Improved Growth Velocity Using a New Liquid Human Milk Fortifier in Very Low Birth Weight Infants: A Multicenter, Retrospective Study.

IF 1.2 4区 医学 Q3 OBSTETRICS & GYNECOLOGY
American journal of perinatology Pub Date : 2025-10-01 Epub Date: 2025-01-29 DOI:10.1055/a-2527-4638
Fernando Moya, Jennifer Fowler, Adrian Florens, Jennifer Dombrowski, Olivia Davis, Tiffony Blanks, Austin Gratton
{"title":"Improved Growth Velocity Using a New Liquid Human Milk Fortifier in Very Low Birth Weight Infants: A Multicenter, Retrospective Study.","authors":"Fernando Moya, Jennifer Fowler, Adrian Florens, Jennifer Dombrowski, Olivia Davis, Tiffony Blanks, Austin Gratton","doi":"10.1055/a-2527-4638","DOIUrl":null,"url":null,"abstract":"<p><p>This study aimed to compare growth outcomes and tolerance among very low birth weight (VLBW) infants receiving a new, liquid human milk fortifier (LHMF-NEW) or a human milk fortifier-acidified liquid (HMF-AL).Retrospective, multicenter study of 515 VLBW infants in three regional neonatal intensive care units. The primary objective was to compare growth velocity (g/kg/d) during fortification between groups by repeated measures regression. Secondary outcomes of interest were feeding tolerance and the incidence of late-onset sepsis, necrotizing enterocolitis, and metabolic acidosis. Student's <i>t</i>, analysis of variance, Wilcoxon, and Kruskal-Wallis tests were used for numeric variables, or chi-squared and Fisher's exact test for categorical variables.No demographic differences were identified between the groups (HMF-AL, <i>n</i> = 242; LHMF-NEW, <i>n</i> = 273). Growth velocity during fortification was significantly higher in the group receiving LHMF-NEW, despite relatively similar total fluid, calorie, or protein intake (<i>p</i> = 0.001). Feeding intolerance was comparable between fortifiers. Necrotizing enterocolitis and late-onset sepsis did not differ between groups and metabolic acidosis was diagnosed less frequently with the LHMF-NEW. Anthropometric measures at discharge and length of stay were comparable.Infants receiving human milk fortified with the LHMF-NEW had faster growth velocity during fortification, similar tolerance, and less metabolic acidosis compared with an earlier cohort of infants who received human milk fortified with an HMF-AL. · Among VLBW infants, using an LHMF-NEW resulted in a faster growth velocity in weight during several weeks of fortification than using the previous HMF-AL.. · The incidence of feeding intolerance (stopping feeds >8 hour) in any given week of fortification was low and not different between groups. Also, late-onset sepsis and necrotizing enterocolitis were uncommon with no differences between groups, whereas the incidence of metabolic acidosis was lower in infants receiving the LHMF-NEW.. · No differences in length of stay or anthropometrics at discharge were identified..</p>","PeriodicalId":7584,"journal":{"name":"American journal of perinatology","volume":" ","pages":"1729-1737"},"PeriodicalIF":1.2000,"publicationDate":"2025-10-01","publicationTypes":"Journal Article","fieldsOfStudy":null,"isOpenAccess":false,"openAccessPdf":"https://www.ncbi.nlm.nih.gov/pmc/articles/PMC12431800/pdf/","citationCount":"0","resultStr":null,"platform":"Semanticscholar","paperid":null,"PeriodicalName":"American journal of perinatology","FirstCategoryId":"3","ListUrlMain":"https://doi.org/10.1055/a-2527-4638","RegionNum":4,"RegionCategory":"医学","ArticlePicture":[],"TitleCN":null,"AbstractTextCN":null,"PMCID":null,"EPubDate":"2025/1/29 0:00:00","PubModel":"Epub","JCR":"Q3","JCRName":"OBSTETRICS & GYNECOLOGY","Score":null,"Total":0}
引用次数: 0

Abstract

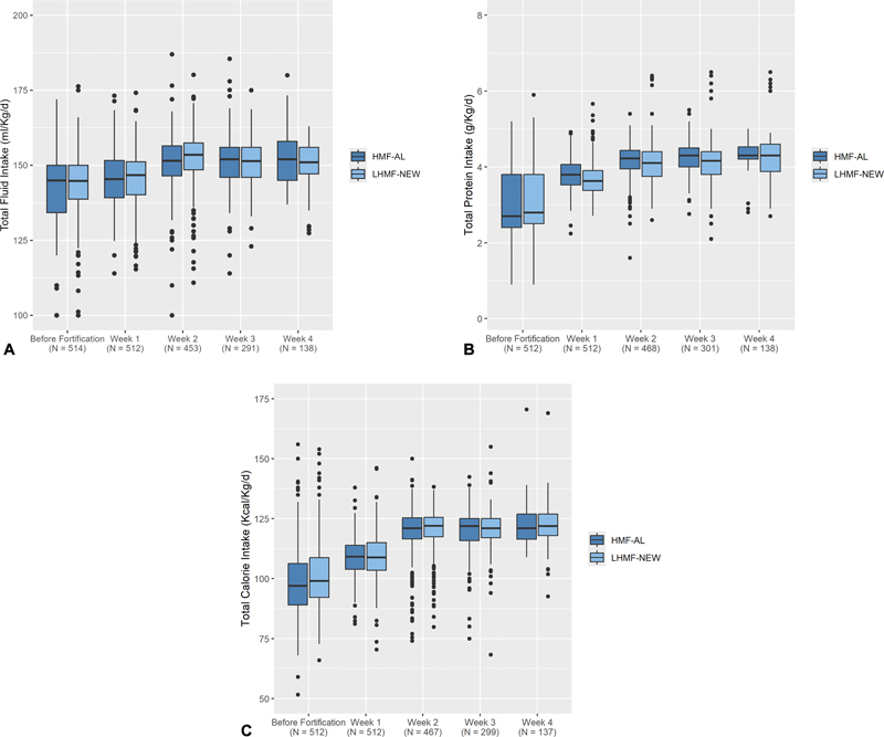
This study aimed to compare growth outcomes and tolerance among very low birth weight (VLBW) infants receiving a new, liquid human milk fortifier (LHMF-NEW) or a human milk fortifier-acidified liquid (HMF-AL).Retrospective, multicenter study of 515 VLBW infants in three regional neonatal intensive care units. The primary objective was to compare growth velocity (g/kg/d) during fortification between groups by repeated measures regression. Secondary outcomes of interest were feeding tolerance and the incidence of late-onset sepsis, necrotizing enterocolitis, and metabolic acidosis. Student's t, analysis of variance, Wilcoxon, and Kruskal-Wallis tests were used for numeric variables, or chi-squared and Fisher's exact test for categorical variables.No demographic differences were identified between the groups (HMF-AL, n = 242; LHMF-NEW, n = 273). Growth velocity during fortification was significantly higher in the group receiving LHMF-NEW, despite relatively similar total fluid, calorie, or protein intake (p = 0.001). Feeding intolerance was comparable between fortifiers. Necrotizing enterocolitis and late-onset sepsis did not differ between groups and metabolic acidosis was diagnosed less frequently with the LHMF-NEW. Anthropometric measures at discharge and length of stay were comparable.Infants receiving human milk fortified with the LHMF-NEW had faster growth velocity during fortification, similar tolerance, and less metabolic acidosis compared with an earlier cohort of infants who received human milk fortified with an HMF-AL. · Among VLBW infants, using an LHMF-NEW resulted in a faster growth velocity in weight during several weeks of fortification than using the previous HMF-AL.. · The incidence of feeding intolerance (stopping feeds >8 hour) in any given week of fortification was low and not different between groups. Also, late-onset sepsis and necrotizing enterocolitis were uncommon with no differences between groups, whereas the incidence of metabolic acidosis was lower in infants receiving the LHMF-NEW.. · No differences in length of stay or anthropometrics at discharge were identified..

Abstract Image

Abstract Image

在极低出生体重婴儿中使用一种新的液体母乳强化剂提高生长速度:一项多中心回顾性研究。
目的:比较极低出生体重(VLBW)婴儿接受新型液体人乳强化剂(LHMF-NEW)或人乳强化剂酸化液体(HMF-AL)的生长结局和耐受性。研究设计:对3个地区新生儿重症监护病房的515名VLBW婴儿进行回顾性、多中心研究。主要目的是通过重复测量回归比较各组强化期间的生长速度(g/kg/天)。次要结局是摄食耐受性和迟发性败血症、坏死性小肠结肠炎和代谢性酸中毒的发生率。数值变量采用学生t检验、方差分析、Wilcoxon检验和Kruskal-Wallis检验,分类变量采用卡方检验和Fisher精确检验。结果:两组间未发现人口统计学差异(HMF-AL, n= 242;LHMF-NEW, n= 273)。尽管总液体、卡路里或蛋白质摄入量相对相似,但接受LHMF-NEW的组在强化期间的生长速度明显更高(p=。). 两种强化剂之间的喂养不耐受相似。坏死性小肠结肠炎和晚发性败血症在两组之间没有差异,LHMF-NEW诊断代谢性酸中毒的频率更低。出院时的人体测量值和住院时间具有可比性。结论:与早期接受HMF-AL强化母乳的婴儿相比,接受LHMF-NEW强化母乳的婴儿在强化期间具有更快的生长速度,相似的耐受性和更少的代谢性酸中毒。
本文章由计算机程序翻译,如有差异,请以英文原文为准。
求助全文
约1分钟内获得全文 求助全文
来源期刊
American journal of perinatology
American journal of perinatology 医学-妇产科学
CiteScore
5.90
自引率
0.00%
发文量
302
审稿时长
4-8 weeks
期刊介绍: The American Journal of Perinatology is an international, peer-reviewed, and indexed journal publishing 14 issues a year dealing with original research and topical reviews. It is the definitive forum for specialists in obstetrics, neonatology, perinatology, and maternal/fetal medicine, with emphasis on bridging the different fields. The focus is primarily on clinical and translational research, clinical and technical advances in diagnosis, monitoring, and treatment as well as evidence-based reviews. Topics of interest include epidemiology, diagnosis, prevention, and management of maternal, fetal, and neonatal diseases. Manuscripts on new technology, NICU set-ups, and nursing topics are published to provide a broad survey of important issues in this field. All articles undergo rigorous peer review, with web-based submission, expedited turn-around, and availability of electronic publication. The American Journal of Perinatology is accompanied by AJP Reports - an Open Access journal for case reports in neonatology and maternal/fetal medicine.
×
引用
GB/T 7714-2015
复制
MLA
复制
APA
复制
导出至
BibTeX EndNote RefMan NoteFirst NoteExpress
×
提示
您的信息不完整,为了账户安全,请先补充。
现在去补充
×
提示
您因"违规操作"
具体请查看互助需知
我知道了
×
提示
确定
请完成安全验证×
copy
已复制链接
快去分享给好友吧!
我知道了
右上角分享
点击右上角分享
0
联系我们:info@booksci.cn Book学术提供免费学术资源搜索服务,方便国内外学者检索中英文文献。致力于提供最便捷和优质的服务体验。 Copyright © 2023 布克学术 All rights reserved.
京ICP备2023020795号-1
ghs 京公网安备 11010802042870号
Book学术文献互助
Book学术文献互助群
群 号:604180095
Book学术官方微信