Efficacy and retention rate of secukinumab in psoriatic arthritis across different clinical phenotypes: insights from the Italian GISEA Registry.

IF 4.1 2区 医学 Q2 RHEUMATOLOGY
Therapeutic Advances in Musculoskeletal Disease Pub Date : 2025-01-31 eCollection Date: 2025-01-01 DOI:10.1177/1759720X251315138
Giuseppe Lopalco, Maria Morrone, Fabiola Atzeni, Chiara Bazzani, Francesco Paolo Bianchi, Francesco Paolo Cantatore, Roberto Caporali, Antonio Carletto, Alberto Cauli, Maria Sole Chimenti, Sergio Colella, Fabrizio Conti, Addolorata Corrado, Ennio Giulio Favalli, Alberto Floris, Marco Fornaro, Rosario Foti, Roberta Foti, Elena Fracassi, Bruno Frediani, Stefano Gentileschi, Roberto Gorla, Elisa Gremese, Emanuela Praino, Roberta Ramonda, Cinzia Rotondo, Marco Sebastiani, Angelo Semeraro, Gianfranco Ferraccioli, Giovanni Lapadula, Florenzo Iannone
{"title":"Efficacy and retention rate of secukinumab in psoriatic arthritis across different clinical phenotypes: insights from the Italian GISEA Registry.","authors":"Giuseppe Lopalco, Maria Morrone, Fabiola Atzeni, Chiara Bazzani, Francesco Paolo Bianchi, Francesco Paolo Cantatore, Roberto Caporali, Antonio Carletto, Alberto Cauli, Maria Sole Chimenti, Sergio Colella, Fabrizio Conti, Addolorata Corrado, Ennio Giulio Favalli, Alberto Floris, Marco Fornaro, Rosario Foti, Roberta Foti, Elena Fracassi, Bruno Frediani, Stefano Gentileschi, Roberto Gorla, Elisa Gremese, Emanuela Praino, Roberta Ramonda, Cinzia Rotondo, Marco Sebastiani, Angelo Semeraro, Gianfranco Ferraccioli, Giovanni Lapadula, Florenzo Iannone","doi":"10.1177/1759720X251315138","DOIUrl":null,"url":null,"abstract":"<p><strong>Background: </strong>Randomized clinical trials have demonstrated the efficacy of secukinumab (SECU) in reducing disease activity in psoriatic arthritis (PsA), while real-world studies prove a broader perspective on SECU's usefulness in everyday clinical practice.</p><p><strong>Objectives: </strong>To assess the effectiveness of SECU by evaluating drug survival and identifying potential predictors of clinical response and treatment discontinuation in patients with moderate-to-severe PsA, using real-world data from the Italian Group for the Study of Early Arthritis (GISEA) registry.</p><p><strong>Design: </strong>This longitudinal retrospective study included PsA patients treated with SECU, spanning from May 2016 to November 2023.</p><p><strong>Methods: </strong>Data from 1045 PsA patients, including 783 with peripheral-only PsA (perPsA) and 262 with peripheral and axial involvement (mixed PsA) were analyzed. Drug survival was estimated by Kaplan-Meier analysis. Clinical outcomes, including Disease Activity Index for Psoriatic Arthritis (DAPSA), Psoriasis Area Severity Index (PASI), Ankylosing Spondylitis Disease Activity Score (ASDAS, C-Reactive Protein (CRP)-based), and Visual Analogue Scale (VAS) measures, were evaluated at baseline and at 6, 12, and 24 months. Adjusted hazard ratios (aHRs) for discontinuing SECU were determined using multivariate Cox regression models.</p><p><strong>Results: </strong>SECU survival at 24 months was 63.24%, significantly higher in mixed PsA compared to perPsA (<i>p</i> = 0.036). In the overall PsA population, DAPSA scores decreased significantly at 6 months, and further at 24 months (all <i>p</i> < 0.0001). In mixed PsA, ASDAS-CRP scores were significantly reduced at 6 months and remained stable through 24 months (all <i>p</i> < 0.0001). VAS pain scores also improved already at 6 months and continued to improve at 24 months (all <i>p</i> < 0.0001). Higher age (aHR = 0.98, 95% confidence interval (CI): 0.96-0.99, <i>p</i> = 0.007) and lower baseline DAPSA scores (aHR = 1.02, 95% CI: 1.01-1.03, <i>p</i> = 0.014) were associated with greater persistence of SECU treatment. SECU was well tolerated, with no serious adverse events.</p><p><strong>Conclusion: </strong>SECU showed sustained clinical improvements in both peripheral and axial involvement of PsA patients over 24 months, with higher persistence observed in mixed PsA patients. Our findings highlight the favorable clinical and safety profile of SECU in real world.</p>","PeriodicalId":23056,"journal":{"name":"Therapeutic Advances in Musculoskeletal Disease","volume":"17 ","pages":"1759720X251315138"},"PeriodicalIF":4.1000,"publicationDate":"2025-01-31","publicationTypes":"Journal Article","fieldsOfStudy":null,"isOpenAccess":false,"openAccessPdf":"https://www.ncbi.nlm.nih.gov/pmc/articles/PMC11783553/pdf/","citationCount":"0","resultStr":null,"platform":"Semanticscholar","paperid":null,"PeriodicalName":"Therapeutic Advances in Musculoskeletal Disease","FirstCategoryId":"3","ListUrlMain":"https://doi.org/10.1177/1759720X251315138","RegionNum":2,"RegionCategory":"医学","ArticlePicture":[],"TitleCN":null,"AbstractTextCN":null,"PMCID":null,"EPubDate":"2025/1/1 0:00:00","PubModel":"eCollection","JCR":"Q2","JCRName":"RHEUMATOLOGY","Score":null,"Total":0}
引用次数: 0

Abstract

Background: Randomized clinical trials have demonstrated the efficacy of secukinumab (SECU) in reducing disease activity in psoriatic arthritis (PsA), while real-world studies prove a broader perspective on SECU's usefulness in everyday clinical practice.

Objectives: To assess the effectiveness of SECU by evaluating drug survival and identifying potential predictors of clinical response and treatment discontinuation in patients with moderate-to-severe PsA, using real-world data from the Italian Group for the Study of Early Arthritis (GISEA) registry.

Design: This longitudinal retrospective study included PsA patients treated with SECU, spanning from May 2016 to November 2023.

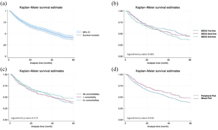
Methods: Data from 1045 PsA patients, including 783 with peripheral-only PsA (perPsA) and 262 with peripheral and axial involvement (mixed PsA) were analyzed. Drug survival was estimated by Kaplan-Meier analysis. Clinical outcomes, including Disease Activity Index for Psoriatic Arthritis (DAPSA), Psoriasis Area Severity Index (PASI), Ankylosing Spondylitis Disease Activity Score (ASDAS, C-Reactive Protein (CRP)-based), and Visual Analogue Scale (VAS) measures, were evaluated at baseline and at 6, 12, and 24 months. Adjusted hazard ratios (aHRs) for discontinuing SECU were determined using multivariate Cox regression models.

Results: SECU survival at 24 months was 63.24%, significantly higher in mixed PsA compared to perPsA (p = 0.036). In the overall PsA population, DAPSA scores decreased significantly at 6 months, and further at 24 months (all p < 0.0001). In mixed PsA, ASDAS-CRP scores were significantly reduced at 6 months and remained stable through 24 months (all p < 0.0001). VAS pain scores also improved already at 6 months and continued to improve at 24 months (all p < 0.0001). Higher age (aHR = 0.98, 95% confidence interval (CI): 0.96-0.99, p = 0.007) and lower baseline DAPSA scores (aHR = 1.02, 95% CI: 1.01-1.03, p = 0.014) were associated with greater persistence of SECU treatment. SECU was well tolerated, with no serious adverse events.

Conclusion: SECU showed sustained clinical improvements in both peripheral and axial involvement of PsA patients over 24 months, with higher persistence observed in mixed PsA patients. Our findings highlight the favorable clinical and safety profile of SECU in real world.

Abstract Image

Abstract Image

Abstract Image

不同临床表型的银屑病关节炎中secukinumab的疗效和保留率:来自意大利GISEA注册的见解
背景:随机临床试验已经证明了secukinumab (SECU)在减少银屑病关节炎(PsA)疾病活动性方面的疗效,而现实世界的研究证明了SECU在日常临床实践中的实用性。目的:通过评估药物生存期和确定中重度PsA患者临床反应和停药的潜在预测因素,评估SECU的有效性,使用来自意大利早期关节炎研究小组(GISEA)注册的真实数据。设计:本纵向回顾性研究纳入了2016年5月至2023年11月期间接受SECU治疗的PsA患者。方法:对1045例PsA患者的数据进行分析,其中783例为单纯外周PsA (perPsA), 262例为外周和轴向累及PsA(混合型PsA)。通过Kaplan-Meier分析估计药物生存期。临床结果,包括银屑病关节炎疾病活动指数(DAPSA)、银屑病区域严重指数(PASI)、强直性脊柱炎疾病活动评分(ASDAS,基于c反应蛋白(CRP))和视觉模拟量表(VAS)测量,在基线和6、12和24个月进行评估。使用多变量Cox回归模型确定停用SECU的校正风险比(aHRs)。结果:24个月SECU生存率为63.24%,混合PsA组明显高于单一PsA组(p = 0.036)。在整个PsA人群中,DAPSA评分在6个月时显著下降,在24个月时进一步下降(所有p p p p = 0.007),较低的基线DAPSA评分(aHR = 1.02, 95% CI: 1.01-1.03, p = 0.014)与SECU治疗的更持久相关。SECU耐受性良好,无严重不良事件。结论:在24个月的时间里,SECU在PsA外周和轴向受损伤患者中显示出持续的临床改善,在混合PsA患者中观察到更高的持久性。我们的研究结果强调了SECU在现实世界中良好的临床和安全性。
本文章由计算机程序翻译,如有差异,请以英文原文为准。
求助全文
约1分钟内获得全文 求助全文
来源期刊
CiteScore
6.80
自引率
4.80%
发文量
132
审稿时长
18 weeks
期刊介绍: Therapeutic Advances in Musculoskeletal Disease delivers the highest quality peer-reviewed articles, reviews, and scholarly comment on pioneering efforts and innovative studies across all areas of musculoskeletal disease.
×
引用
GB/T 7714-2015
复制
MLA
复制
APA
复制
导出至
BibTeX EndNote RefMan NoteFirst NoteExpress
×
提示
您的信息不完整,为了账户安全,请先补充。
现在去补充
×
提示
您因"违规操作"
具体请查看互助需知
我知道了
×
提示
确定
请完成安全验证×
copy
已复制链接
快去分享给好友吧!
我知道了
右上角分享
点击右上角分享
0
联系我们:info@booksci.cn Book学术提供免费学术资源搜索服务,方便国内外学者检索中英文文献。致力于提供最便捷和优质的服务体验。 Copyright © 2023 布克学术 All rights reserved.
京ICP备2023020795号-1
ghs 京公网安备 11010802042870号
Book学术文献互助
Book学术文献互助群
群 号:604180095
Book学术官方微信