Vitamin B6 status and chronic chemotherapy-induced peripheral neuropathy: a prospective cohort study among patients with non-metastatic colorectal cancer receiving oxaliplatin-based chemotherapy.

BMJ oncology Pub Date : 2024-08-08 eCollection Date: 2024-01-01 DOI:10.1136/bmjonc-2024-000462
Lisanne Renting, Nienke R K Zwart, Per Magne Ueland, Adrian McCann, Arve Ulvik, Henk K van Halteren, Floor J E Lubberman, Renate M Winkels, Ellen Kampman, Dieuwertje E Kok
{"title":"Vitamin B6 status and chronic chemotherapy-induced peripheral neuropathy: a prospective cohort study among patients with non-metastatic colorectal cancer receiving oxaliplatin-based chemotherapy.","authors":"Lisanne Renting, Nienke R K Zwart, Per Magne Ueland, Adrian McCann, Arve Ulvik, Henk K van Halteren, Floor J E Lubberman, Renate M Winkels, Ellen Kampman, Dieuwertje E Kok","doi":"10.1136/bmjonc-2024-000462","DOIUrl":null,"url":null,"abstract":"<p><strong>Objective: </strong>Chronic chemotherapy-induced peripheral neuropathy (CIPN) is a long-lasting side-effect of oxaliplatin. Vitamin B6 might play a role in the pathogenesis of CIPN. Therefore, we investigated associations between plasma vitamin B6 markers and the occurrence and severity of chronic CIPN in patients with non-metastatic colorectal cancer (CRC).</p><p><strong>Methods and analysis: </strong>242 patients with CRC receiving oxaliplatin-based chemotherapy were included. Blood samples were collected at diagnosis (ie, before chemotherapy), and 6 and 12 months after diagnosis (ie, during and after chemotherapy, respectively). Pyridoxal 5'-phosphate (PLP), pyridoxal (PL) and xanthurenic acid:3-hydroxykynurenine (XA:HK) ratio were measured as vitamin B6 markers using liquid chromatography tandem mass spectrometry. Chronic CIPN was assessed 12 months after diagnosis using the European Organization for Research and Treatment of Cancer Quality of Life Questionnaire-CIPN twenty-item scale questionnaire. Prevalence ratios (PRs) and restricted cubic splines (RCSs) were used to assess associations with chronic CIPN occurrence, and linear regressions were used to assess associations with chronic CIPN severity. Analyses were adjusted for age, sex, smoking, alcohol consumption, diabetes and timing of chemotherapy (neoadjuvant/adjuvant/both).</p><p><strong>Results: </strong>Chronic CIPN was found in 80% (n=194) of patients. Higher PLP levels and XA:HK ratios during chemotherapy were associated with lower occurrence of chronic CIPN (PR<sub>perdoubling</sub> 0.75, 95% CI 0.62 to 0.91 and P<sub>RCS</sub><0.05, respectively) and lower chronic CIPN severity (β<sub>perdoubling</sub> -4.54, 95% CI -7.12 to -1.96 and β<sub>perdoubling</sub> -6.30, 95% CI -9.53 to -3.07, respectively). No associations between PL levels and chronic CIPN were observed.</p><p><strong>Conclusion: </strong>Within this population, merely having PLP levels within the normal range, higher vitamin B6 status during chemotherapy was associated with lower occurrence and severity of chronic CIPN. Future research is warranted to investigate causality and the optimal vitamin B6 status during chemotherapy.</p>","PeriodicalId":72436,"journal":{"name":"BMJ oncology","volume":"3 1","pages":"e000462"},"PeriodicalIF":0.0000,"publicationDate":"2024-08-08","publicationTypes":"Journal Article","fieldsOfStudy":null,"isOpenAccess":false,"openAccessPdf":"https://www.ncbi.nlm.nih.gov/pmc/articles/PMC11347696/pdf/","citationCount":"0","resultStr":null,"platform":"Semanticscholar","paperid":null,"PeriodicalName":"BMJ oncology","FirstCategoryId":"1085","ListUrlMain":"https://doi.org/10.1136/bmjonc-2024-000462","RegionNum":0,"RegionCategory":null,"ArticlePicture":[],"TitleCN":null,"AbstractTextCN":null,"PMCID":null,"EPubDate":"2024/1/1 0:00:00","PubModel":"eCollection","JCR":"","JCRName":"","Score":null,"Total":0}
引用次数: 0

Abstract

Objective: Chronic chemotherapy-induced peripheral neuropathy (CIPN) is a long-lasting side-effect of oxaliplatin. Vitamin B6 might play a role in the pathogenesis of CIPN. Therefore, we investigated associations between plasma vitamin B6 markers and the occurrence and severity of chronic CIPN in patients with non-metastatic colorectal cancer (CRC).

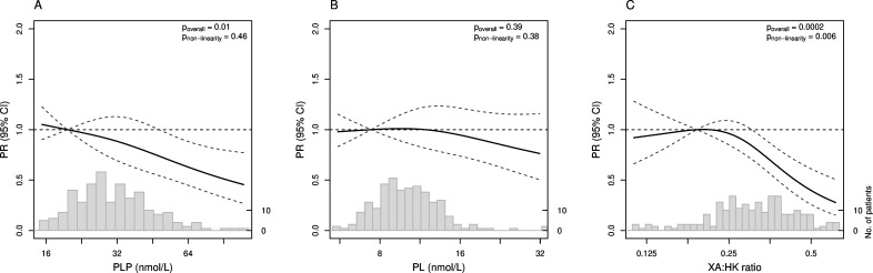
Methods and analysis: 242 patients with CRC receiving oxaliplatin-based chemotherapy were included. Blood samples were collected at diagnosis (ie, before chemotherapy), and 6 and 12 months after diagnosis (ie, during and after chemotherapy, respectively). Pyridoxal 5'-phosphate (PLP), pyridoxal (PL) and xanthurenic acid:3-hydroxykynurenine (XA:HK) ratio were measured as vitamin B6 markers using liquid chromatography tandem mass spectrometry. Chronic CIPN was assessed 12 months after diagnosis using the European Organization for Research and Treatment of Cancer Quality of Life Questionnaire-CIPN twenty-item scale questionnaire. Prevalence ratios (PRs) and restricted cubic splines (RCSs) were used to assess associations with chronic CIPN occurrence, and linear regressions were used to assess associations with chronic CIPN severity. Analyses were adjusted for age, sex, smoking, alcohol consumption, diabetes and timing of chemotherapy (neoadjuvant/adjuvant/both).

Results: Chronic CIPN was found in 80% (n=194) of patients. Higher PLP levels and XA:HK ratios during chemotherapy were associated with lower occurrence of chronic CIPN (PRperdoubling 0.75, 95% CI 0.62 to 0.91 and PRCS<0.05, respectively) and lower chronic CIPN severity (βperdoubling -4.54, 95% CI -7.12 to -1.96 and βperdoubling -6.30, 95% CI -9.53 to -3.07, respectively). No associations between PL levels and chronic CIPN were observed.

Conclusion: Within this population, merely having PLP levels within the normal range, higher vitamin B6 status during chemotherapy was associated with lower occurrence and severity of chronic CIPN. Future research is warranted to investigate causality and the optimal vitamin B6 status during chemotherapy.

Abstract Image

Abstract Image

维生素B6状态与慢性化疗诱导的周围神经病变:接受奥沙利铂化疗的非转移性结直肠癌患者的前瞻性队列研究
目的:慢性化疗引起的周围神经病变(CIPN)是奥沙利铂的一个长期副作用。维生素B6可能在CIPN发病机制中起一定作用。因此,我们研究了血浆维生素B6标志物与非转移性结直肠癌(CRC)患者慢性CIPN的发生和严重程度之间的关系。方法与分析:242例接受奥沙利铂化疗的结直肠癌患者。分别于诊断时(即化疗前)、诊断后6个月和12个月(即化疗期间和化疗后)采集血样。采用液相色谱串联质谱法测定吡哆醛5′-磷酸(PLP)、吡哆醛(PL)和黄嘌呤酸:3-羟基犬尿氨酸(XA:HK)的比值作为维生素B6的标记物。慢性CIPN在诊断后12个月使用欧洲癌症研究与治疗组织生活质量问卷-CIPN 20项量表问卷进行评估。患病率比(pr)和限制性三次样条(RCSs)用于评估慢性CIPN发生的相关性,线性回归用于评估慢性CIPN严重程度的相关性。分析调整了年龄、性别、吸烟、饮酒、糖尿病和化疗时间(新辅助/辅助/两者)。结果:慢性CIPN发生率为80% (n=194)。化疗期间较高的PLP水平和XA:HK比值与较低的慢性CIPN发生率相关(prper翻番0.75,95% CI 0.62至0.91;prcsper翻番-4.54,95% CI -7.12至-1.96;β加倍-6.30,95% CI -9.53至-3.07)。未观察到PL水平与慢性CIPN之间的关联。结论:在这个人群中,仅仅是PLP水平在正常范围内,化疗期间较高的维生素B6水平与较低的慢性CIPN发生率和严重程度相关。未来的研究需要调查因果关系和化疗期间维生素B6的最佳状态。
本文章由计算机程序翻译,如有差异,请以英文原文为准。
求助全文
约1分钟内获得全文 求助全文
来源期刊
自引率
0.00%
发文量
0
×
引用
GB/T 7714-2015
复制
MLA
复制
APA
复制
导出至
BibTeX EndNote RefMan NoteFirst NoteExpress
×
提示
您的信息不完整,为了账户安全,请先补充。
现在去补充
×
提示
您因"违规操作"
具体请查看互助需知
我知道了
×
提示
确定
请完成安全验证×
copy
已复制链接
快去分享给好友吧!
我知道了
右上角分享
点击右上角分享
0
联系我们:info@booksci.cn Book学术提供免费学术资源搜索服务,方便国内外学者检索中英文文献。致力于提供最便捷和优质的服务体验。 Copyright © 2023 布克学术 All rights reserved.
京ICP备2023020795号-1
ghs 京公网安备 11010802042870号
Book学术文献互助
Book学术文献互助群
群 号:604180095
Book学术官方微信