strategies to improve the pharmacological treatment of hypertension and diabetes. The primary outcomes were feasibility and acceptability, measured through 20 structured interviews with Ministry of Health employees and by examining enrolment and retention data. Secondary outcomes included a suite of implementation and clinical outcomes, including treatment rates. When baseline data were available, we analyzed secondary outcomes as the net change from baseline or using an interrupted time series approach.</p><p><strong>Results: </strong>The study enrolled 964 patients, of whom 58.8% had hypertension only, 30.4% had diabetes only, and 10.8% had both conditions. Surveys on feasibility and acceptability among Ministry of Health staff had a median score of 5.0 (IQR: 5.0 to 5.0) and 5.0 (IQR range: 4.8 to 5.0), respectively, exceeding the prespecified benchmark of ≥3.5. Both districts achieved the prespecified benchmark of enrolling ≥25 hypertension patients and ≥25 diabetes patients. Only 36% of patients attended a follow-up visit within three months, lower than the prespecified benchmark of ≥75%. Monthly treatment rates during the pilot increased by 22.3 (95% CI: 16.2 to 28.4; P < 0.001) and 3.5 (95% CI: -1.6 to 8.7; P = 0.17) patients per month for hypertension and diabetes, respectively.</p><p><strong>Conclusions: </strong>Implementation of an integrated hypertension and diabetes model based on HEARTS was generally feasible and acceptable in the Ministry of Health in Guatemala. Findings can refine national scale-up in Guatemala and inform HEARTS implementation projects in other settings.</p>","PeriodicalId":56018,"journal":{"name":"Global Heart","volume":"20 1","pages":"9"},"PeriodicalIF":3.1000,"publicationDate":"2025-01-31","publicationTypes":"Journal Article","fieldsOfStudy":null,"isOpenAccess":false,"openAccessPdf":"https://www.ncbi.nlm.nih.gov/pmc/articles/PMC11784498/pdf/","citationCount":"0","resultStr":null,"platform":"Semanticscholar","paperid":null,"PeriodicalName":"Global Heart","FirstCategoryId":"3","ListUrlMain":"https://doi.org/10.5334/gh.1397","RegionNum":3,"RegionCategory":"医学","ArticlePicture":[],"TitleCN":null,"AbstractTextCN":null,"PMCID":null,"EPubDate":"2025/1/1 0:00:00","PubModel":"eCollection","JCR":"Q2","JCRName":"CARDIAC & CARDIOVASCULAR SYSTEMS","Score":null,"Total":0}
引用次数: 0

Abstract

Background: The World Health Organization HEARTS Technical Package is a widely implemented global initiative to improve the primary care management of cardiovascular disease risk factors. The study's objective is to report outcomes from a pilot implementation trial of integrated hypertension and diabetes management based on the HEARTS model in Guatemala.

Methods: We conducted a single-arm pilot implementation trial over six months from October 2023 to May 2024 in 11 Guatemalan Ministry of Health primary care facilities in two districts. The pilot evaluated a package of five HEARTS-aligned implementation strategies to improve the pharmacological treatment of hypertension and diabetes. The primary outcomes were feasibility and acceptability, measured through 20 structured interviews with Ministry of Health employees and by examining enrolment and retention data. Secondary outcomes included a suite of implementation and clinical outcomes, including treatment rates. When baseline data were available, we analyzed secondary outcomes as the net change from baseline or using an interrupted time series approach.

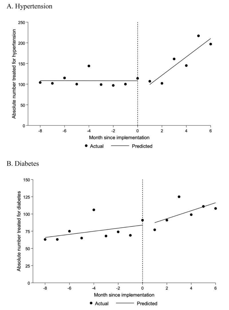
Results: The study enrolled 964 patients, of whom 58.8% had hypertension only, 30.4% had diabetes only, and 10.8% had both conditions. Surveys on feasibility and acceptability among Ministry of Health staff had a median score of 5.0 (IQR: 5.0 to 5.0) and 5.0 (IQR range: 4.8 to 5.0), respectively, exceeding the prespecified benchmark of ≥3.5. Both districts achieved the prespecified benchmark of enrolling ≥25 hypertension patients and ≥25 diabetes patients. Only 36% of patients attended a follow-up visit within three months, lower than the prespecified benchmark of ≥75%. Monthly treatment rates during the pilot increased by 22.3 (95% CI: 16.2 to 28.4; P < 0.001) and 3.5 (95% CI: -1.6 to 8.7; P = 0.17) patients per month for hypertension and diabetes, respectively.

Conclusions: Implementation of an integrated hypertension and diabetes model based on HEARTS was generally feasible and acceptable in the Ministry of Health in Guatemala. Findings can refine national scale-up in Guatemala and inform HEARTS implementation projects in other settings.

Abstract Image

Abstract Image

Abstract Image

评价世界卫生组织高血压和糖尿病管理的心脏模型:危地马拉试点实施研究。
背景:世界卫生组织HEARTS技术包是一项广泛实施的全球倡议,旨在改善心血管疾病危险因素的初级保健管理。该研究的目的是报告危地马拉一项基于HEARTS模式的高血压和糖尿病综合管理试点实施试验的结果。方法:从2023年10月至2024年5月,我们在危地马拉两个地区的11个卫生部初级保健机构进行了为期6个月的单臂试点实施试验。该试点评估了一揽子五项与hearts一致的实施策略,以改善高血压和糖尿病的药物治疗。主要结果是可行性和可接受性,通过对卫生部雇员的20次结构化访谈和检查入学和保留数据来衡量。次要结果包括一系列的实施和临床结果,包括治疗率。当基线数据可用时,我们分析次要结果作为基线的净变化或使用中断时间序列方法。结果:该研究纳入964例患者,其中58.8%仅患有高血压,30.4%仅患有糖尿病,10.8%同时患有两种疾病。卫生部工作人员可行性和可接受性调查的中位数得分分别为5.0 (IQR范围:5.0 ~ 5.0)和5.0 (IQR范围:4.8 ~ 5.0),超过了预先设定的≥3.5的基准。两个地区都达到了预定的基准,入组≥25例高血压患者和≥25例糖尿病患者。只有36%的患者在3个月内参加了随访,低于预先设定的≥75%的基准。试验期间的月治疗率增加了22.3 (95% CI: 16.2至28.4;P < 0.001)和3.5 (95% CI: -1.6至8.7;P = 0.17),分别为高血压和糖尿病患者。结论:在危地马拉卫生部,基于HEARTS的高血压和糖尿病综合模型的实施总体上是可行和可接受的。研究结果可以完善危地马拉的全国推广工作,并为其他环境中的HEARTS实施项目提供信息。
本文章由计算机程序翻译,如有差异,请以英文原文为准。
求助全文
约1分钟内获得全文 求助全文
来源期刊
Global Heart
Global Heart Medicine-Cardiology and Cardiovascular Medicine
CiteScore
5.70
自引率
5.40%
发文量
77
审稿时长
5 weeks
期刊介绍: Global Heart offers a forum for dialogue and education on research, developments, trends, solutions and public health programs related to the prevention and control of cardiovascular diseases (CVDs) worldwide, with a special focus on low- and middle-income countries (LMICs). Manuscripts should address not only the extent or epidemiology of the problem, but also describe interventions to effectively control and prevent CVDs and the underlying factors. The emphasis should be on approaches applicable in settings with limited resources. Economic evaluations of successful interventions are particularly welcome. We will also consider negative findings if important. While reports of hospital or clinic-based treatments are not excluded, particularly if they have broad implications for cost-effective disease control or prevention, we give priority to papers addressing community-based activities. We encourage submissions on cardiovascular surveillance and health policies, professional education, ethical issues and technological innovations related to prevention. Global Heart is particularly interested in publishing data from updated national or regional demographic health surveys, World Health Organization or Global Burden of Disease data, large clinical disease databases or registries. Systematic reviews or meta-analyses on globally relevant topics are welcome. We will also consider clinical research that has special relevance to LMICs, e.g. using validated instruments to assess health-related quality-of-life in patients from LMICs, innovative diagnostic-therapeutic applications, real-world effectiveness clinical trials, research methods (innovative methodologic papers, with emphasis on low-cost research methods or novel application of methods in low resource settings), and papers pertaining to cardiovascular health promotion and policy (quantitative evaluation of health programs.
×
引用
GB/T 7714-2015
复制
MLA
复制
APA
复制
导出至
BibTeX EndNote RefMan NoteFirst NoteExpress
×
提示
您的信息不完整,为了账户安全,请先补充。
现在去补充
×
提示
您因"违规操作"
具体请查看互助需知
我知道了
×
提示
确定
请完成安全验证×
copy
已复制链接
快去分享给好友吧!
我知道了
右上角分享
点击右上角分享
0
联系我们:info@booksci.cn Book学术提供免费学术资源搜索服务,方便国内外学者检索中英文文献。致力于提供最便捷和优质的服务体验。 Copyright © 2023 布克学术 All rights reserved.
京ICP备2023020795号-1
ghs 京公网安备 11010802042870号
Book学术文献互助
Book学术文献互助群
群 号:604180095
Book学术官方微信