Alcohol consumption, polygenic risk score, and the risk of colorectal neoplasia.

IF 4.1 Q2 ONCOLOGY
Ruojin Fu, Xuechen Chen, Teresa Seum, Michael Hoffmeister, Hermann Brenner
{"title":"Alcohol consumption, polygenic risk score, and the risk of colorectal neoplasia.","authors":"Ruojin Fu, Xuechen Chen, Teresa Seum, Michael Hoffmeister, Hermann Brenner","doi":"10.1093/jncics/pkaf017","DOIUrl":null,"url":null,"abstract":"<p><strong>Background: </strong>Excess alcohol consumption is associated with increased risk of colorectal cancer, but the evidence on the individual and joint effects of alcohol consumption and genetic risk on the occurrence of various stages of colorectal carcinogenesis is limited.</p><p><strong>Methods: </strong>We evaluated the associations of alcohol consumption and a polygenic risk score based on 140 colorectal cancer related loci with findings of colorectal neoplasia among 4662 participants in the German screening colonoscopy program. Analyses were conducted by multiple logistic regression. We determined genetic risk equivalents to quantify the effect of alcohol consumption in terms of the difference in polygenic risk score conveying equivalent risk.</p><p><strong>Results: </strong>Moderate and high (12 to <25 g/d and ≥25 g/d) alcohol consumption was associated with increased risk of advanced colorectal neoplasia (adjusted odds ratio = 1.28, 95% CI = 1.03 to 1.58, and adjusted odds ratio = 1.44, 95% CI = 1.14 to 1.81, respectively), while associations with any colorectal neoplasia were weaker. No significant interactions between alcohol consumption and polygenic risk score were observed. Participants with high alcohol consumption in the highest polygenic risk score tertile had a 3.4-fold increased risk of advanced neoplasia compared with individuals with low or no alcohol consumption in the lowest polygenic risk score tertile. The estimated impact of high alcohol consumption on the risk of advanced neoplasia was equivalent to the risk increase by a 26-percentile-higher polygenic risk score (genetic risk equivalent = 26, 95% CI = 9 to 44).</p><p><strong>Conclusion: </strong>High alcohol consumption and polygenic risk score have a major impact on the risk of advanced colorectal neoplasia. The estimated preventive impact of avoiding high alcohol consumption is as strong as the impact of having a substantially lower polygenic risk.</p>","PeriodicalId":14681,"journal":{"name":"JNCI Cancer Spectrum","volume":" ","pages":""},"PeriodicalIF":4.1000,"publicationDate":"2025-03-03","publicationTypes":"Journal Article","fieldsOfStudy":null,"isOpenAccess":false,"openAccessPdf":"https://www.ncbi.nlm.nih.gov/pmc/articles/PMC11901593/pdf/","citationCount":"0","resultStr":null,"platform":"Semanticscholar","paperid":null,"PeriodicalName":"JNCI Cancer Spectrum","FirstCategoryId":"1085","ListUrlMain":"https://doi.org/10.1093/jncics/pkaf017","RegionNum":0,"RegionCategory":null,"ArticlePicture":[],"TitleCN":null,"AbstractTextCN":null,"PMCID":null,"EPubDate":"","PubModel":"","JCR":"Q2","JCRName":"ONCOLOGY","Score":null,"Total":0}
引用次数: 0

Abstract

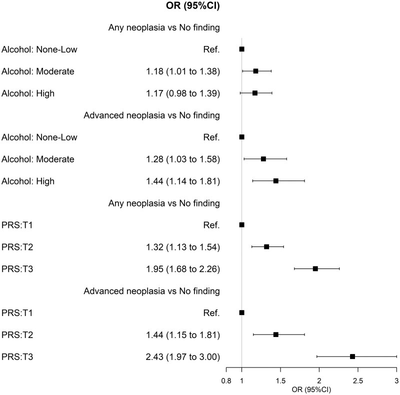
Background: Excess alcohol consumption is associated with increased risk of colorectal cancer, but the evidence on the individual and joint effects of alcohol consumption and genetic risk on the occurrence of various stages of colorectal carcinogenesis is limited.

Methods: We evaluated the associations of alcohol consumption and a polygenic risk score based on 140 colorectal cancer related loci with findings of colorectal neoplasia among 4662 participants in the German screening colonoscopy program. Analyses were conducted by multiple logistic regression. We determined genetic risk equivalents to quantify the effect of alcohol consumption in terms of the difference in polygenic risk score conveying equivalent risk.

Results: Moderate and high (12 to <25 g/d and ≥25 g/d) alcohol consumption was associated with increased risk of advanced colorectal neoplasia (adjusted odds ratio = 1.28, 95% CI = 1.03 to 1.58, and adjusted odds ratio = 1.44, 95% CI = 1.14 to 1.81, respectively), while associations with any colorectal neoplasia were weaker. No significant interactions between alcohol consumption and polygenic risk score were observed. Participants with high alcohol consumption in the highest polygenic risk score tertile had a 3.4-fold increased risk of advanced neoplasia compared with individuals with low or no alcohol consumption in the lowest polygenic risk score tertile. The estimated impact of high alcohol consumption on the risk of advanced neoplasia was equivalent to the risk increase by a 26-percentile-higher polygenic risk score (genetic risk equivalent = 26, 95% CI = 9 to 44).

Conclusion: High alcohol consumption and polygenic risk score have a major impact on the risk of advanced colorectal neoplasia. The estimated preventive impact of avoiding high alcohol consumption is as strong as the impact of having a substantially lower polygenic risk.

Abstract Image

Abstract Image

Abstract Image

饮酒、多基因风险评分与结直肠癌风险
过量饮酒与结直肠癌(CRC)风险增加有关,但关于饮酒和遗传风险对不同阶段结直肠癌发生的个体和联合影响的证据有限。方法:我们在德国筛查结肠镜检查项目的4,662名参与者中评估了基于140个crc相关位点的多基因风险评分(PRS)与饮酒的关系。采用多元逻辑回归进行分析。我们确定了遗传风险当量(GREs),以量化饮酒对PRS传递等效风险差异的影响。结果:中度和高度(12)结论:重度饮酒和PRS对晚期结直肠癌的发生风险均有重要影响。据估计,避免大量饮酒的预防作用与大幅降低多基因风险的作用一样强。
本文章由计算机程序翻译,如有差异,请以英文原文为准。
求助全文
约1分钟内获得全文 求助全文
来源期刊
JNCI Cancer Spectrum
JNCI Cancer Spectrum Medicine-Oncology
CiteScore
7.70
自引率
0.00%
发文量
80
审稿时长
18 weeks
×
引用
GB/T 7714-2015
复制
MLA
复制
APA
复制
导出至
BibTeX EndNote RefMan NoteFirst NoteExpress
×
提示
您的信息不完整,为了账户安全,请先补充。
现在去补充
×
提示
您因"违规操作"
具体请查看互助需知
我知道了
×
提示
确定
请完成安全验证×
copy
已复制链接
快去分享给好友吧!
我知道了
右上角分享
点击右上角分享
0
联系我们:info@booksci.cn Book学术提供免费学术资源搜索服务,方便国内外学者检索中英文文献。致力于提供最便捷和优质的服务体验。 Copyright © 2023 布克学术 All rights reserved.
京ICP备2023020795号-1
ghs 京公网安备 11010802042870号
Book学术文献互助
Book学术文献互助群
群 号:604180095
Book学术官方微信