Association of pre-existing cardiovascular disease with administration of fluoropyrimidine chemotherapy in patients with gastrointestinal malignancies.

BMJ oncology Pub Date : 2024-08-08 eCollection Date: 2024-01-01 DOI:10.1136/bmjonc-2024-000323
Aderonke Temilade Abiodun, Chengsheng Ju, Catherine A Welch, Jennifer Lai, Freya Tyrer, Pinkie Chambers, Lizz Paley, Sally Vernon, John Deanfield, Mark de Belder, Mark Rutherford, Paul C Lambert, Sarah Slater, Kai Keen Shiu, Li Wei, Michael D Peake, David Adlam, Charlotte Manisty
{"title":"Association of pre-existing cardiovascular disease with administration of fluoropyrimidine chemotherapy in patients with gastrointestinal malignancies.","authors":"Aderonke Temilade Abiodun, Chengsheng Ju, Catherine A Welch, Jennifer Lai, Freya Tyrer, Pinkie Chambers, Lizz Paley, Sally Vernon, John Deanfield, Mark de Belder, Mark Rutherford, Paul C Lambert, Sarah Slater, Kai Keen Shiu, Li Wei, Michael D Peake, David Adlam, Charlotte Manisty","doi":"10.1136/bmjonc-2024-000323","DOIUrl":null,"url":null,"abstract":"<p><strong>Objective: </strong>Fluoropyrimidine chemotherapy is a first-line treatment for many gastrointestinal (GI) cancers, however, cardiotoxicity concerns may limit administration in patients with pre-existing cardiovascular disease (CVD). This study investigated the association of pre-existing CVD with use of fluoropyrimidine chemotherapy in tumour-eligible GI cancer patients.</p><p><strong>Methods and analysis: </strong>National cancer registry data from the Virtual Cardio-Oncology Research Initiative from England between 2014 and 2018 was used to identify GI cancer patients eligible to receive fluoropyrimidine chemotherapy. Linkage to Hospital Episode Statistics and CVD registry data were used to ascertain prior CVD and outcomes. Primary outcome was first administration of fluoropyrimidine chemotherapy following cancer diagnosis. Cox proportional hazard models determined HR and 95% CIs for the association between initiation of fluoropyrimidine treatment and prior CVD.</p><p><strong>Results: </strong>112 726 eligible patients were identified (median age 71 years (IQR 62-80), 39.7% female). 33 026 (29.3%) had pre-existing CVD. 73 392 (65.1%) patients had a diagnosis of colorectal, 23 208 (20.6%) oesophageal, 14 788 (13.1%) gastric and 1338 (1.2%) small bowel cancer. Individuals with pre-existing CVD had a 27% reduced rate of receiving fluoropyrimidine chemotherapy (HR, 0.73; 95% CI 0.70 to 0.75) on multivariable analysis. Significantly reduced rates of fluoropyrimidine administration were found across all subtypes of pre-existing CVD.</p><p><strong>Conclusions: </strong>GI cancer patients with all types of pre-existing CVD are less likely to receive fluoropyrimidine chemotherapy despite eligibility. This suggests widespread caution regarding administration of fluoropyrimidines across this population; further research is needed to assess whether such conservatism is justified.</p>","PeriodicalId":72436,"journal":{"name":"BMJ oncology","volume":"3 1","pages":"e000323"},"PeriodicalIF":0.0000,"publicationDate":"2024-08-08","publicationTypes":"Journal Article","fieldsOfStudy":null,"isOpenAccess":false,"openAccessPdf":"https://www.ncbi.nlm.nih.gov/pmc/articles/PMC11347681/pdf/","citationCount":"0","resultStr":null,"platform":"Semanticscholar","paperid":null,"PeriodicalName":"BMJ oncology","FirstCategoryId":"1085","ListUrlMain":"https://doi.org/10.1136/bmjonc-2024-000323","RegionNum":0,"RegionCategory":null,"ArticlePicture":[],"TitleCN":null,"AbstractTextCN":null,"PMCID":null,"EPubDate":"2024/1/1 0:00:00","PubModel":"eCollection","JCR":"","JCRName":"","Score":null,"Total":0}
引用次数: 0

Abstract

Objective: Fluoropyrimidine chemotherapy is a first-line treatment for many gastrointestinal (GI) cancers, however, cardiotoxicity concerns may limit administration in patients with pre-existing cardiovascular disease (CVD). This study investigated the association of pre-existing CVD with use of fluoropyrimidine chemotherapy in tumour-eligible GI cancer patients.

Methods and analysis: National cancer registry data from the Virtual Cardio-Oncology Research Initiative from England between 2014 and 2018 was used to identify GI cancer patients eligible to receive fluoropyrimidine chemotherapy. Linkage to Hospital Episode Statistics and CVD registry data were used to ascertain prior CVD and outcomes. Primary outcome was first administration of fluoropyrimidine chemotherapy following cancer diagnosis. Cox proportional hazard models determined HR and 95% CIs for the association between initiation of fluoropyrimidine treatment and prior CVD.

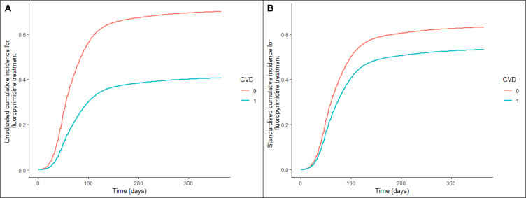
Results: 112 726 eligible patients were identified (median age 71 years (IQR 62-80), 39.7% female). 33 026 (29.3%) had pre-existing CVD. 73 392 (65.1%) patients had a diagnosis of colorectal, 23 208 (20.6%) oesophageal, 14 788 (13.1%) gastric and 1338 (1.2%) small bowel cancer. Individuals with pre-existing CVD had a 27% reduced rate of receiving fluoropyrimidine chemotherapy (HR, 0.73; 95% CI 0.70 to 0.75) on multivariable analysis. Significantly reduced rates of fluoropyrimidine administration were found across all subtypes of pre-existing CVD.

Conclusions: GI cancer patients with all types of pre-existing CVD are less likely to receive fluoropyrimidine chemotherapy despite eligibility. This suggests widespread caution regarding administration of fluoropyrimidines across this population; further research is needed to assess whether such conservatism is justified.

Abstract Image

Abstract Image

Abstract Image

胃肠道恶性肿瘤患者既往心血管疾病与氟嘧啶化疗的相关性
目的:氟嘧啶化疗是许多胃肠道(GI)癌症的一线治疗方法,然而,对心脏毒性的担忧可能限制了已有心血管疾病(CVD)患者的用药。本研究调查了在符合肿瘤条件的胃肠道肿瘤患者中,已存在的CVD与氟嘧啶化疗的关系。方法和分析:使用2014年至2018年英国虚拟心脏肿瘤研究计划(Virtual Cardio-Oncology Research Initiative)的国家癌症登记数据,确定有资格接受氟嘧啶化疗的胃肠道癌症患者。与医院事件统计和心血管疾病登记数据的联系用于确定既往心血管疾病和结局。主要结局是癌症诊断后首次给予氟嘧啶化疗。Cox比例风险模型确定了开始氟嘧啶治疗与既往CVD之间的HR和95% CIs。结果:112726例符合条件的患者(中位年龄71岁(IQR 62-80),女性39.7%)。33026人(29.3%)既往存在心血管疾病。结直肠癌73 392例(65.1%),食管癌23 208例(20.6%),胃癌14 788例(13.1%),小肠癌1338例(1.2%)。先前存在CVD的个体接受氟嘧啶化疗的比率降低了27% (HR, 0.73;95% CI 0.70 ~ 0.75)。在所有已存在的CVD亚型中发现氟嘧啶给药率显著降低。结论:所有类型既往存在CVD的胃肠道癌患者接受氟嘧啶化疗的可能性较低,尽管符合资格。这表明在这一人群中对氟嘧啶的使用普遍持谨慎态度;需要进一步的研究来评估这种保守主义是否合理。
本文章由计算机程序翻译,如有差异,请以英文原文为准。
求助全文
约1分钟内获得全文 求助全文
来源期刊
自引率
0.00%
发文量
0
×
引用
GB/T 7714-2015
复制
MLA
复制
APA
复制
导出至
BibTeX EndNote RefMan NoteFirst NoteExpress
×
提示
您的信息不完整,为了账户安全,请先补充。
现在去补充
×
提示
您因"违规操作"
具体请查看互助需知
我知道了
×
提示
确定
请完成安全验证×
copy
已复制链接
快去分享给好友吧!
我知道了
右上角分享
点击右上角分享
0
联系我们:info@booksci.cn Book学术提供免费学术资源搜索服务,方便国内外学者检索中英文文献。致力于提供最便捷和优质的服务体验。 Copyright © 2023 布克学术 All rights reserved.
京ICP备2023020795号-1
ghs 京公网安备 11010802042870号
Book学术文献互助
Book学术文献互助群
群 号:604180095
Book学术官方微信