Enhancing Thermogalvanic Efficiency through Electrostatic Interaction in Cationic Hydrogels.

IF 5.5 3区 材料科学 Q2 CHEMISTRY, PHYSICAL
ACS Applied Energy Materials Pub Date : 2025-01-08 eCollection Date: 2025-01-27 DOI:10.1021/acsaem.4c02835
Carlos M Andreu, Ana López-Hazas, Sonia Merino, Ester Vázquez, Oscar J Dura
{"title":"Enhancing Thermogalvanic Efficiency through Electrostatic Interaction in Cationic Hydrogels.","authors":"Carlos M Andreu, Ana López-Hazas, Sonia Merino, Ester Vázquez, Oscar J Dura","doi":"10.1021/acsaem.4c02835","DOIUrl":null,"url":null,"abstract":"<p><p>Thermoelectric hydrogels have the potential to be used in energy conversion devices for harnessing ubiquitous low-grade heat and generating useful electricity. This can be achieved through the use of thermogalvanic cells based on redox chemistry. While significant attention has been focused toward maximizing voltage for a given temperature gradient in liquid-based thermocells, it is crucial to consider both voltage and current density for accurate power output estimation in the case of gel-based thermocells. Here, we analyze the influence of the functional groups and the redox pair concentration over the voltage and current density in two different hydrogels. Our results confirm a path to enhance the current density in thermogalvanic hydrogels by incorporating a cationic pair into a cationic electroactive network (CN). This approach facilitates the movement of redox pairs, therefore increasing the power density output.</p>","PeriodicalId":4,"journal":{"name":"ACS Applied Energy Materials","volume":"8 2","pages":"1342-1348"},"PeriodicalIF":5.5000,"publicationDate":"2025-01-08","publicationTypes":"Journal Article","fieldsOfStudy":null,"isOpenAccess":false,"openAccessPdf":"https://www.ncbi.nlm.nih.gov/pmc/articles/PMC11776375/pdf/","citationCount":"0","resultStr":null,"platform":"Semanticscholar","paperid":null,"PeriodicalName":"ACS Applied Energy Materials","FirstCategoryId":"88","ListUrlMain":"https://doi.org/10.1021/acsaem.4c02835","RegionNum":3,"RegionCategory":"材料科学","ArticlePicture":[],"TitleCN":null,"AbstractTextCN":null,"PMCID":null,"EPubDate":"2025/1/27 0:00:00","PubModel":"eCollection","JCR":"Q2","JCRName":"CHEMISTRY, PHYSICAL","Score":null,"Total":0}
引用次数: 0

Abstract

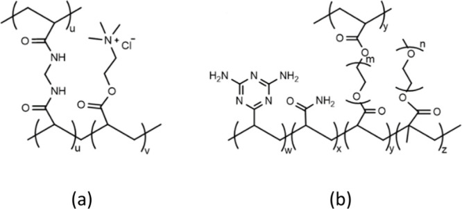
Thermoelectric hydrogels have the potential to be used in energy conversion devices for harnessing ubiquitous low-grade heat and generating useful electricity. This can be achieved through the use of thermogalvanic cells based on redox chemistry. While significant attention has been focused toward maximizing voltage for a given temperature gradient in liquid-based thermocells, it is crucial to consider both voltage and current density for accurate power output estimation in the case of gel-based thermocells. Here, we analyze the influence of the functional groups and the redox pair concentration over the voltage and current density in two different hydrogels. Our results confirm a path to enhance the current density in thermogalvanic hydrogels by incorporating a cationic pair into a cationic electroactive network (CN). This approach facilitates the movement of redox pairs, therefore increasing the power density output.

Abstract Image

Abstract Image

Abstract Image

通过静电相互作用提高阳离子水凝胶的热电效率。
热电水凝胶有潜力用于能量转换装置,以利用无处不在的低品位热量并产生有用的电力。这可以通过使用基于氧化还原化学的热电电池来实现。在液体基热电池中,在给定的温度梯度下,人们一直将注意力集中在最大化电压上,而对于凝胶基热电池,为了准确估计功率输出,考虑电压和电流密度至关重要。在这里,我们分析了两种不同水凝胶中官能团和氧化还原对浓度对电压和电流密度的影响。我们的研究结果证实了一种通过在阳离子电活性网络(CN)中加入阳离子对来增强热电凝胶中电流密度的途径。这种方法促进了氧化还原对的运动,因此增加了功率密度输出。
本文章由计算机程序翻译,如有差异,请以英文原文为准。
求助全文
约1分钟内获得全文 求助全文
来源期刊
ACS Applied Energy Materials
ACS Applied Energy Materials Materials Science-Materials Chemistry
CiteScore
10.30
自引率
6.20%
发文量
1368
期刊介绍: ACS Applied Energy Materials is an interdisciplinary journal publishing original research covering all aspects of materials, engineering, chemistry, physics and biology relevant to energy conversion and storage. The journal is devoted to reports of new and original experimental and theoretical research of an applied nature that integrate knowledge in the areas of materials, engineering, physics, bioscience, and chemistry into important energy applications.
×
引用
GB/T 7714-2015
复制
MLA
复制
APA
复制
导出至
BibTeX EndNote RefMan NoteFirst NoteExpress
×
提示
您的信息不完整,为了账户安全,请先补充。
现在去补充
×
提示
您因"违规操作"
具体请查看互助需知
我知道了
×
提示
确定
请完成安全验证×
copy
已复制链接
快去分享给好友吧!
我知道了
右上角分享
点击右上角分享
0
联系我们:info@booksci.cn Book学术提供免费学术资源搜索服务,方便国内外学者检索中英文文献。致力于提供最便捷和优质的服务体验。 Copyright © 2023 布克学术 All rights reserved.
京ICP备2023020795号-1
ghs 京公网安备 11010802042870号
Book学术文献互助
Book学术文献互助群
群 号:604180095
Book学术官方微信