Temporal trends in biosecurity in Irish pig herds using a standardized scoring system.

IF 3.1 2区 农林科学 Q1 VETERINARY SCIENCES
Carla Correia-Gomes, Bárbara Terezo, David Graham
{"title":"Temporal trends in biosecurity in Irish pig herds using a standardized scoring system.","authors":"Carla Correia-Gomes, Bárbara Terezo, David Graham","doi":"10.1186/s13620-025-00289-0","DOIUrl":null,"url":null,"abstract":"<p><strong>Background: </strong>Biosecurity measures are crucial to the introduction and spread of pathogens both within and between farms. External biosecurity focuses on preventing pathogens from entering or leaving the farm, while internal biosecurity aims to limit or stop the spread of pathogens within the farm. Implementing biosecurity measures not only protects animals from disease but also has positive effects on productivity, welfare and farm profitability. By reducing the need for antimicrobials, biosecurity measures also contribute to combating antimicrobial resistance. To assess and improve biosecurity, tools like Biocheck.UGent have been developed. In Ireland, the Biocheck.UGent tool has been widely used in pig farms since 2018. The aims of this study were firstly to assess temporal trends on biosecurity scores in Irish pig farms from 2018 to 2023 using the Biocheck.UGent tool and secondly to identify areas for improvement.</p><p><strong>Results: </strong>There was an increase in the number of annual assessments over the study period, with the majority of farms being assessed multiple times. Overall, external biosecurity scores were higher than internal scores. Improvements in the scores were observed over time for most of the subcategories for external and internal biosecurity and across the different farm types. Analysis of the subcategories within the scoring system revealed areas with lower scores, including disease management, cleaning and disinfection, and measures between compartments. Weaner-to-finisher farms tended to have lower scores compared to other farm types.</p><p><strong>Conclusions: </strong>While external biosecurity in Irish pig farms is generally high, there is room for improvement in internal biosecurity. This study highlights the importance of continuous efforts to improve biosecurity. The data obtained will aid in estimating the cost-benefit of implementing biosecurity measures, crucial for decision-making and better returns on investments.</p>","PeriodicalId":54916,"journal":{"name":"Irish Veterinary Journal","volume":"78 1","pages":"4"},"PeriodicalIF":3.1000,"publicationDate":"2025-01-30","publicationTypes":"Journal Article","fieldsOfStudy":null,"isOpenAccess":false,"openAccessPdf":"https://www.ncbi.nlm.nih.gov/pmc/articles/PMC11780990/pdf/","citationCount":"0","resultStr":null,"platform":"Semanticscholar","paperid":null,"PeriodicalName":"Irish Veterinary Journal","FirstCategoryId":"97","ListUrlMain":"https://doi.org/10.1186/s13620-025-00289-0","RegionNum":2,"RegionCategory":"农林科学","ArticlePicture":[],"TitleCN":null,"AbstractTextCN":null,"PMCID":null,"EPubDate":"","PubModel":"","JCR":"Q1","JCRName":"VETERINARY SCIENCES","Score":null,"Total":0}
引用次数: 0

Abstract

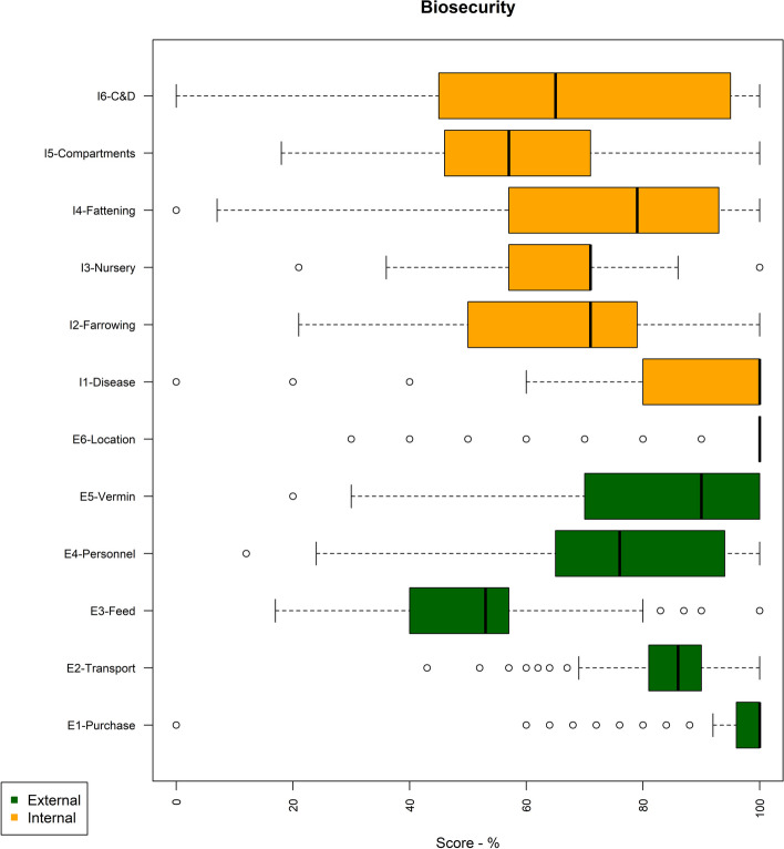
Background: Biosecurity measures are crucial to the introduction and spread of pathogens both within and between farms. External biosecurity focuses on preventing pathogens from entering or leaving the farm, while internal biosecurity aims to limit or stop the spread of pathogens within the farm. Implementing biosecurity measures not only protects animals from disease but also has positive effects on productivity, welfare and farm profitability. By reducing the need for antimicrobials, biosecurity measures also contribute to combating antimicrobial resistance. To assess and improve biosecurity, tools like Biocheck.UGent have been developed. In Ireland, the Biocheck.UGent tool has been widely used in pig farms since 2018. The aims of this study were firstly to assess temporal trends on biosecurity scores in Irish pig farms from 2018 to 2023 using the Biocheck.UGent tool and secondly to identify areas for improvement.

Results: There was an increase in the number of annual assessments over the study period, with the majority of farms being assessed multiple times. Overall, external biosecurity scores were higher than internal scores. Improvements in the scores were observed over time for most of the subcategories for external and internal biosecurity and across the different farm types. Analysis of the subcategories within the scoring system revealed areas with lower scores, including disease management, cleaning and disinfection, and measures between compartments. Weaner-to-finisher farms tended to have lower scores compared to other farm types.

Conclusions: While external biosecurity in Irish pig farms is generally high, there is room for improvement in internal biosecurity. This study highlights the importance of continuous efforts to improve biosecurity. The data obtained will aid in estimating the cost-benefit of implementing biosecurity measures, crucial for decision-making and better returns on investments.

Abstract Image

Abstract Image

Abstract Image

使用标准化评分系统的爱尔兰猪群生物安全的时间趋势。
背景:生物安全措施对农场内部和农场之间病原体的传入和传播至关重要。外部生物安全的重点是防止病原体进入或离开农场,而内部生物安全的目的是限制或阻止病原体在农场内的传播。实施生物安全措施不仅可以保护动物免受疾病侵害,而且对生产力、福利和农场盈利能力也有积极影响。通过减少对抗微生物药物的需求,生物安全措施也有助于对抗抗微生物药物耐药性。为了评估和提高生物安全,像Biocheck这样的工具。已经开发出了解决方案。在爱尔兰,是Biocheck。自2018年以来,UGent工具已在养猪场广泛使用。本研究的目的是首先使用Biocheck评估2018年至2023年爱尔兰养猪场生物安全评分的时间趋势。第二,确定需要改进的地方。结果:在研究期间,年度评估次数有所增加,大多数农场被评估多次。总体而言,外部生物安全得分高于内部得分。随着时间的推移,外部和内部生物安全的大多数子类别以及不同农场类型的得分都有所提高。对评分系统内的子类别进行分析,发现了得分较低的领域,包括疾病管理、清洁和消毒以及隔间之间的措施。与其他类型的农场相比,从断奶到育肥的农场得分往往较低。结论:虽然爱尔兰养猪场的外部生物安全总体较高,但内部生物安全仍有改进空间。这项研究强调了不断努力提高生物安全的重要性。获得的数据将有助于估计实施生物安全措施的成本效益,这对决策和更好的投资回报至关重要。
本文章由计算机程序翻译,如有差异,请以英文原文为准。
求助全文
约1分钟内获得全文 求助全文
来源期刊
Irish Veterinary Journal
Irish Veterinary Journal 农林科学-兽医学
CiteScore
4.80
自引率
3.40%
发文量
1
审稿时长
>36 weeks
期刊介绍: Irish Veterinary Journal is an open access journal with a vision to make a substantial contribution to the dissemination of evidence-based knowledge that will promote optimal health and welfare of both domestic and wild species of animals. Irish Veterinary Journal has a clinical research focus with an emphasis on the effective management of health in both individual and populations of animals. Published studies will be relevant to both the international veterinary profession and veterinary scientists. Papers relating to veterinary education, veterinary ethics, veterinary public health, or relevant studies in the area of social science (participatory research) are also within the scope of Irish Veterinary Journal.
×
引用
GB/T 7714-2015
复制
MLA
复制
APA
复制
导出至
BibTeX EndNote RefMan NoteFirst NoteExpress
×
提示
您的信息不完整,为了账户安全,请先补充。
现在去补充
×
提示
您因"违规操作"
具体请查看互助需知
我知道了
×
提示
确定
请完成安全验证×
copy
已复制链接
快去分享给好友吧!
我知道了
右上角分享
点击右上角分享
0
联系我们:info@booksci.cn Book学术提供免费学术资源搜索服务,方便国内外学者检索中英文文献。致力于提供最便捷和优质的服务体验。 Copyright © 2023 布克学术 All rights reserved.
京ICP备2023020795号-1
ghs 京公网安备 11010802042870号
Book学术文献互助
Book学术文献互助群
群 号:604180095
Book学术官方微信