The health-related experiences of detained immigrants with and without mental illness

IF 2.9 Q1 PUBLIC, ENVIRONMENTAL & OCCUPATIONAL HEALTH
Caitlin Patler , Altaf Saadi , Paola Langer
{"title":"The health-related experiences of detained immigrants with and without mental illness","authors":"Caitlin Patler ,&nbsp;Altaf Saadi ,&nbsp;Paola Langer","doi":"10.1016/j.jmh.2025.100302","DOIUrl":null,"url":null,"abstract":"<div><h3>Background</h3><div>Incarcerated individuals with mental illness face unique health challenges, yet we know little about individuals with mental illness who are detained by US immigration authorities. We aimed to describe the health-related experiences of detained immigrants with and without mental illness.</div></div><div><h3>Methods</h3><div>We conducted a cross-sectional telephone survey in 2021 with a sample of recently detained immigrants who were detained by Immigrations and Customs Enforcement (ICE) and released in the United States in 2020–2021 (<em>n</em> = 203). We used multivariable regression to assess the association between mental illness and the incidence of five outcomes while in immigration detention: 1) poor general health, 2) difficulty accessing medical services, 3) difficulty accessing mental health services, 4) interruptions to care, 5) and exposure to solitary confinement.</div></div><div><h3>Results</h3><div>115/203 participants (56.7 %) had diagnosed mental illness, most commonly depression and PTSD. Rates of poor health, difficulty accessing medical and mental health services, interruptions to care, and exposure to solitary confinement during detention were high overall, and significantly higher among individuals with mental illness.</div></div><div><h3>Conclusion</h3><div>There is pressing need for policy actions and protections to mitigate health harms experienced in immigration detention.</div></div>","PeriodicalId":34448,"journal":{"name":"Journal of Migration and Health","volume":"11 ","pages":"Article 100302"},"PeriodicalIF":2.9000,"publicationDate":"2025-01-01","publicationTypes":"Journal Article","fieldsOfStudy":null,"isOpenAccess":false,"openAccessPdf":"https://www.ncbi.nlm.nih.gov/pmc/articles/PMC11773275/pdf/","citationCount":"0","resultStr":null,"platform":"Semanticscholar","paperid":null,"PeriodicalName":"Journal of Migration and Health","FirstCategoryId":"1085","ListUrlMain":"https://www.sciencedirect.com/science/article/pii/S2666623525000017","RegionNum":0,"RegionCategory":null,"ArticlePicture":[],"TitleCN":null,"AbstractTextCN":null,"PMCID":null,"EPubDate":"","PubModel":"","JCR":"Q1","JCRName":"PUBLIC, ENVIRONMENTAL & OCCUPATIONAL HEALTH","Score":null,"Total":0}
引用次数: 0

Abstract

Background

Incarcerated individuals with mental illness face unique health challenges, yet we know little about individuals with mental illness who are detained by US immigration authorities. We aimed to describe the health-related experiences of detained immigrants with and without mental illness.

Methods

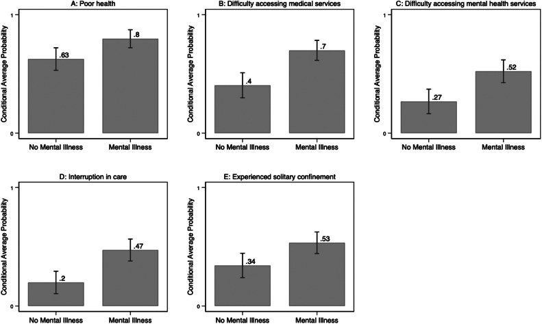
We conducted a cross-sectional telephone survey in 2021 with a sample of recently detained immigrants who were detained by Immigrations and Customs Enforcement (ICE) and released in the United States in 2020–2021 (n = 203). We used multivariable regression to assess the association between mental illness and the incidence of five outcomes while in immigration detention: 1) poor general health, 2) difficulty accessing medical services, 3) difficulty accessing mental health services, 4) interruptions to care, 5) and exposure to solitary confinement.

Results

115/203 participants (56.7 %) had diagnosed mental illness, most commonly depression and PTSD. Rates of poor health, difficulty accessing medical and mental health services, interruptions to care, and exposure to solitary confinement during detention were high overall, and significantly higher among individuals with mental illness.

Conclusion

There is pressing need for policy actions and protections to mitigate health harms experienced in immigration detention.

Abstract Image

有和没有精神疾病的被拘留移民的健康经历。
背景:被监禁的精神疾病患者面临着独特的健康挑战,但我们对被美国移民局拘留的精神疾病患者知之甚少。我们的目的是描述有或没有精神疾病的被拘留移民的健康相关经历。方法:我们在2021年进行了一项横断面电话调查,样本是最近被移民和海关执法局(ICE)拘留并于2020-2021年在美国释放的移民(n = 203)。我们使用多变量回归来评估移民拘留期间精神疾病与五种结果发生率之间的关联:1)一般健康状况不佳,2)难以获得医疗服务,3)难以获得精神健康服务,4)护理中断,5)暴露于单独监禁。结果:203名参与者中有115人(56.7%)被诊断患有精神疾病,最常见的是抑郁症和创伤后应激障碍。总体而言,健康状况不佳、难以获得医疗和精神健康服务、护理中断以及在拘留期间遭受单独监禁的比例很高,而精神疾病患者的比例要高得多。结论:迫切需要采取政策行动和保护措施,以减轻移民拘留期间的健康危害。
本文章由计算机程序翻译,如有差异,请以英文原文为准。
求助全文
约1分钟内获得全文 求助全文
来源期刊
Journal of Migration and Health
Journal of Migration and Health Social Sciences-Sociology and Political Science
CiteScore
5.70
自引率
8.70%
发文量
65
审稿时长
153 days
×
引用
GB/T 7714-2015
复制
MLA
复制
APA
复制
导出至
BibTeX EndNote RefMan NoteFirst NoteExpress
×
提示
您的信息不完整,为了账户安全,请先补充。
现在去补充
×
提示
您因"违规操作"
具体请查看互助需知
我知道了
×
提示
确定
请完成安全验证×
copy
已复制链接
快去分享给好友吧!
我知道了
右上角分享
点击右上角分享
0
联系我们:info@booksci.cn Book学术提供免费学术资源搜索服务,方便国内外学者检索中英文文献。致力于提供最便捷和优质的服务体验。 Copyright © 2023 布克学术 All rights reserved.
京ICP备2023020795号-1
ghs 京公网安备 11010802042870号
Book学术文献互助
Book学术文献互助群
群 号:604180095
Book学术官方微信